Physical Properties of an Eco-Sustainable, Form-Stable Phase Change Material Included in Aerial-Lime-Based Mortar Intended for Different Climates
Abstract
:1. Introduction
2. Materials and Methods
2.1. Materials
2.2. Methods
3. Results and Discussion
3.1. Characterization of PEG 800 and Its Form-Stable PCM
3.2. Characterization of Mortar Formulations
4. Conclusions
Author Contributions
Funding
Institutional Review Board Statement
Informed Consent Statement
Data Availability Statement
Acknowledgments
Conflicts of Interest
References
- Delmastro, C. Building Envelopes; IEA: Paris, France, 2020.
- Janarthanan, B.; Sagadevan, S. Thermal Energy Storage Using Phase Change Materials and Their Applications: A Review. Int. J. ChemTech Res. 2015, 8, 250–256. [Google Scholar]
- Chinnasamy, V.; Palaniappan, S.K.; Raj, M.K.A.; Rajendran, M.; Cho, H. Thermal Energy Storage and Its Applications. Mater. Sol. Energy Conserv. Mater. Methods Appl. 2021, 353–377. [Google Scholar] [CrossRef]
- Faraj, K.; Khaled, M.; Faraj, J.; Hachem, F.; Castelain, C. A Review on Phase Change Materials for Thermal Energy Storage in Buildings: Heating and Hybrid Applications. J. Energy Storage 2021, 33, 101913. [Google Scholar] [CrossRef]
- Kalnæs, S.E.; Jelle, B.P. Phase Change Materials and Products for Building Applications: A State-of-the-Art Review and Future Research Opportunities. Energy Build. 2015, 94, 150–176. [Google Scholar] [CrossRef] [Green Version]
- Nazir, H.; Batool, M.; Bolivar Osorio, F.J.; Isaza-Ruiz, M.; Xu, X.; Vignarooban, K.; Phelan, P.; Inamuddin; Kannan, A.M. Recent Developments in Phase Change Materials for Energy Storage Applications: A Review. Int. J. Heat Mass Transf. 2019, 129, 491–523. [Google Scholar] [CrossRef]
- da Cunha, S.R.L.; de Aguiar, J.L.B. Phase Change Materials and Energy Efficiency of Buildings: A Review of Knowledge. J. Energy Storage 2020, 27, 101083. [Google Scholar] [CrossRef]
- Lecompte, T.; Le Bideau, P.; Glouannec, P.; Nortershauser, D.; Le Masson, S. Mechanical and Thermo-Physical Behaviour of Concretes and Mortars Containing Phase Change Material. Energy Build. 2015, 94, 52–60. [Google Scholar] [CrossRef]
- Rao, V.V.; Parameshwaran, R.; Ram, V.V. PCM-Mortar Based Construction Materials for Energy Efficient Buildings: A Review on Research Trends. Energy Build. 2018, 158, 95–122. [Google Scholar] [CrossRef]
- Al-Yasiri, Q.; Szabó, M. Incorporation of Phase Change Materials into Building Envelope for Thermal Comfort and Energy Saving: A Comprehensive Analysis. J. Build. Eng. 2021, 36, 102122. [Google Scholar] [CrossRef]
- Frigione, M.; Lettieri, M.; Sarcinella, A. Phase Change Materials for Energy Efficiency in Buildings and Their Use in Mortars. Materials 2019, 12, 1260. [Google Scholar] [CrossRef] [Green Version]
- Marani, A.; Nehdi, M.L. Integrating Phase Change Materials in Construction Materials: Critical Review. Constr. Build. Mater. 2019, 217, 36–49. [Google Scholar] [CrossRef]
- Zhang, P.; Xiao, X.; Ma, Z.W. A Review of the Composite Phase Change Materials: Fabrication, Characterization, Mathematical Modeling and Application to Performance Enhancement. Appl. Energy 2016, 165, 472–510. [Google Scholar] [CrossRef]
- Li, M.; Shi, J. Review on Micropore Grade Inorganic Porous Medium Based Form Stable Composite Phase Change Materials: Preparation, Performance Improvement and Effects on the Properties of Cement Mortar. Constr. Build. Mater. 2019, 194, 287–310. [Google Scholar] [CrossRef]
- Rathod, M.K.; Banerjee, J. Thermal Stability of Phase Change Materials Used in Latent Heat Energy Storage Systems: A Review. Renew. Sustain. Energy Rev. 2013, 18, 246–258. [Google Scholar] [CrossRef]
- Lv, P.; Liu, C.; Rao, Z. Review on Clay Mineral-Based Form-Stable Phase Change Materials: Preparation, Characterization and Applications. Renew. Sustain. Energy Rev. 2017, 68, 707–726. [Google Scholar] [CrossRef]
- Fallahi, A.; Guldentops, G.; Tao, M.; Granados-Focil, S.; Van Dessel, S. Review on Solid-Solid Phase Change Materials for Thermal Energy Storage: Molecular Structure and Thermal Properties. Appl. Therm. Eng. 2017, 127, 1427–1441. [Google Scholar] [CrossRef]
- Memon, S.A. Phase Change Materials Integrated in Building Walls: A State-of-the-Art Review. Renew. Sustain. Energy Rev. 2014, 31, 870–906. [Google Scholar] [CrossRef]
- Yang, Y.; Pang, Y.; Liu, Y.; Guo, H. Preparation and Thermal Properties of Polyethylene Glycol/Expanded Graphite as Novel Form-Stable Phase Change Material for Indoor Energy Saving. Mater. Lett. 2018, 216, 220–223. [Google Scholar] [CrossRef]
- Li, T.; Yuan, Y.; Zhang, N. Thermal Properties of Phase Change Cement Board with Capric Acid/Expanded Perlite Form-Stable Phase Change Material. Adv. Mech. Eng. 2017, 9, 168781401770170. [Google Scholar] [CrossRef]
- Wen, R.; Huang, Z.; Huang, Y.; Zhang, X.; Min, X.; Fang, M.; Liu, Y.; Wu, X. Synthesis and Characterization of Lauric Acid/Expanded Vermiculite as Form-Stabilized Thermal Energy Storage Materials. Energy Build. 2016, 116, 677–683. [Google Scholar] [CrossRef]
- Kou, Y.; Wang, S.; Luo, J.; Sun, K.; Zhang, J.; Tan, Z.; Shi, Q. Thermal Analysis and Heat Capacity Study of Polyethylene Glycol (PEG) Phase Change Materials for Thermal Energy Storage Applications. J. Chem. Thermodyn. 2019, 128, 259–274. [Google Scholar] [CrossRef]
- Sundararajan, S.; Samui, A.B.; Kulkarni, P.S. Versatility of Polyethylene Glycol (PEG) in Designing Solid–Solid Phase Change Materials (PCMs) for Thermal Management and Their Application to Innovative Technologies. J. Mater. Chem. A 2017, 5, 18379–18396. [Google Scholar] [CrossRef]
- Chen, C.; Liu, W.; Wang, Z.; Peng, K.; Pan, W.; Xie, Q. Novel Form Stable Phase Change Materials Based on the Composites of Polyethylene Glycol/Polymeric Solid-Solid Phase Change Material. Sol. Energy Mater. Sol. Cells 2015, 134, 80–88. [Google Scholar] [CrossRef]
- Zhang, Y.; Wang, J.; Qiu, J.; Jin, X.; Umair, M.M.; Lu, R.; Zhang, S.; Tang, B. Ag-Graphene/PEG Composite Phase Change Materials for Enhancing Solar-Thermal Energy Conversion and Storage Capacity. Appl. Energy 2019, 237, 83–90. [Google Scholar] [CrossRef]
- Mishra, D.K.; Bhowmik, S.; Pandey, K.M. Polyethylene Glycol Based Form Stable Composite Phase Change Material: A Review. J. Phys. Conf. Ser. 2020, 1455, 012025. [Google Scholar] [CrossRef]
- Zhang, L.; Zhang, P.; Wang, F.; Kang, M.; Li, R.; Mou, Y.; Huang, Y. Phase Change Materials Based on Polyethylene Glycol Supported by Graphene-Based Mesoporous Silica Sheets. Appl. Therm. Eng. 2016, 101, 217–223. [Google Scholar] [CrossRef]
- Wang, W.; Yang, X.; Fang, Y.; Ding, J.; Yan, J. Preparation and Thermal Properties of Polyethylene Glycol/Expanded Graphite Blends for Energy Storage. Appl. Energy 2009, 86, 1479–1483. [Google Scholar] [CrossRef]
- Lv, P.; Ding, M.; Liu, C.; Rao, Z. Experimental Investigation on Thermal Properties and Thermal Performance Enhancement of Octadecanol/Expanded Perlite Form Stable Phase Change Materials for Efficient Thermal Energy Storage. Renew. Energy 2019, 131, 911–922. [Google Scholar] [CrossRef]
- Zhang, D.; Chen, M.; Liu, Q.; Wan, J.; Hu, J. Preparation and Thermal Properties of Molecular-Bridged Expanded Graphite/Polyethylene Glycol Composite Phase Change Materials for Building Energy Conservation. Materials 2018, 11, 818. [Google Scholar] [CrossRef] [Green Version]
- Frigione, M.; Lettieri, M.; Sarcinella, A.; Barroso de Aguiar, J. Sustainable Polymer-Based Phase Change Materials for Energy Efficiency in Buildings and Their Application in Aerial Lime Mortars. Constr. Build. Mater. 2020, 231, 117149. [Google Scholar] [CrossRef]
- Lin, Y.; Jia, Y.; Alva, G.; Fang, G. Review on Thermal Conductivity Enhancement, Thermal Properties and Applications of Phase Change Materials in Thermal Energy Storage. Renew. Sustain. Energy Rev. 2018, 82, 2730–2742. [Google Scholar] [CrossRef]
- Sarı, A. Thermal Energy Storage Characteristics of Bentonite-Based Composite PCMs with Enhanced Thermal Conductivity as Novel Thermal Storage Building Materials. Energy Convers. Manag. 2016, 117, 132–141. [Google Scholar] [CrossRef]
- Liu, Z.; Wei, H.; Tang, B.; Xu, S.; Shufen, Z. Novel Light–Driven CF/PEG/SiO2 Composite Phase Change Materials with High Thermal Conductivity. Sol. Energy Mater. Sol. Cells 2018, 174, 538–544. [Google Scholar] [CrossRef]
- Sarı, A.; Bicer, A.; Al-Sulaiman, F.A.; Karaipekli, A.; Tyagi, V.V. Diatomite/CNTs/PEG Composite PCMs with Shape-Stabilized and Improved Thermal Conductivity: Preparation and Thermal Energy Storage Properties. Energy Build. 2018, 164, 166–175. [Google Scholar] [CrossRef]
- Zhang, J.; Li, H.; Tu, J.; Shi, R.; Luo, Z.; Xiong, C.; Jiang, M. Shape Stability of Polyethylene Glycol/Acetylene Black Phase Change Composites for Latent Heat Storage. Adv. Mater. Sci. Eng. 2018, 2018, 3954163. [Google Scholar] [CrossRef] [Green Version]
- Sarı, A.; Hekimoğlu, G.; Tyagi, V.V.; Sharma, R.K. Evaluation of Pumice for Development of Low-Cost and Energy-Efficient Composite Phase Change Materials and Lab-Scale Thermoregulation Performances of Its Cementitious Plasters. Energy 2020, 207, 118242. [Google Scholar] [CrossRef]
- Abbasi Hattan, H.; Madhkhan, M.; Marani, A. Thermal and Mechanical Properties of Building External Walls Plastered with Cement Mortar Incorporating Shape-Stabilized Phase Change Materials (SSPCMs). Constr. Build. Mater. 2021, 270, 121385. [Google Scholar] [CrossRef]
- Sukontasukkul, P.; Sutthiphasilp, T.; Chalodhorn, W.; Chindaprasirt, P. Improving Thermal Properties of Exterior Plastering Mortars with Phase Change Materials with Different Melting Temperatures: Paraffin and Polyethylene Glycol. Adv. Build. Energy Res. 2019, 13, 220–240. [Google Scholar] [CrossRef]
- Kulkarni, P.; Muthadhi, A. Polyethylene Glycol-600/Expanded Clay Aggregate with Alccofine1203 in Concrete. Mater. Today Proc. 2021, 43, 1081–1088. [Google Scholar] [CrossRef]
- Aguayo, M.; Das, S.; Maroli, A.; Kabay, N.; Mertens, J.C.E.; Rajan, S.D.; Sant, G.; Chawla, N.; Neithalath, N. The Influence of Microencapsulated Phase Change Material (PCM) Characteristics on the Microstructure and Strength of Cementitious Composites: Experiments and Finite Element Simulations. Cem. Concr. Compos. 2016, 73, 29–41. [Google Scholar] [CrossRef] [Green Version]
- Wang, Z.; Su, H.; Zhao, S.; Zhao, N. Influence of Phase Change Material on Mechanical and Thermal Properties of Clay Geopolymer Mortar. Constr. Build. Mater. 2016, 120, 329–334. [Google Scholar] [CrossRef]
- Li, M.; Lin, Z.; Wu, L.; Wang, J.; Gong, N. Applications of Graphite-Enabled Phase Change Material Composites to Improve Thermal Performance of Cementitious Materials. IOP Conf. Ser. Mater. Sci. Eng. 2017, 264, 012013. [Google Scholar] [CrossRef]
- Nepomuceno, M.C.S.; Silva, P.D. Experimental Evaluation of Cement Mortars with Phase Change Material Incorporated via Lightweight Expanded Clay Aggregate. Constr. Build. Mater. 2014, 63, 89–96. [Google Scholar] [CrossRef]
- Cunha, S.; Lima, M.; Aguiar, J.B. Influence of Adding Phase Change Materials on the Physical and Mechanical Properties of Cement Mortars. Constr. Build. Mater. 2016, 127, 1–10. [Google Scholar] [CrossRef] [Green Version]
- Cunha, S.; Aguiar, J.; Ferreira, V. Mortars with Incorporation of Phase Change Materials for Thermal Rehabilitation. Int. J. Archit. Herit. 2017, 11, 339–348. [Google Scholar] [CrossRef]
- Cunha, S.; Aguiar, J.; Ferreira, V.; Tadeu, A.; Garbacz, A. Mortars with Phase Change Materials—Part I: Physical and Mechanical Characterization. KEM 2014, 634, 22–32. [Google Scholar] [CrossRef] [Green Version]
- Cunha, S.; Aguiar, J.B.; Ferreira, V.; Tadeu, A.; Garbacz, A. Mortars with Phase Change Materials—Part II: Durability Evaluation. KEM 2014, 634, 33–45. [Google Scholar] [CrossRef] [Green Version]
- Cunha, S.; Aguiar, J.; Tadeu, A. Ranking Procedure Based on Mechanical, Durability and Thermal Behavior of Mortars with Incorporation of Phase Change Materials. Mater. Constr. 2015, 65, e068. [Google Scholar] [CrossRef] [Green Version]
- Frigione, M.; Lettieri, M.; Sarcinella, A.; de Aguiar, J.B. Mortars with Phase Change Materials (PCM) and Stone Waste to Improve Energy Efficiency in Buildings. In International Congress on Polymers in Concrete (ICPIC 2018); Taha, M.M.R., Ed.; Springer International Publishing: Cham, Switzerland, 2018; pp. 195–201. ISBN 978-3-319-78174-7. [Google Scholar]
- Frigione, M.; Lettieri, M.; Sarcinella, A.; Barroso de Aguiar, J.L. Applications of Sustainable Polymer-Based Phase Change Materials in Mortars Composed by Different Binders. Materials 2019, 12, 3502. [Google Scholar] [CrossRef] [Green Version]
- Sarcinella, A.; De Aguiar, J.L.B.; Lettieri, M.; Cunha, S.; Frigione, M. Thermal Performance of Mortars Based on Different Binders and Containing a Novel Sustainable Phase Change Material (PCM). Materials 2020, 13, 2055. [Google Scholar] [CrossRef]
- Andriani, G.F.; Walsh, N. Petrophysical and Mechanical Properties of Soft and Porous Building Rocks Used in Apulian Monuments (South Italy). Geol. Soc. Lond. Spec. Publ. 2010, 333, 129–141. [Google Scholar] [CrossRef]
- Bugani, S.; Camaiti, M.; Morselli, L.; Van de Casteele, E.; Janssens, K. Investigation on Porosity Changes of Lecce Stone Due to Conservation Treatments by Means of X-Ray Nano- and Improved Micro-Computed Tomography: Preliminary Results. X-ray Spectrom. 2007, 36, 316–320. [Google Scholar] [CrossRef]
- Falchi, L.; Balliana, E.; Izzo, F.C.; Agostinetto, L.; Zendri, E. Distribution of Nanosilica Dispersions in Lecce Stone; Sciences at Ca’Foscari: Torino, Italy, 2013; Volume 9. [Google Scholar]
- European Committee for Standardization (CEN), EN 998-1. Specification for Mortar for Masonry—Part 1: Rendering and Plastering Mortar; CEN: Brussels, Belgium, 2010. [Google Scholar]
- Cunha, S.; Aguiar, J.; Pacheco-Torgal, F. Effect of Temperature on Mortars with Incorporation of Phase Change Materials. Constr. Build. Mater. 2015, 98, 89–101. [Google Scholar] [CrossRef] [Green Version]
- Cunha, S.; Aguiar, J.; Ferreira, V.; Tadeu, A. Mortars Based in Different Binders with Incorporation of Phase-Change Materials: Physical and Mechanical Properties. Eur. J. Environ. Civ. Eng. 2015, 19, 1216–1233. [Google Scholar] [CrossRef] [Green Version]
- European Committee for Standardization (CEN), EN 1015-3. Methods of Test for Mortar for Masonry—Part 3: Determination of Consistence of Fresh Mortar (by Flow Table); CEN: Brussels, Belgium, 2004. [Google Scholar]
- European Committee for Standardization (CEN), EN 1015-11 (1999). Methods of Test for Mortar for —Part 11: Determination of Flexural and Compressive Strength of Hardened Mortar; CEN: Brussels, Belgium, 1999. [Google Scholar]
- Xu, J.; Yang, T.; Xu, X.; Guo, X.; Cao, J. Processing Solid Wood into a Composite Phase Change Material for Thermal Energy Storage by Introducing Silica-Stabilized Polyethylene Glycol. Compos. Part A Appl. Sci. Manuf. 2020, 139, 106098. [Google Scholar] [CrossRef]
- Karaman, S.; Karaipekli, A.; Sarı, A.; Biçer, A. Polyethylene Glycol (PEG)/Diatomite Composite as a Novel Form-Stable Phase Change Material for Thermal Energy Storage. Sol. Energy Mater. Sol. Cells 2011, 95, 1647–1653. [Google Scholar] [CrossRef]
- Deng, Y.; He, M.; Li, J.; Yang, Z. Polyethylene Glycol-Carbon Nanotubes/Expanded Vermiculite Form-Stable Composite Phase Change Materials: Simultaneously Enhanced Latent Heat and Heat Transfer. Polymers 2018, 10, 889. [Google Scholar] [CrossRef] [Green Version]
- Li, H.; Fang, G.-Y. Experimental Investigation on the Characteristics of Polyethylene Glycol/Cement Composites as Thermal Energy Storage Materials. Chem. Eng. Technol. 2010, 33, 1650–1654. [Google Scholar] [CrossRef]
- Yang, H.; Feng, L.; Wang, C.; Zhao, W.; Li, X. Confinement Effect of SiO2 Framework on Phase Change of PEG in Shape-Stabilized PEG/SiO2 Composites. Eur. Polym. J. 2012, 48, 803–810. [Google Scholar] [CrossRef]
- Rathore, P.K.S.; Shukla, S.K. Enhanced Thermophysical Properties of Organic PCM through Shape Stabilization for Thermal Energy Storage in Buildings: A State-of-the-Art Review. Energy Build. 2021, 236, 110799. [Google Scholar] [CrossRef]
- Yu, Y.Y.; Liu, J.S.; Xing, S.S.; Zuo, J.; He, X. Experimental Research of Cement Mortar with Incorporated Lauric Acid/Expanded Perlite Phase-Change Materials. J. Test. Eval. 2017, 45, 20160021. [Google Scholar] [CrossRef]
- Cunha, S.; Aguiar, J.B.; Ferreira, V.; Tadeu, A. Influence of Adding Encapsulated Phase Change Materials in Aerial Lime Based Mortars. AMR 2013, 687, 255–261. [Google Scholar] [CrossRef]
- Cunha, S.; Lucas, S.; Aguiar, J.; Ferreira, V.; Bragança, L. Influence of Incorporation Phase Change Materials, Pcm, Granulates on Workability, Mechanical Strenght and Aesthetical Appearance of Lime and Gypsum Mortars. Archit. Civ. Eng. Environ. 2013, 6, 39–48. [Google Scholar]





| Materials | Density | Supplied by | Main Properties |
|---|---|---|---|
| Lecce Stone (LS) | 2957 kg/m3 | L’essenza della Pietra, Taviano (Lecce), Italy | Stone with a high open porosity; available as waste material. |
| Polyethylene Glycol 800 (PEG800) | 1200 kg/m3 | Wuhan Fortuna Chemical, Wuhan, China | Low toxicity, low flammability; appropriate characteristic temperatures. |
| Aerial Lime (AL) | 2450 kg/m3 | Lhoist, Valverde, Portugal | Binder suitable for restoration and conservation of architectural heritage and historic buildings. |
| Polyacrylate (MasterGlenium SKY 627) | 1050 kg/m3 | BASF, Porto, Portugal | Superplasticizer used to minimize the quantity of water required by the mortar system. |
| Aggregates | |||||||
|---|---|---|---|---|---|---|---|
| System | Binder/ Content | LS | PEG 800 Content | SP | Water Saturation 1 | Water | Water/ Binder |
| AL_LS | Aerial Lime/1000 | 668 | 0 | 20 | 168 | 347 | 0.35 |
| AL_LS/PEG800 | Aerial Lime/1000 | 979 | 225 | 20 | 0 | 310 | 0.31 |
| SAMPLES | |||||
|---|---|---|---|---|---|
| PEG 1000 | PEG 800 | LS/PEG1000 | LS/PEG800 | ||
| H | Onset (°C) | 35.1 ± 1.7 | 6.4 ± 2.3 | 31.7 ± 1.2 | −5.3 ± 0.6 |
| E A | Tm (°C) | 42.8 ± 1.1 | 1st: 18.3 ± 0.9 2nd: 25.5 ± 1.1 | 39.3 ± 0.7 | 12.7 ± 1.4 |
| T | Endset (°C) | 55.2 ± 2.6 | 30.5 ± 1.9 | 47.7 ± 2.4 | 25.4 ± 2.2 |
| I N G | ΔH (J/g) | 129.3 ± 1.2 | 150.9 ± 10.3 | 27.7 ± 0.9 | 28.3 ± 3.4 |
| C | Onset (°C) | 28.9 ± 1.1 | 17.3 ± 1.1 | 23.5 ± 0.7 | 12.4 ± 0.8 |
| O O | Tc (°C) | 23.6 ± 1.2 | 1st: 13.3 ± 0.9 2nd: 9.1 ± 1.1 | 19.4 ± 0.9 | 9.3 ± 0.9 |
| L | Endset (°C) | 14.2 ± 0.7 | −4.8 ± 0.9 | 9.3 ± 0.5 | −8.2 ± 0.4 |
| I N G | ΔH (J/g) | 129.8 ± 0.8 | 151.4 ± 11.5 | 26.2 ± 1.1 | 28.1 ± 0.9 |
| Sample | Onset (°C) | Endset (°C) | Residual (%) | Amount of PEG (%) |
|---|---|---|---|---|
| PEG 800 | 222.6 ± 2.1 | 520.6 ± 2.7 | 0 ± 0.0 | 100 ± 0.0 |
| PEG 1000 | 220.2 ± 1.2 | 401.1 ± 1.1 | 1.7 ± 0.5 | 98.3 ± 0.5 |
| LS/PEG800 | 219.2 ± 1.7 | 384.3 ± 1.8 | 76.6 ± 0.9 | 23.4 ± 1.3 |
| LS/PEG1000 | 219.1 ± 1.2 | 292.6 ± 1.2 | 77.0 ± 1.0 | 23.0 ± 1.4 |
| Sample | Temperature (°C) | ΔWeightpaper (mg) | ΔLS/PEG (%) |
|---|---|---|---|
| LS/PEG800 | 30–35 | 0 | 0.0 |
| 75–80 | 13 | −0.3 | |
| LS/PEG1000 | 45–50 | 0 | 0.0 |
| 75–80 | 20 | −0.4 |
| System | Workability (mm) |
|---|---|
| AL_LS | 178 |
| AL_LS/PEG800 | 160 |
| Sample | Flexural Strength (N/mm2) | Compressive Strength (N/mm2) | Classification EN 998-1:2010 [56] |
|---|---|---|---|
| AL_LS | 0.63 ± 0.19 | 1.47 ± 0.16 | CSI |
| AL_LS/PEG800 | 0.28 ± 0.12 | 0.44 ± 0.01 | CSI |
| Heating | Cooling | |||||||
|---|---|---|---|---|---|---|---|---|
| Sample | Onset (°C) | Tm (°C) | Endset (°C) | ∆H (J/g) | Onset (°C) | Tc (°C) | Endset (°C) | ∆H (J/g) |
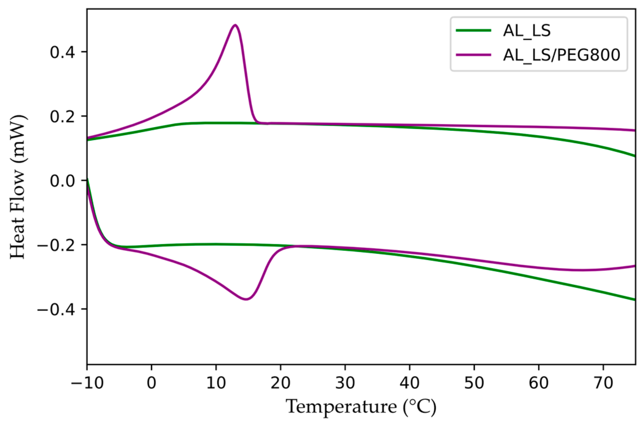
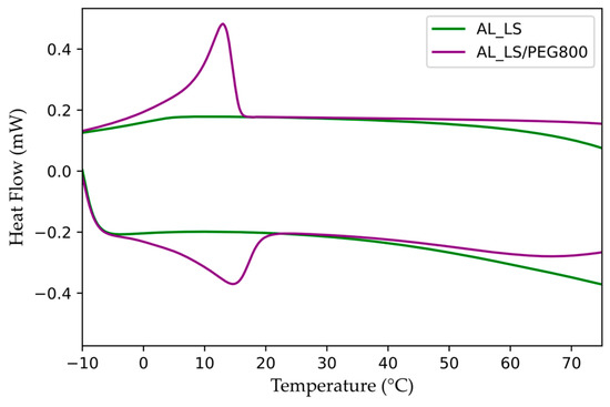
| AL_LS/PEG800 | 3.3 ± 1.9 | 15.0 ± 1.0 | 24.1 ± 1.2 | 11.8 ± 0.4 | 17.7 ± 1.5 | 13.1 ± 1.1 | −6.4 ± 0.9 | 12.5 ± 1.0 |
Publisher’s Note: MDPI stays neutral with regard to jurisdictional claims in published maps and institutional affiliations. |
© 2022 by the authors. Licensee MDPI, Basel, Switzerland. This article is an open access article distributed under the terms and conditions of the Creative Commons Attribution (CC BY) license (https://creativecommons.org/licenses/by/4.0/).
Share and Cite
Sarcinella, A.; Aguiar, J.L.B.d.; Frigione, M. Physical Properties of an Eco-Sustainable, Form-Stable Phase Change Material Included in Aerial-Lime-Based Mortar Intended for Different Climates. Materials 2022, 15, 1192. https://doi.org/10.3390/ma15031192
Sarcinella A, Aguiar JLBd, Frigione M. Physical Properties of an Eco-Sustainable, Form-Stable Phase Change Material Included in Aerial-Lime-Based Mortar Intended for Different Climates. Materials. 2022; 15(3):1192. https://doi.org/10.3390/ma15031192
Chicago/Turabian StyleSarcinella, Antonella, José Luís Barroso de Aguiar, and Mariaenrica Frigione. 2022. "Physical Properties of an Eco-Sustainable, Form-Stable Phase Change Material Included in Aerial-Lime-Based Mortar Intended for Different Climates" Materials 15, no. 3: 1192. https://doi.org/10.3390/ma15031192
APA StyleSarcinella, A., Aguiar, J. L. B. d., & Frigione, M. (2022). Physical Properties of an Eco-Sustainable, Form-Stable Phase Change Material Included in Aerial-Lime-Based Mortar Intended for Different Climates. Materials, 15(3), 1192. https://doi.org/10.3390/ma15031192
