The Influence of Oxidation on the Magnetic, Electrical, and Mechanical Properties of Co40Fe40Yb20 Films
Abstract
1. Introduction
2. Materials and Methods
3. Results
3.1. Analysis of X-ray Diffraction, Grain Size, and Full Width of Half Maximum
3.2. Surface Energy and Adhesion Analysis
3.3. Electrical Examination
3.4. Hardness Analysis
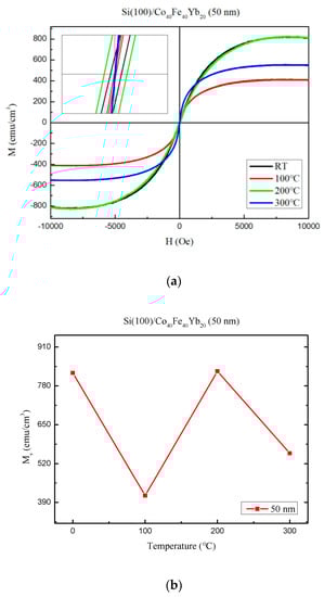
3.5. Magnetic Analysis
4. Conclusions
Author Contributions
Funding
Institutional Review Board Statement
Informed Consent Statement
Data Availability Statement
Acknowledgments
Conflicts of Interest
References
- Mauc, C.; Perrier, T.; Moulin, J.; Kayser, P. Induced exchange bias in NiMn/CoFe multilayer thin films sputtered on a quartz substrate by field cooling. J. Magn. Magn. Mater. 2022, 544, 168649. [Google Scholar] [CrossRef]
- Belcher, C.H.; Zheng, B.; Dickens, S.M.; Domrzalski, J.; Langlois, E.D.; Lehman, B.; Pearce, C.; Delaney, R.; MacDonald, B.E.; Apelian, D.; et al. Phase stability and magnetic and electronic properties of a spark plasma sintered CoFe–P soft magnetic alloy. J. Alloys Compd. 2022, 925, 166756. [Google Scholar] [CrossRef]
- Belcher, C.H.; Zheng, B.; MacDonald, B.E.; Langlois, E.D.; Lehman, B.; Pearce, C.; Delaney, R.; Apelian, D.; Lavernia, E.J.; Monson, T.C. The role of microstructural evolution during spark plasma sintering on the soft magnetic and electronic properties of a CoFe–Al2O3 soft magnetic composite. J. Mater. Sci. 2022, 57, 5518–5532. [Google Scholar] [CrossRef]
- Honjo, H.; Niwa, M.; Nishioka, K.; Nguyen, T.V.A.; Naganuma, H.; Endo, Y.; Yasuhira, M.; Ikeda, S.; Endoh, T. Influence of hard mask materials on the magnetic properties of perpendicular MTJs with double CoFeB/MgO interface. IEEE Trans. Magn. 2020, 56, 6703504. [Google Scholar] [CrossRef]
- Pashen’kin, I.Y.; Sapozhnikov, M.V.; Gusev, N.S.; Rogov, V.V.; Tatarskii, D.A.; Fraerman, A.A.; Volochaev, M.N. Magnetoelectric effect in CoFeB/MgO/CoFeB magnetic tunnel junctions. JETP Lett. 2020, 111, 690–693. [Google Scholar] [CrossRef]
- Tyagi, P.; Brown, H.; Grizzle, A.; Angelo, C.D.; Dahal, B.R. Molecular coupling competing with defects within insulator of the magnetic tunnel junction-based molecular spintronics devices. Sci. Rep. 2021, 11, 17128. [Google Scholar] [CrossRef]
- Yang, H.; Valenzuela, S.O.; Chshiev, M.; Couet, S.; Dieny, B.; Dlubak, B.; Fert, A.; Garello, K.; Jamet, M.; Jeong, D.E.; et al. Two-dimensional materials prospects for non-volatile spintronic memories. Nature 2022, 606, 663–673. [Google Scholar] [CrossRef]
- Konh, M.; Wang, Y.; Chen, H.; Bhattb, S.; Xiao, J.Q.; Teplyakov, A.V. Selectivity in atomically precise etching: Thermal atomic layer etching of a CoFeB alloy and its protection by MgO. Appl. Sur. Sci. 2022, 575, 151751. [Google Scholar] [CrossRef]
- Ikeda, S.; Hayakawa, J.; Lee, Y.M.; Matsukura, F.; Ohno, Y.; Hanyu, T.; Ohno, H. Magnetic tunnel junctions for spintronic memories and beyond. IEEE Trans. Electron Devices 2007, 54, 991–1002. [Google Scholar] [CrossRef]
- Kawahara, T.; Ito, K.; Takemura, R.; Ohno, H. Spin-transfer torque RAM technology: Review and prospect. Microelectron. Reliab. 2012, 52, 613–627. [Google Scholar] [CrossRef]
- Pošković, E.; Franchini, F.; Ferraris, L.; Carosio, F.; Actis Grande, M. Rapid Characterization Method for SMC Materials for a Preliminary Selection. Appl. Sci. 2021, 11, 12133. [Google Scholar] [CrossRef]
- Maclaren, J.M.; Schulthess, T.C.; Butler, W.H.; Sutton, R.; Mchenry, M. Electronic structure, exchange interactions, and Curie temperature of FeCo. J. Appl. Phys. 1999, 85, 4833–4835. [Google Scholar] [CrossRef]
- Kumara, A.; Srivastava, N.; Srivastava, P.C. Effect of interfacial modifications on magnetic, morphological and transport properties of CoFe/n-Si thin film structures using ion irradiation. Nucl. Instrum. Methods Phys. Res. B Beam Interact. Mater. At. 2019, 451, 79–88. [Google Scholar] [CrossRef]
- Sharma, D.K.; Varshney, M.; Shukla, S.; Sharma, K.K.; Kumar, V.; Sharma, A. Assimilation of Yb defect states in ZnO: Structural, optical and magnetic investigations. Vacuum 2020, 179, 109522. [Google Scholar] [CrossRef]
- Torres, L.A.D.; Rosa, E.D.l.; Salas, P.; Desirena, H. Enhanced cooperative absorption and upconversion in Yb3+doped YAG nanophosphor. Opt. Mater. 2005, 27, 1305–1310. [Google Scholar] [CrossRef]
- Ma, K.; Chung, T.S.; Good, R.J. Surface energy of thermotropic liquid crystalline polyesters and polyesteramide. J. Polym. Sci. 1998, 36, 2327–2337. [Google Scholar] [CrossRef]
- Owens, D.K.; Wendt, R.C. Estimation of the surface free energy of polymers. J. Appl. Polym. Sci. 1969, 13, 1741–1747. [Google Scholar] [CrossRef]
- Kaelble, D.H.; Uy, K.C. A Reinterpretation of Organic Liquid-Polytetrafluoroethylene Surface Interactions. J. Adhes. 1970, 2, 50–60. [Google Scholar] [CrossRef]
- Battu, A.K.; Ramana, C.V. Mechanical Properties of Nanocrystalline and Amorphous Gallium Oxide Thin Films. Adv. Eng. Mater. 2018, 20, 1701033. [Google Scholar] [CrossRef]
- Battu, A.K.; Zade, V.B.; Deemer, E.; Ramana, C.V. Microstructure-Mechanical Property Correlation in Size Controlled Nanocrystalline Molybdenum Films. Adv. Eng. Mater. 2018, 20, 1800496. [Google Scholar] [CrossRef]
- Liu, W.J.; Chang, Y.H.; Chen, Y.T.; Chiang, Y.C.; Liu, Y.C.; Wu, T.H.; Chi, P.W. Effect of annealing on the structural, magnetic, surface energy of CoFeBY films on Si (100) substrate. Materials 2021, 14, 987. [Google Scholar] [CrossRef] [PubMed]
- Khatri, H.; Marsillac, S. The effect of deposition parameters on radiofrequency sputtered molybdenum thin film. J. Phys. Condens. Matter 2008, 20, 055206. [Google Scholar] [CrossRef]
- You, C.Y.; Ohkubo, T.; Takahashi, Y.K.; Hono, K. Boron segregation in crystallized MgO/amorphous-Co40Fe40B20 thin films. J. Appl. Phys. 2008, 104, 033517. [Google Scholar] [CrossRef]
- Xu, Z.; Qin, L. Effects of sputtering parameters and annealing temperatures on magnetic properties of CoFeB films. J. Magn. Magn. Mater. 2021, 538, 168302. [Google Scholar] [CrossRef]
- D’Agostino, A.T. Determination of thin metal film thickness by x-ray diffractometry using the Scherrer equation, atomic absorption analysis and transmission/reflection visible spectroscopy. Anal. Chim. Acta 1992, 262, 269–275. [Google Scholar] [CrossRef]
- Enriquez, J.P.; Mathew, X. XRD study of the grain growth in CdTe films annealed at different temperatures. Sol. Energy Mater Sol. Cells 2004, 81, 363–369. [Google Scholar] [CrossRef]
- Das, V.D.; Ganesan, P.G. Thickness and temperature effects on thermoelectric power and electrical resistivity of (Bi0.25Sb0.75)2Te3 thin films. Mater. Chem. Phys. 1998, 57, 57–66. [Google Scholar] [CrossRef]
- Battu, A.K.; Makeswaran, N.; Ramana, C.V. Fabrication, characterization and optimization of high conductivity and high quality nanocrystalline molybdenum thin films. J. Mater. Sci. Technol. 2019, 35, 2734–2741. [Google Scholar] [CrossRef]
- Wang, H.; Kou, X.; Wang, S.; Zhou, J.; Zhang, X.; Li, J. Structures, magnetic properties and thermal stability of CoFeB/MgO films. Phys. Procedia 2011, 18, 267–273. [Google Scholar] [CrossRef]
- Oliver, W.C.; Pharr, G.M. An improved technique for determining hardness and elastic modulus using load and displacement sensing indentation experiments. J. Mater. Res. 1992, 7, 1564–1583. [Google Scholar] [CrossRef]
- Venkatraman, R.; Bravman, J.C. Separation of film thickness and grain boundary strengthening effects in Al thin films on Si. J. Mater. Res. 1992, 7, 2040–2048. [Google Scholar] [CrossRef]
- Beegan, D.; Laugier, M.T. Application of composite hardness models to copper thin film hardness measurement. Surf. Coat. Technol. 2005, 199, 32–37. [Google Scholar] [CrossRef]
- Wang, K.; Xu, Z.; Huang, Y.; Qiu, Y.; Dong, S. Magnetic, thermal, electrical properties and crystallization kinetics of Co60Fe20B20 alloy films. Sci. China Mater. 2016, 59, 639–647. [Google Scholar] [CrossRef]
- Wen, D.; Li, J.; Gan, G.; Yang, Y.; Zhang, H.; Liu, Y. Double peaks of the permeability spectra of obliquely sputtered CoFeB amorphous films. Mater. Res. Bull. 2019, 110, 107–111. [Google Scholar] [CrossRef]
- Yang, S.Y.; Chien, J.J.; Wang, W.C.; Yu, C.Y.; Hing, N.S.; Hong, H.E.; Hong, C.Y.; Yang, H.C.; Chang, C.F.; Lin, H.Y. Magnetic nanoparticles for high-sensitivity detection on nucleic acids via superconducting-quantum-interference-device-based immunomagnetic reduction assay. J. Magn. Magn. Mater. 2011, 323, 681–685. [Google Scholar] [CrossRef]
- Liu, W.J.; Chang, Y.H.; Fern, C.L.; Chen, Y.T.; Huang, B.J.; Hsu, S.T.; Lin, S.H.; Wu, T.H.; Chi, P.W.; Lin, K.W. Annealing effect on the structure, magnetic characteristic, surface energy and optical property of Co40Fe40W10B10 thin films. Optik 2022, 259, 168985. [Google Scholar] [CrossRef]
- Bhatt, R.C.; Ye, L.X.; Hai, N.T.; Wu, J.C.; Wu, T.H. Spin-flop led peculiar behavior of temperature-dependent anomalous Hall effect in Hf/Gd-Fe-Co. J. Magn. Magn. Mater. 2021, 537, 168196. [Google Scholar] [CrossRef]
















| Thickness (nm) | As-Deposited Optimal Resonance Frequency (Hz) | Post-Annealing at 100 °C of Optimal Resonance Frequency (Hz) | Post-Annealing at 200 °C of Optimal Resonance Frequency (Hz) | Post-Annealing at 300 °C of Optimal Resonance Frequency (Hz) |
|---|---|---|---|---|
| 10 | 50 | 50 | 50 | 50 |
| 20 | 50 | 50 | 50 | 50 |
| 30 | 50 | 50 | 50 | 50 |
| 40 | 50 | 50 | 50 | 50 |
| 50 | 50 | 50 | 50 | 50 |
Publisher’s Note: MDPI stays neutral with regard to jurisdictional claims in published maps and institutional affiliations. |
© 2022 by the authors. Licensee MDPI, Basel, Switzerland. This article is an open access article distributed under the terms and conditions of the Creative Commons Attribution (CC BY) license (https://creativecommons.org/licenses/by/4.0/).
Share and Cite
Liu, W.-J.; Chang, Y.-H.; Chiang, C.-C.; Chen, Y.-T.; Chen, Y.-H.; You, H.-J.; Wu, T.-H.; Lin, S.-H.; Chi, P.-W. The Influence of Oxidation on the Magnetic, Electrical, and Mechanical Properties of Co40Fe40Yb20 Films. Materials 2022, 15, 8675. https://doi.org/10.3390/ma15238675
Liu W-J, Chang Y-H, Chiang C-C, Chen Y-T, Chen Y-H, You H-J, Wu T-H, Lin S-H, Chi P-W. The Influence of Oxidation on the Magnetic, Electrical, and Mechanical Properties of Co40Fe40Yb20 Films. Materials. 2022; 15(23):8675. https://doi.org/10.3390/ma15238675
Chicago/Turabian StyleLiu, Wen-Jen, Yung-Huang Chang, Chia-Chin Chiang, Yuan-Tsung Chen, Ying-Hsuan Chen, Hui-Jun You, Te-Ho Wu, Shih-Hung Lin, and Po-Wei Chi. 2022. "The Influence of Oxidation on the Magnetic, Electrical, and Mechanical Properties of Co40Fe40Yb20 Films" Materials 15, no. 23: 8675. https://doi.org/10.3390/ma15238675
APA StyleLiu, W.-J., Chang, Y.-H., Chiang, C.-C., Chen, Y.-T., Chen, Y.-H., You, H.-J., Wu, T.-H., Lin, S.-H., & Chi, P.-W. (2022). The Influence of Oxidation on the Magnetic, Electrical, and Mechanical Properties of Co40Fe40Yb20 Films. Materials, 15(23), 8675. https://doi.org/10.3390/ma15238675

