Phase Composition, Microstructure, Multiple Shape Memory Effect of TiNi50−xVx (x = 1; 2; 4 at.%) System Alloys
Abstract
1. Introduction
2. Materials and Methods
3. Results
3.1. Phase Composition of Alloys Based on Titanium Nickelide Doped with Vanadium
3.2. Microstructure of TiNi-Based Alloys Alloyed with V
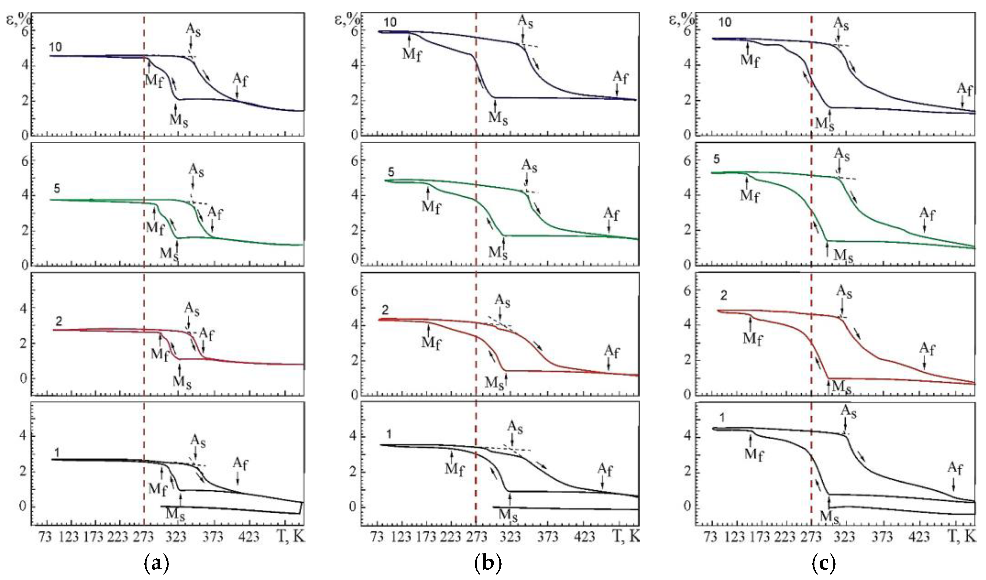
3.3. Multiple Shape Memory Effect of Ti-Ni-V System Alloys
4. Conclusions
- All investigated alloys at room temperature contain a multiphase mixture consisting of intermetallic compounds with compositions: TiNi (B2, R and B19′) and Ti2Ni. It has been established that at room temperature, the volume fraction of the B19′ phase decreases with increasing concentration of V atoms. This trend in the change in the structural-phase composition indicates that doping of TiNi alloys with vanadium atoms leads to an increase in the stability of the high-temperature B2 and rhombohedral R-phase. An increase in the atomic volume with an increase in the concentration of the doping element V was established.
- The microstructure of TiNi alloys doped with vanadium is characterized by the presence of finely dispersed TiNiV particles in the TiNi(V) matrix, which are not an obstacle to the accumulation of deformation during multiple SME.
- Doping with vanadium of alloys of the Ti–Ni–V system leads to an increase in the temperature interval for the manifestation of the multiple SME.
- It has been established that the value of the reversible deformation of the multiple SME both during heating and during cooling increases linearly with an increase in the vanadium concentration.
- Titanium nickelide alloy doped with 4 at.% vanadium is promising for use as actuating elements in promising technology.
Author Contributions
Funding
Acknowledgments
Conflicts of Interest
References
- Huang, W. On the selection of shape memory alloys for actuators. Mater. Des. 2002, 23, 11–19. [Google Scholar] [CrossRef]
- Song, G.; Patil, D.; Kocurek, C.; Bartos, J. Applications of shape memory alloys in offshore oil and gas industry: A review. In Earth and Space 2010; American Society of Civil Engineers: Reston, VA, USA, 2010; pp. 1551–1567. [Google Scholar]
- Nam, T.H.; Chung, D.W.; Kim, J.S.; Kang, S.B. Phase transformation behaviors and shape memory characteristics of Ti–Ni–Mo alloys. Mater. Lett. 2002, 52, 234–239. [Google Scholar] [CrossRef]
- Topolnitskiy, E.; Chekalkin, T.; Marchenko, E.; Yasenchuk, Y.; Kang, S.B.; Kang, J.H.; Obrosov, A. Evaluation of clinical performance of TiNi-based implants used in chest wall repair after resection for malignant tumors. J. Funct. Biomater. 2021, 12, 60. [Google Scholar] [CrossRef] [PubMed]
- Chernyshova, A.L.; Kolomiets, L.A.; Gunther, V.E.; Marchenko, E.S.; Chekalkin, T.L. A radical trachelectomy using NiTi mesh implants in reproductive-aged women for invasive cervical cancer. AIP Conf. Proc. 2020, 2310, 20058. [Google Scholar] [CrossRef]
- Santamarta, R.; Arróyave, R.; Pons, J.; Evirgen, A.; Karaman, I.; Karaca, H.E.; Noebe, R.D. TEM study of structural and microstructural characteristics of a precipitate phase in Ni-rich Ni–Ti–Hf and Ni–Ti–Zr shape memory alloys. Acta Mater. 2013, 61, 6191–6206. [Google Scholar] [CrossRef]
- Cui, J.; Chu, Y.S.; Famodu, O.O.; Furuya, Y.; Hattrick-Simpers, J.; James, R.D.; Ludwig, A.; Thienhaus, S.; Wuttig, M.; Zhang, Z. Combinatorial search of thermoelastic shape-memory alloys with extremely small hysteresis width. Nat. Mater. 2006, 5, 286–290. [Google Scholar] [CrossRef]
- Ng, K.W.; Man, H.C.; Yue, T.M. Corrosion and wear properties of laser surface modified NiTi with Mo and ZrO2. Appl. Surf. Sci. 2008, 254, 6725–6730. [Google Scholar] [CrossRef]
- Singh, N.; Talapatra, A.; Junkaew, A.; Duong, T.; Gibbons, S.; Li, S.; Arróyave, R. Effect of ternary additions to structural properties of NiTi alloys. Comput. Mater. Sci. 2016, 112, 347–355. [Google Scholar] [CrossRef]
- Monogenov, A.N.; Marchenko, E.S.; Baigonakova, G.A.; Yasenchuk, Y.F.; Garin, A.S.; Volinsky, A.A. Improved mechanical properties of porous nitinol by aluminum alloying. J. Alloys Comp. 2022, 918, 165617. [Google Scholar] [CrossRef]
- Baigonakova, G.A.; Marchenko, E.S.; Chekalkin, T.L.; Kang, J.H.; Weiss, S.; Obrosov, A. Influence of silver addition on structure, martensite transformations and mechanical properties of TiNiAg alloy wires for biomedical application. Materials 2020, 13, 4721. [Google Scholar] [CrossRef]
- Chen, J.; Yao, X.; Yang, H.; Shi, X.; Zhang, J.; Jiang, J.; Li, Y. Effects of morphology of V nanowires on superelasticity of Ti46Ni44V10 alloy. Mater. Sci. Eng. A 2020, 786, 139450. [Google Scholar] [CrossRef]
- Lin, H.; Lin, K.; Chang, S.; Lin, C. A study of TiNiV ternary shape memory alloys. J. Alloy. Compd. 1999, 284, 213–217. [Google Scholar] [CrossRef]
- Yang, H.; Chen, J.; Li, Y.; Shi, X.; Li, Y.; Zhang, J. Effect of cold work on martensitic transformation of Ni38Ti37V25 alloy reinforced by V nanowires. J. Alloy. Compd. 2020, 815, 152489. [Google Scholar] [CrossRef]
- Yang, H.; Chen, J.; Wu, Y.; Shi, X.; Li, Y.; Jiang, J. The transformation characteristics of the NiTi–V composite with dual-scale bcc-V fibers. Intermetallics 2020, 116, 106650. [Google Scholar] [CrossRef]
- Lin, H.C.; Yang, C.H.; Lin, M.C.; Lin, C.S.; Lin, K.M.; Chang, L.S. Aging effect on a Ti47.25Ni48.75V4 shape memory alloy. J. Alloy. Compd. 2008, 449, 119–124. [Google Scholar] [CrossRef]
- Frenzel, J.; Wieczorek, A.; Opahle, I.; Maaß, B.; Drautz, R.; Eggeler, G. On the effect of alloy composition on martensite start temperatures and latent heats in Ni-Tibased shape memory alloys. Acta Mater. 2015, 90, 213–231. [Google Scholar] [CrossRef]
- Kök, M.; Al-Jaf, A.O.A.; Çirak, Z.D.; Qader, I.N.; Özen, E. Effects of heat treatment temperatures on phase transformation, thermodynamical parameters, crystal microstructure, and electrical resistivity of NiTiV shape memory alloy. J. Therm. Anal. Calorim. 2020, 139, 3405–3413. [Google Scholar] [CrossRef]
- Acar, E.; Kok, M.; Qader, I.N. Exploring surface oxidation behavior of NiTi–V alloys. Eur. Phys. J. 2020, 135, 58. [Google Scholar] [CrossRef]
- Yuan, K.J.; Wang, Y.; Zheng, L.J.; Zhang, H. Microstructural evolution, mechanical properties, and oxidation performance of highly Ni-rich NiTi alloys with added V using vacuum arc melting. J. Alloy. Compd. 2021, 877, 160263. [Google Scholar] [CrossRef]
- Pushin, V.G.; Khachin, V.N.; Ivanova, L.Y.; Voronin, V.P.; Yurchenko, L.I. The microstructure and phase transformations in ternary Ti50Ni50−xCox shape memory alloys: II. Rhombohedral martensite. Phys. Met. Metallogr. 1994, 77, 142–154. [Google Scholar]
- Qiu, A.; Liu, L.; Pang, W.; Lu, X.; Li, C. Calculation of phase diagram of Ti-Ni-O system and application to deoxidation of TiNi alloy. Trans. Nonferrous Met. Soc. China 2011, 21, 1808–1816. [Google Scholar] [CrossRef]
- Dudarev, E.F.; Valiev, R.Z.; Kolobov, Y.R.; Lotkov, A.I.; Pushin, V.G.; Bakach, G.P.; Gunderov, D.V.; Dyupin, A.P.; Kuranova, N.N. On the nature of anomalously high plasticity of high-strength titanium nickelide alloys with shape-memory effects: II. Mechanisms of plastic deformation upon isothermal loading. Phys. Met. Metallogr. 2009, 107, 298–311. [Google Scholar] [CrossRef]
















| Structural Component | Composition, at.% | ||
|---|---|---|---|
| Ti (±0.2) | Ni (±0.1) | V (±0.1) | |
| TiNi(V) matrix | 49.85 | 48.88 | 1.27 |
| Ti2Ni particles | 60.38 | 39.62 | - |
| TiNiV particles | 33.27 | 32.87 | 33.86 |
| TiNi eutectic | 40.5 | 59.95 | - |
| Structural Component | Composition, at.% | |||
|---|---|---|---|---|
| Ti (±0.2) | Ni (±0.1) | V (±0.1) | O (±0.2) | |
| TiNi(V) matrix | 47.66 | 50.06 | 2.28 | - |
| TiNi(V) dendrites | 58.64 | 40.26 | 1.1 | - |
| Ti2Ni(V) particles | 63.43 | 35.88 | 0.69 | - |
| TiNiV particles | 36.43 | 33.25 | 30.32 | - |
| Ti4Ni2O(V) particles | 59.16 | 30.5 | 1.23 | 9.11 |
| Segregation phase TiNi(V) | 51.81 | 45.77 | 0.24 | - |
| Structural Component | Composition, at.% | ||
|---|---|---|---|
| Ti (±0.2) | Ni (±0.1) | V (±0.1) | |
| TiNi(V) matrix | 47.17 | 49.56 | 3.27 |
| Ti2Ni(V) particles | 65.65 | 33.52 | 0.83 |
| TiNiV particles | 36.41 | 31.33 | 32.26 |
| SME Parameters | Content V, at.% | ||
|---|---|---|---|
| 1 | 2 | 4 | |
| MS (K) | 325 ± 5 | 323 ± 5 | 298 ± 5 |
| Mf (K) | 300 ± 5 | 224 ± 5 | 153 ± 5 |
| AS (K) | 345 ± 5 | 324 ± 5 | 322 ± 5 |
| Af (K) | 405 ± 5 | 450 ± 5 | 470 ± 5 |
| εrevcool (%) * | 2.1 ± 0.1 | 2.8 ± 0.1 | 4.1 ± 0.1 |
| εrevheat (%) * | 2.1 ± 0.1 | 2.8 ± 0.1 | 4.0 ± 0.1 |
| εresid (%) * | - | - | 0.1 |
| ΔH (K) | 41 ± 5 | 65 ± 5 | 64 ± 5 |
| Alloy | Relations between the Intervals of Direct and Reverse MT | Relationships between Hysteresis Loop Widths from Thermal Cycling | MS − Mf, K | ∆H1, K | ∆H5, K | ∆H10, K |
|---|---|---|---|---|---|---|
| 1 | (Ms − Mf) < (Af − As) | ∆H1 < ∆H5 < ∆H10 | 25 ± 5 | 41 ± 5 | 44 ± 5 | 48 ± 5 |
| 2 | (Ms − Mf) < (Af − As) | ∆H1 < ∆H5 < ∆H10 | 99 ± 5 | 65 ± 5 | 67 ± 5 | 76 ± 5 |
| 3 | (Ms − Mf)~(Af − As) | ∆H1~∆H5~∆H10 | 145 ± 5 | 64 ± 5 | 65 ± 5 | 65 ± 5 |
Publisher’s Note: MDPI stays neutral with regard to jurisdictional claims in published maps and institutional affiliations. |
© 2022 by the authors. Licensee MDPI, Basel, Switzerland. This article is an open access article distributed under the terms and conditions of the Creative Commons Attribution (CC BY) license (https://creativecommons.org/licenses/by/4.0/).
Share and Cite
Marchenko, E.; Monogenov, A.; Klopotov, A.; Baigonakova, G.; Chudinova, E.; Vorozhtsov, A.; Sokolov, S. Phase Composition, Microstructure, Multiple Shape Memory Effect of TiNi50−xVx (x = 1; 2; 4 at.%) System Alloys. Materials 2022, 15, 8359. https://doi.org/10.3390/ma15238359
Marchenko E, Monogenov A, Klopotov A, Baigonakova G, Chudinova E, Vorozhtsov A, Sokolov S. Phase Composition, Microstructure, Multiple Shape Memory Effect of TiNi50−xVx (x = 1; 2; 4 at.%) System Alloys. Materials. 2022; 15(23):8359. https://doi.org/10.3390/ma15238359
Chicago/Turabian StyleMarchenko, Ekaterina, Alexander Monogenov, Anatoly Klopotov, Gulsharat Baigonakova, Ekaterina Chudinova, Alexander Vorozhtsov, and Sergei Sokolov. 2022. "Phase Composition, Microstructure, Multiple Shape Memory Effect of TiNi50−xVx (x = 1; 2; 4 at.%) System Alloys" Materials 15, no. 23: 8359. https://doi.org/10.3390/ma15238359
APA StyleMarchenko, E., Monogenov, A., Klopotov, A., Baigonakova, G., Chudinova, E., Vorozhtsov, A., & Sokolov, S. (2022). Phase Composition, Microstructure, Multiple Shape Memory Effect of TiNi50−xVx (x = 1; 2; 4 at.%) System Alloys. Materials, 15(23), 8359. https://doi.org/10.3390/ma15238359

