Design Suggestions on Resistance from Flange of Sorbite Stainless Steel Plate Girder under Shear
Abstract
1. Introductions
2. Finite Element Analysis
2.1. Mechanical Property
2.2. Numerical Method
2.3. Numerical Model Validation
2.4. Specimen Dimensions
2.5. Effect of Strain Hardening
3. Current Design Method
4. FEA Results Discussion
4.1. Failure Behavior
4.2. Separation between Vbw,Rd and Vbf,Rd
4.3. Verification of EN 1993-1-4+A1 Formula
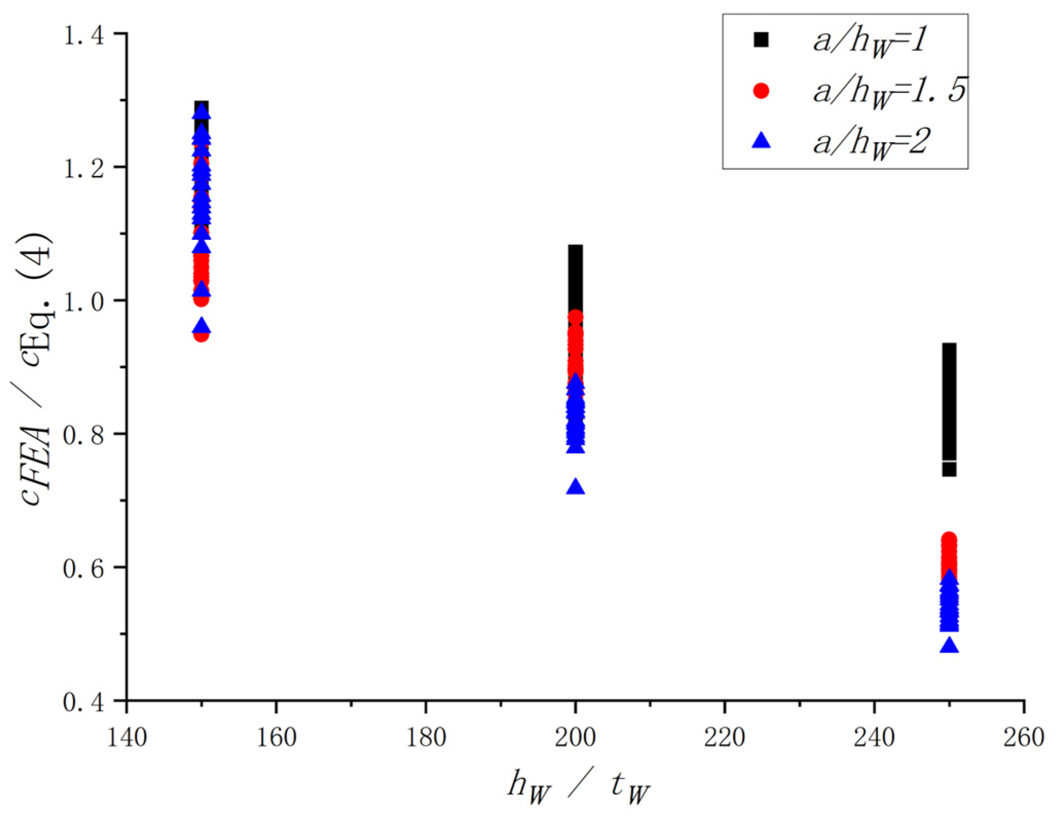
4.4. Influence of the Depth Ratio hw/tw and Aspect Ratio a/hw
4.5. Influence of Ratio MEd/Mf,k
5. Modification for Design Equation in EN 1993-1-4+A1
6. Conclusions
Author Contributions
Funding
Institutional Review Board Statement
Acknowledgments
Conflicts of Interest
References
- Baddoo, N.R. Stainless steel in construction: A review of research, applications, challenges and opportunities. J. Constr. Steel Res. 2008, 64, 1199–1206. [Google Scholar] [CrossRef]
- Estrada, I.; Real, E.; Mirambell, E. General behaviour and effect of rigid and non-rigid end post in stainless steel plate girders loaded in shear. Part I: Experimental study. J. Constr. Steel Res. 2007, 63, 970–984. [Google Scholar] [CrossRef]
- Liu, G.; Hua, J.; Wang, N.; Deng, W.; Xue, X. Material Alternatives for Concrete Structures on Remote Islands: Based on Life-Cycle-Cost Analysis. Adv. Civ. Eng. 2022, 2022, 7329408. [Google Scholar] [CrossRef]
- Wang, F.; Hua, J.; Xue, X.; Ding, Z.; Lyu, Y.; Liu, Q. Low-cycle fatigue performance of bimetallic steel bar considering the effect of inelastic buckling. Constr. Build. Mater. 2022, 351, 128787. [Google Scholar] [CrossRef]
- Hua, J.; Wang, F.; Xue, X.; Ding, Z.; Chen, Z. Residual monotonic mechanical properties of bimetallic steel bar with fatigue damage. J. Build. Eng. 2022, 55, 104703. [Google Scholar] [CrossRef]
- Hua, J.; Yang, Z.; Wang, F.; Xue, X.; Wang, N.; Huang, L. Relation between the Metallographic Structure and Mechanical Properties of a Bimetallic Steel Bar after Fire. J. Mater. Civ. Eng. 2022, 34, 04022193. [Google Scholar] [CrossRef]
- Hua, J.; Xue, X.; Huang, Q.; Shi, Y.; Deng, W. Post-fire performance of high-strength steel plate girders developing post-buckling capacity. J. Build. Eng. 2022, 52, 104442. [Google Scholar] [CrossRef]
- Shi, Y.; Luo, Z.; Zhou, X.; Xue, X.; Xiang, Y. Post-fire performance of bonding interface in explosion-welded stainless-clad bimetallic steel. J. Constr. Steel Res. 2022, 193, 107285. [Google Scholar] [CrossRef]
- Shi, Y.; Luo, Z.; Zhou, X.; Xue, X.; Li, J. Post-fire mechanical properties of titanium–clad bimetallic steel in different cooling approaches. J. Constr. Steel Res. 2022, 191, 107169. [Google Scholar] [CrossRef]
- Wang, F.; Hua, J.; Xue, X.; Wang, N.; Yao, Y. Effects of Polyoxymethylene Fiber on Mechanical Properties of Seawater Sea-Sand Concrete with Different Ages. Polymers 2022, 14, 3472. [Google Scholar] [CrossRef]
- Hua, J.; Yang, Z.; Xue, X.; Huang, L.; Wang, N.; Chen, Z. Bond properties of bimetallic steel bar in seawater sea-sand concrete at different ages. Constr. Build. Mater. 2022, 323, 126539. [Google Scholar] [CrossRef]
- Su, A.; Sun, Y.; Liang, Y.; Zhao, O. Material properties and membrane residual stresses of S690 high strength steel welded I-sections after exposure to elevated temperatures. Thin-Walled Struct. 2020, 152, 106723. [Google Scholar] [CrossRef]
- Arrayago, I.; Real, E.; Gardner, L. Description of stress–strain curves for stainless steel alloys. Mater. Des. 2015, 87, 540–552. [Google Scholar] [CrossRef]
- Zhou, F.; Young, B. Cold-Formed High-Strength Stainless Steel Tubular Sections Subjected to Web Crippling. J. Struct. Eng. 2007, 133, 368–377. [Google Scholar] [CrossRef]
- Zhou, F.; Li, L. Experimental study on hysteretic behavior of structural stainless steels under cyclic loading. J. Constr. Steel Res. 2016, 122, 94–109. [Google Scholar] [CrossRef]
- Zhou, F.; Chen, Y.; Young, B. Cold-formed high strength stainless steel cross-sections in compression considering interaction effects of constituent plate elements. J. Constr. Steel Res. 2013, 80, 32–41. [Google Scholar] [CrossRef]
- Hai, L.; Ban, H. Full-range stress-strain relation of stainless-clad bimetallic steel: Constitutive modelling. J. Build. Eng. 2022, 57, 104868. [Google Scholar] [CrossRef]
- Hua, J.; Wang, F.; Xiang, Y.; Yang, Z.; Xue, X.; Huang, L.; Wang, N. Mechanical properties of stainless-clad bimetallic steel bars exposed to elevated temperatures. Fire Saf. J. 2022, 127, 103521. [Google Scholar] [CrossRef]
- Hua, J.; Fan, H.; Yan, W.; Wang, N.; Xue, X.; Huang, L. Seismic resistance of the corroded bimetallic steel bar under different strain amplitudes. Constr. Build. Mater. 2022, 319, 126088. [Google Scholar] [CrossRef]
- Hua, J.; Wang, F.; Yang, Z.; Xue, X.; Huang, L.; Chen, Z. Low-cycle fatigue properties of bimetallic steel bars after exposure to elevated temperature. J. Constr. Steel Res. 2021, 187, 106959. [Google Scholar] [CrossRef]
- Hua, J.; Fan, H.; Xue, X.; Wang, F.; Chen, Z.; Huang, L.; Wang, N. Tensile and low-cycle fatigue performance of bimetallic steel bars with corrosion. J. Build. Eng. 2021, 43, 103188. [Google Scholar] [CrossRef]
- Hua, J.; Wang, F.; Huang, L.; Wang, N.; Xue, X. Experimental study on mechanical properties of corroded stainless-clad bimetallic steel bars. Constr. Build. Mater. 2021, 287, 123019. [Google Scholar] [CrossRef]
- Zhou, F.; Huang, L.; Li, H.-T. Cold-formed stainless steel SHS and RHS columns subjected to local-flexural interactive buckling. J. Constr. Steel Res. 2021, 188, 106999. [Google Scholar] [CrossRef]
- Zhou, F.; Long, G. Element interaction of cold-formed stainless steel cross-sections subjected to major axis bending. J. Constr. Steel Res. 2016, 118, 22–40. [Google Scholar] [CrossRef]
- Zhou, F.; Young, B. Web crippling behaviour of cold-formed duplex stainless steel tubular sections at elevated temperatures. Eng. Struct. 2013, 57, 51–62. [Google Scholar] [CrossRef]
- Zhou, F.; Ling, Y.; Huang, P. Tests of carbon fibre–reinforced polymer strengthened cold-formed stainless steel tubular sections subjected to web crippling. Adv. Struct. Eng. 2016, 19, 1755–1768. [Google Scholar] [CrossRef]
- Zheng, B.; Yang, S.; Jin, X.; Shu, G.; Dong, S.; Jiang, Q. Test on residual stress distribution of welded S600E high-strength stainless steel sections. J. Constr. Steel Res. 2020, 168, 105994. [Google Scholar] [CrossRef]
- Xue, X.Y.; Zhou, X.; Shi, Y.; Xiang, Y. Ultimate shear resistance of S600E high-strength stainless steel plate girders. J. Constr. Steel Res. 2021, 179, 106535. [Google Scholar] [CrossRef]
- Xiao, Y.; Xue, X.Y.; Sun, F.F.; Li, G.Q. Postbuckling shear capacity of high-strength steel plate girders. J. Constr. Steel Res. 2018, 150, 475–490. [Google Scholar] [CrossRef]
- Xiao, Y.; Xue, X.Y.; Sun, F.F.; Li, G.Q. Intermediate transverse stiffener requirements of high-strength steel plate girders considering postbuckling capacity. Eng. Struct. 2019, 196, 109289. [Google Scholar] [CrossRef]
- Saliba, N.; Gardner, L. Experimental study of the shear response of lean duplex stainless steel plate girders. Eng. Struct. 2013, 46, 375–391. [Google Scholar] [CrossRef]
- EN 1993–1–4: 2006+A1; Eurocode 3: Design of Steel Structures–Part 1.4: General Rules–Supplementary Rules for Stainless Steels. European Committee for Standardization: Brussels, Belgium, 2015.
- Kwon, Y.B.; Ryu, S.W. The shear strength of end web panels of plate girders with tension field action. Thin-Walled Struct. 2016, 98, 578–591. [Google Scholar] [CrossRef]
- Basler, K. Strength of plate girders in shear. J. Struct. Div. 1961, 128, 151–180. [Google Scholar] [CrossRef]
- Wilson, J.M. On Specifications for Strength of Iron Bridges. Trans. Am. Soc. Civ. Eng. 1886, 15, 389–414. [Google Scholar] [CrossRef]
- Zhou, F.; Young, B.; Lam, H.-C. Welded aluminum alloy plate girders subjected to shear force. J. Adv. Steel Constr. 2012, 8, 71–94. [Google Scholar] [CrossRef]
- EN 1993–1–5; Eurocode 3: Design of Steel Structures–Part 1.5: Plated Structural Elements. European Committee for Standardization: Brussels, Belgium, 2010.
- Höglund, T. Shear buckling resistance of steel and aluminium plate girders. Thin-Walled Struct. 1997, 29, 13–30. [Google Scholar] [CrossRef]
- Olsson, A. Stainless Steel Plasticity–Material Modelling and Structural Applications; Luleå University of Technology: Luleå, Sweden, 2001. [Google Scholar]
- Saliba, N.; Real, E.; Gardner, L. Shear design recommendations for stainless steel plate girders. Eng. Struct. 2014, 59, 220–228. [Google Scholar] [CrossRef]
- Mansour, W.; Sakr, M.A.; Seleemah, A.A.; Tayeh, B.A.; Khalifa, T.M. Bond behavior between concrete and prefabricated Ultra High-Performance Fiber-Reinforced Concrete (UHPFRC) plates. Struct. Eng. Mech. 2022, 81, 305–316. [Google Scholar] [CrossRef]
- Mansour, W. Numerical analysis of the shear behavior of FRP-strengthened continuous RC beams having web openings. Eng. Struct. 2020, 227, 111451. [Google Scholar] [CrossRef]
- Baraghith, A.T.; Mansour, W.; Behiry, R.N.; Fayed, S. Effectiveness of SHCC strips reinforced with glass fiber textile mesh layers for shear strengthening of RC beams: Experimental and numerical assessments. Constr. Build. Mater. 2022, 327, 127036. [Google Scholar] [CrossRef]
- Hamoda, A.; Emara, M.; Mansour, W. Behavior of steel I-beam embedded in normal and steel fiber reinforced concrete incorporating demountable bolted connectors. Compos. Part B Eng. 2019, 174, 106996. [Google Scholar] [CrossRef]
- Mansour, W.; Tayeh, B.A.; Tam, L.-H. Finite element analysis of shear performance of UHPFRC-encased steel composite beams: Parametric study. Eng. Struct. 2022, 271, 114940. [Google Scholar] [CrossRef]
- Hua, J.; Wang, F.; Xue, X. Study on fatigue properties of post-fire bimetallic steel bar with different cooling methods. Structures 2022, 40, 633–645. [Google Scholar] [CrossRef]
- Hua, J.; Wang, F.; Xue, X.; Fan, H.; Yan, W. Fatigue properties of bimetallic steel bar: An experimental and numerical study. Eng. Fail. Anal. 2022, 136, 106212. [Google Scholar] [CrossRef]
- Hua, J.; Wang, F.; Xue, X.; Ding, Z.; Sun, Y.; Xiao, L. Ultra-low cycle fatigue performance of Q690 high-strength steel after exposure to elevated temperatures. J. Build. Eng. 2022, 57, 104832. [Google Scholar] [CrossRef]
- Zhou, X.; Xue, X.; Shi, Y.; Xu, J. Post-fire mechanical properties of Q620 high-strength steel with different cooling methods. J. Constr. Steel Res. 2021, 180, 106608. [Google Scholar] [CrossRef]
- Hua, J.; Yang, Z.; Zhou, F.; Hai, L.; Wang, N.; Wang, F. Effects of exposure temperature on low–cycle fatigue properties of Q690 high–strength steel. J. Constr. Steel Res. 2022, 190, 107159. [Google Scholar] [CrossRef]
- Hassanein, M. Imperfection analysis of austenitic stainless steel plate girders failing by shear. Eng. Struct. 2010, 32, 704–713. [Google Scholar] [CrossRef]
- Choi, Y.S.; Kim, D.; Lee, S.C. Ultimate shear behavior of web panels of HSB800 plate girders. Constr. Build. Mater. 2015, 101, 828–837. [Google Scholar] [CrossRef]
- AASHTO/AWS, ANSI/AASHTO/AWS D1.5M/D1.5:2002; Bridge Welding Code. American Association of State Highway and Transportation Officials, Inc.: Washington, DC, USA; American Welding Society: Miami, FL, USA, 2002.
- Chen, X.; Yuan, H.; Real, E.; Du, X.; Schafer, B. Experimental behaviour of stainless steel plate girders under combined bending and shear. J. Constr. Steel Res. 2019, 166, 105900. [Google Scholar] [CrossRef]
- Dos Santos, G.; Gardner, L. Design recommendations for stainless steel I-sections under concentrated transverse loading. Eng. Struct. 2019, 204, 109810. [Google Scholar] [CrossRef]
- Xiao, L.; Hua, J.; Li, H.; Xue, X.; Wang, N.; Wang, F. Quantitative analysis on post–fire–resistant performance of high–strength steel plate girders using LSTM. J. Constr. Steel Res. 2022, 199, 107588. [Google Scholar] [CrossRef]






















| Type | C | Si | Mn | P | S | Cr | Ni | Alt | Mo | Ti | Cu | Nb | V |
|---|---|---|---|---|---|---|---|---|---|---|---|---|---|
| S600E sorbite stainless steel | 0.09 | 0.47 | 0.79 | 0.077 | 0.004 | 13.43 | 1.46 | – | – | – | – | – | – |
| S30408 austenitic stainless steel | ≤0.08 | ≤0.75 | ≤2.0 | ≤0.045 | ≤0.03 | 18–20 | 8–10.5 | – | – | – | – | – | – |
| Q235 mild steel | 0.16 | 0.14 | 0.53 | 0.031 | 0.026 | 0.014 | 0.014 | – | – | – | – | – | – |
| Q690 high-strength steel | 0.148 | 0.27 | 1.23 | 0.016 | 0.004 | 0.17 | 0.01 | 0.38 | 0.129 | 0.017 | 0.01 | 0.02 | 0.001 |
| Number | L/mm | hw/mm | bf/mm | a/hw | N × e/mm | ts/mm |
|---|---|---|---|---|---|---|
| P1-1-150 | 1850 | 750 | 200 | 1 | 0 × 375 | 20 |
| P2-1-150 | 2600 | 750 | 200 | 1 | 2 × 375 | 20 |
| P3-1-150 | 3350 | 750 | 200 | 1 | 4 × 375 | 20 |
| P4-1-150 | 4100 | 750 | 200 | 1 | 6 × 375 | 20 |
| P5-1-150 | 4850 | 750 | 200 | 1 | 8 × 375 | 20 |
| P6-1-150 | 5600 | 750 | 200 | 1 | 10 × 375 | 20 |
| P7-1-150 | 6350 | 750 | 200 | 1 | 12 × 375 | 20 |
| P8-1-150 | 7100 | 750 | 200 | 1 | 14 × 375 | 20 |
| P9-1-150 | 7850 | 750 | 200 | 1 | 16 × 375 | 20 |
| P10-1-150 | 8600 | 750 | 200 | 1 | 18 × 375 | 20 |
| P11-1-150 | 9350 | 750 | 200 | 1 | 20 × 375 | 20 |
| Number | tf/mm |
|---|---|
| P1-1-150~P11-1-150 | 30/35/40 |
| P1-1.5-150~P10-1.5-150 | 30/35/40 |
| P1-2-150~P9-2-150 | 25/30/35 |
| P1-1-200~P11-1-200 | 30/35/40 |
| P1-1.5-200~P10-1.5-200 | 22/24/26 |
| P1-2-200~P9-2-200 | 18/20/22 |
| P1-1-250~P11-1-250 | 20/25/30 |
| P1-1.5-250~P10-1.5-250 | 14/15/16 |
| P1-2-250~P9-2-250 | 13/14/15 |
| Number | Vb.Rd/kN | MEd/Mf,k | Vbf.Rd/kN | cFEA/mm | cEq. (5)/mm |
|---|---|---|---|---|---|
| P1-1.5-150-40 | 1114.51 | 0.395 | 303.10 | 486.90 | 639.25 |
| P2-1.5-150-40 | 1074.25 | 0.498 | 262.84 | 500.67 | 639.25 |
| P3-1.5-150-40 | 1034.43 | 0.591 | 223.02 | 509.91 | 639.25 |
| P4-1.5-150-40 | 994.15 | 0.676 | 182.74 | 519.29 | 639.25 |
| P5-1.5-150-40 | 956.73 | 0.755 | 145.32 | 517.98 | 639.25 |
| P6-1.5-150-40 | 919.68 | 0.825 | 108.26 | 515.00 | 639.25 |
| P7-1.5-150-40 | 883.86 | 0.889 | 72.45 | 505.46 | 639.25 |
| P8-1.5-150-40 | 848.72 | 0.946 | 37.31 | 493.06 | 639.25 |
| P9-1.5-150-40 | 814.29 | 0.996 | 2.88 | 487.83 | 639.25 |
| P10-1.5-150-40 | 781.90 | 1.041 | - | - | - |
Publisher’s Note: MDPI stays neutral with regard to jurisdictional claims in published maps and institutional affiliations. |
© 2022 by the authors. Licensee MDPI, Basel, Switzerland. This article is an open access article distributed under the terms and conditions of the Creative Commons Attribution (CC BY) license (https://creativecommons.org/licenses/by/4.0/).
Share and Cite
Xue, X.; Wang, N.; Huang, L.; Hua, J.; Wang, F.; Chen, Z.; Liao, J.; Hai, L. Design Suggestions on Resistance from Flange of Sorbite Stainless Steel Plate Girder under Shear. Materials 2022, 15, 8069. https://doi.org/10.3390/ma15228069
Xue X, Wang N, Huang L, Hua J, Wang F, Chen Z, Liao J, Hai L. Design Suggestions on Resistance from Flange of Sorbite Stainless Steel Plate Girder under Shear. Materials. 2022; 15(22):8069. https://doi.org/10.3390/ma15228069
Chicago/Turabian StyleXue, Xuanyi, Neng Wang, Lepeng Huang, Jianmin Hua, Fei Wang, Zengshun Chen, Ji Liao, and Letian Hai. 2022. "Design Suggestions on Resistance from Flange of Sorbite Stainless Steel Plate Girder under Shear" Materials 15, no. 22: 8069. https://doi.org/10.3390/ma15228069
APA StyleXue, X., Wang, N., Huang, L., Hua, J., Wang, F., Chen, Z., Liao, J., & Hai, L. (2022). Design Suggestions on Resistance from Flange of Sorbite Stainless Steel Plate Girder under Shear. Materials, 15(22), 8069. https://doi.org/10.3390/ma15228069

