Study of Electric and Magnetic Properties of Iron-Modified MFI Zeolite Prepared by a Mechanochemical Method
Abstract
:1. Introduction
2. Materials and Methods
3. Results and Discussion
3.1. X-ray Diffraction
3.2. Scanning Electron Microscopy and Energy Dispersive Spectroscopy
3.3. Inductively Coupled Plasma—Optical Emission Spectrometry
3.4. BET Analysis
3.5. XPS Analysis
3.6. Band-Gap Analysis
3.7. Electrochemical Impedance Spectroscopy
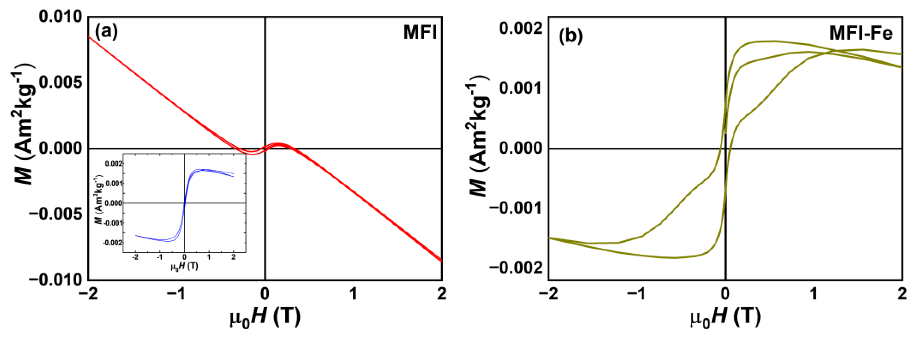
3.8. Magnetic Characterization
4. Conclusions
Author Contributions
Funding
Data Availability Statement
Acknowledgments
Conflicts of Interest
References
- Derbe, T.; Temesgen, S.; Bitew, M.A. Short Review on Synthesis, Characterization, and Applications of Zeolites. Adv. Mater. Sci. Eng. 2021, 2021, 6637898. [Google Scholar] [CrossRef]
- Yue, B.; Liu, S.S.; Chai, Y.C.; Wu, G.J.; Guan, N.J.; Li, L.D. Zeolites for separation: Fundamental and application. J. Energy Chem. 2022, 71, 288–303. [Google Scholar] [CrossRef]
- Villa, C.C.; Ortega-Toro, R.; Ahmed, S.; Gutierrez, T.J.; Valencia, G.A.; Cordoba, A.L. Zeolites for food applications: A review. Food Biosci. 2022, 46, 101577. [Google Scholar] [CrossRef]
- Li, Y.; Yu, J.H. Emerging applications of zeolites in catalysis, separation and host-guest assembly. Nat. Rev. Mater. 2021, 6, 1156–1174. [Google Scholar] [CrossRef]
- Sun, Q.M.; Wang, N.; Yu, J.H. Advances in Catalytic Applications of Zeolite-Supported Metal Catalysts. Adv. Mater. 2021, 33, 2104442. [Google Scholar] [CrossRef] [PubMed]
- Van der Mynsbrugge, J.; Bell, A.T. Challenges for the theoretical description of the mechanism and kinetics of reactions catalyzed by zeolites. J. Catal. 2021, 404, 832–849. [Google Scholar] [CrossRef]
- Murrieta-Rico, F.N.; Petranovskii, V.; Galván, D.H.; Antúnez-García, J.; Sergiyenko, O.; Lindner, L.; Rivas-Lopez, M.; Grishin, M.; Sarvadii, S. Basic Aspects in the Application of QCMs as Sensors: A Tutorial. IEEE Sens. J. 2022, 22, 10163–10172. [Google Scholar] [CrossRef]
- Database of Zeolite Structures. Available online: http://www.izastructure.org/databases (accessed on 31 August 2021).
- Lei, Q.F.; Wang, C.; Dai, W.L.; Wu, G.J.; Guan, N.J.; Li, L.D. Multifunctional heteroatom zeolites: Construction and applications. Front. Chem. Sci. Eng. 2021, 15, 1462–1486. [Google Scholar] [CrossRef]
- Yabushita, M.; Osuga, R.; Muramatsu, A. Control of location and distribution of heteroatoms substituted isomorphously in framework of zeolites and zeotype materials. CrystEngComm 2021, 23, 6226–6233. [Google Scholar] [CrossRef]
- Zhang, J.; Tang, X.; Yi, H.; Yu, Q.; Zhang, Y.; Wei, J.; Yuan, Y. Synthesis, characterization and application of Fe-zeolite: A review. Appl. Catal. A Gen. 2022, 630, 118467. [Google Scholar] [CrossRef]
- Loiola, A.R.; Bessa, R.A.; Oliveira, C.P.; Freitas, A.D.; Soares, S.A.; Bohn, F.; Pergher, S.B. Magnetic zeolite composites: Classification, synthesis routes, and technological applications. J. Magn. Magn. Mater. 2022, 560, 169651. [Google Scholar] [CrossRef]
- Oliveira Guidolin, T.D.; Cechinel, M.A.P.; Arcaro, S. Iron-Based Nanomaterials for Fenton Reaction. In Environmental Applications of Nanomaterials; Springer: Berlin/Heidelberg, Germany, 2022; pp. 133–152. [Google Scholar]
- Parthasarathy, M.; Mohan, C.N. Catalytic applications of iron oxide nanoparticles. In Iron Oxide Nanoparticles and Their Applications; Nova Science Publishers: Hauppauge, NY, USA, 2021; pp. 257–287. [Google Scholar]
- Pereira, M.C.; Oliveira, L.C.A.; Murad, E. Iron oxide catalysts: Fenton and Fenton-like reactions—A review. Clay Miner. 2012, 47, 285–302. [Google Scholar] [CrossRef]
- Liu, Q.; Bian, C.; Ming, S.; Guo, L.; Zhang, S.; Pang, L.; Liu, P.; Chen, Z.; Li, T. The opportunities and challenges of iron-zeolite as NH3-SCR catalyst in purification of vehicle exhaust. Appl. Catal. A Gen. 2020, 607, 117865. [Google Scholar] [CrossRef]
- Heinrich, F.; Schmidt, C.; Löffler, E.; Grünert, W. A highly active intra-zeolite iron site for the selective catalytic reduction of NO by isobutane. Catal. Commun. 2001, 2, 317–321. [Google Scholar] [CrossRef]
- Yocupicio-Gaxiola, R.I.; Petranovskii, V.; Antúnez-García, J.; Zepeda, T.A.; Fuentes, S. Effect of alkalinity variation in gel composition developed for hierarchical ZSM-5 growth: Conversion of ZSM-5 to mordenite. Rev. Mex. Ing. Quím. 2018, 17, 1159–1172. [Google Scholar] [CrossRef]
- Jones, J.B. Al–O and Si–O tetrahedral distances in aluminosilicate framework structures. Acta Crystallogr. Sect. B Struct. Crystallogr. Cryst. Chem. 1968, 24, 355–358. [Google Scholar] [CrossRef]
- García-Sosa, A.T.; Castro, M. Density functional study of FeO2, FeO2+ and FeO2−. Int. J. Quantum Chem. 2000, 80, 307–319. [Google Scholar] [CrossRef]
- Belviso, C.; Agostinelli, E.; Belviso, S.; Cavalcante, F.; Pascucci, S.; Peddis, D.; Varvaro, G.; Fiore, S. Synthesis of magnetic zeolite at low temperature using a waste material mixture: Fly ash and red mud. Microporous Mesoporous Mater. 2015, 202, 208–216. [Google Scholar] [CrossRef]








| Sample | Crystallinity | (nm) |
|---|---|---|
| MFI | 93.55% | 19 |
| MFI-Fe | 98.12% | 15 |
| Sample | Al2O3 % Mole | SiO2 % Mole | Fe2O3 % Mole | NH4 % Mole | SiO2/Al2O3 Mole Ratio | SiO2/Fe2O3 Mole Ratio | SiO2/(Al2O3 + Fe2O3) Mole Ratio |
|---|---|---|---|---|---|---|---|
| MFI | 1.52 | 95.34 | 0.09 | 3.05 | 62.54 | 1045.49 | 59.01 |
| MFI-Fe | 1.55 | 94.67 | 0.70 | 3.09 | 61.25 | 136.02 | 42.23 |
| Sample | (cm3/g) | (m2/g) |
|---|---|---|
| MFI | 0.14 | 322 |
| MFI-Fe | 0.11 |
| Sample | |||
|---|---|---|---|
| MFI | 1 | ||
| MFI-Fe | 1 |
Publisher’s Note: MDPI stays neutral with regard to jurisdictional claims in published maps and institutional affiliations. |
© 2022 by the authors. Licensee MDPI, Basel, Switzerland. This article is an open access article distributed under the terms and conditions of the Creative Commons Attribution (CC BY) license (https://creativecommons.org/licenses/by/4.0/).
Share and Cite
Murrieta-Rico, F.N.; Antúnez-García, J.; Yocupicio-Gaxiola, R.I.; Zamora, J.; Reyes-Serrato, A.; Pestryakov, A.; Petranovskii, V. Study of Electric and Magnetic Properties of Iron-Modified MFI Zeolite Prepared by a Mechanochemical Method. Materials 2022, 15, 7968. https://doi.org/10.3390/ma15227968
Murrieta-Rico FN, Antúnez-García J, Yocupicio-Gaxiola RI, Zamora J, Reyes-Serrato A, Pestryakov A, Petranovskii V. Study of Electric and Magnetic Properties of Iron-Modified MFI Zeolite Prepared by a Mechanochemical Method. Materials. 2022; 15(22):7968. https://doi.org/10.3390/ma15227968
Chicago/Turabian StyleMurrieta-Rico, Fabian N., Joel Antúnez-García, Rosario I. Yocupicio-Gaxiola, Jonathan Zamora, Armando Reyes-Serrato, Alexey Pestryakov, and Vitalii Petranovskii. 2022. "Study of Electric and Magnetic Properties of Iron-Modified MFI Zeolite Prepared by a Mechanochemical Method" Materials 15, no. 22: 7968. https://doi.org/10.3390/ma15227968
APA StyleMurrieta-Rico, F. N., Antúnez-García, J., Yocupicio-Gaxiola, R. I., Zamora, J., Reyes-Serrato, A., Pestryakov, A., & Petranovskii, V. (2022). Study of Electric and Magnetic Properties of Iron-Modified MFI Zeolite Prepared by a Mechanochemical Method. Materials, 15(22), 7968. https://doi.org/10.3390/ma15227968

