Plasmon Damping Rates in Coulomb-Coupled 2D Layers in a Heterostructure
Abstract
1. Introduction
2. Theory
2.1. Silicene
2.2. Graphene
2.3. Polarization Function:
2.4. Damping Rate
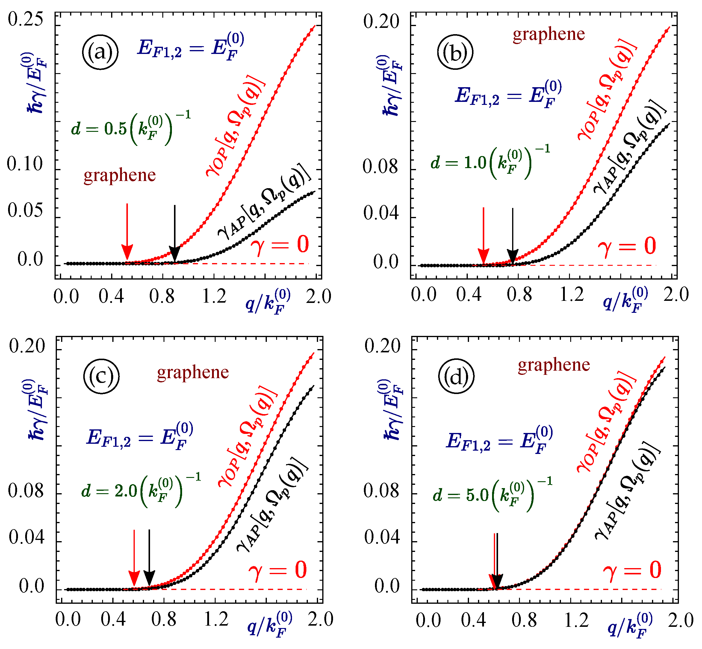
3. Numerical Results and Discussion
4. Concluding Remarks
Author Contributions
Funding
Institutional Review Board Statement
Informed Consent Statement
Data Availability Statement
Conflicts of Interest
References
- Vogt, P.; Padova, P.D.; Quaresima, C.; Avila, J.; Frantzeskakis, E.; Asensio, M.C.; Resta, A.; Ealet, B.; Lay, G.L. Silicene: Compelling experimental evidence for graphenelike two-dimensional silicon. Phys. Rev. Lett. 2012, 108, n155501. [Google Scholar] [CrossRef] [PubMed]
- Takeda, K.; Shiraishi, K. Theoretical possibility of stage corrugation in Si and Ge analogs of graphite. Phys. Rev. B 1994, 50, 14916. [Google Scholar] [CrossRef] [PubMed]
- Novoselov, K.S.; Geim, A.K.; Morozov, S.V.; Jiang, D.; Zhang, Y.; Dubonos, S.V.; Grigorieva, I.V.; Firsov, A.A. Electric field effect in atomically thin carbon films. Science 2004, 306, 666. [Google Scholar] [CrossRef] [PubMed]
- Ni, Z.; Liu, Q.; Tang, K.; Zheng, J.; Zhou, J.; Qin, R.; Gao, Z.; Yu, D.; Lu, J. Tunable bandgap in silicene and germanene. Nano Lett. 2012, 12, 113. [Google Scholar] [CrossRef]
- Drummond, N.D.; Zolyomi, V.; Fal’Ko, V.I. Electrically tunable band gap in silicene. Phys. Rev. B 2012, 85, 075423. [Google Scholar] [CrossRef]
- Liu, J.; Zhang, W. Bilayer silicene with an electrically-tunable wide band gap. RSC Adv. 2013, 3, 21943. [Google Scholar] [CrossRef]
- Kane, C.L.; Mele, E.J. Quantum spin Hall effect in graphene. Phys. Rev. Lett. 2005, 95, 226801. [Google Scholar] [CrossRef]
- Yao, Y.; Ye, F.; Qi, X.L.; Zhang, S.C.; Fang, Z. Spin-orbit gap of graphene: First-principles calculations. Phys. Rev. B 2007, 75, 041401. [Google Scholar] [CrossRef]
- Bao, W.S.; Liu, S.Y.; Lei, X.L.; Wang, C.M. Nonlinear dc transport in graphene. J. Phys. Condens. Matter 2009, 21, 305302. [Google Scholar] [CrossRef]
- Dora, B.; Moessner, R. Nonlinear electric transport in graphene: Quantum quench dynamics and the Schwinger mechanism. Phys. Rev. B 2010, 81, 165431. [Google Scholar] [CrossRef]
- Tian, S.; Wang, P.; Liu, X.; Zhu, J.; Fu, H.; Taniguchi, T.; Watanabe, K.; Chen, J.H.; Lin, X. Nonlinear transport of graphene in the quantum Hall regime. 2D Mater. 2016, 4, 015003. [Google Scholar] [CrossRef]
- Rosenstein, B.; Lewkowicz, M.; Kao, H.C.; Korniyenko, Y. Ballistic transport in graphene beyond linear response. Phys. Rev. B 2010, 81, 041416. [Google Scholar] [CrossRef]
- Dahal, D.; Gumbs, G. Effect of energy band gap in graphene on negative refraction through the veselago lens and electron conductance. Phys. Chem. Solids 2017, 100, 83–91. [Google Scholar] [CrossRef]
- Wakamura, T.; Gueron, S.; Bouchiat, H. Novel transport phenomena in graphene induced by strong spin-orbit interaction. arXiv 2021, arXiv:2112.07813. [Google Scholar] [CrossRef]
- Kim, W.Y.; Kim, K.S. Carbon nanotube, graphene, nanowire, and molecule-based electron and spin transport phenomena using the nonequilibrium Green’s function method at the level of first principles theory. J. Comp. Chem. 2008, 29, 1073–1083. [Google Scholar] [CrossRef] [PubMed]
- Yan, X.Z.; Romiah, Y.; Ting, C.S. Electric transport theory of Dirac fermions in graphene. Phys. Rev. B 2008, 77, 125409. [Google Scholar] [CrossRef]
- Gumbs, G.; Iurov, A.; Horing, N.J.M. Non-local plasma spectrum of graphene interacting with a thick conductor. Phys. Rev. B 2015, 91, 235416. [Google Scholar] [CrossRef]
- Gumbs, G.; Balassis, A.; Dahal, D.; Glasser, M.L. Thermal smearing and screening in a strong magnetic field for Dirac materials in comparison with the two dimensional electron liquid. Eur. Phys. J. B 2016, 89, 234. [Google Scholar] [CrossRef]
- Checkelsky, J.G.; Ong, N.P. Thermopower and Nernst effect in graphene in a magnetic field. Phys. Rev. B 2009, 80, 081413. [Google Scholar] [CrossRef]
- Nakamura, M. Orbital magnetism and transport phenomena in two-dimensional Dirac fermions in a weak magnetic field. Phys. Rev. B 2007, 76, 113301. [Google Scholar] [CrossRef]
- Yan, J.; Zhang, Y.; Kim, P.; Pinczuk, A. Electric field effect tuning of electron-phonon coupling in graphene. Phys. Rev. Lett. 2007, 98, 166802. [Google Scholar] [CrossRef] [PubMed]
- Yu, Y.J.; Zhao, Y.; Ryu, S.; Brus, L.E.; Kim, K.S.; Kim, P. Tuning the graphene work function by electric field effect. Nano Lett. 2009, 9, 3430. [Google Scholar] [CrossRef] [PubMed]
- Liu, X.; Li, Z. Electric field and strain effect on graphene-MoS2 hybrid structure: Ab initio calculations. J. Phys. Chem. Lett. 2015, 6, 3269. [Google Scholar] [CrossRef]
- Eletskii, A.V.; Iskandarova, I.M.; Knizhnik, A.A. Graphene fabrication methods and thermophysical properties. Physics-Uspekhi 2011, 54, 227. [Google Scholar] [CrossRef]
- Jia, X.; Campos-Delgado, J.; Terrones, M.; Meunier, V.; Dresselhaus, M.S. Graphene edges: A review of their fabrication and characterization. Nanoscale 2011, 3, 86. [Google Scholar] [CrossRef]
- Cai, J.; Ruffieux, P.; Jaafar, R.; Bieri, M.; Braun, T.; Blankenburg, S.; Muoth, M.; Seitsonen, A.P.; Saleh, M.; Feng, X.; et al. Atomically precise bottom-up fabrication of graphene nanoribbons. Nature 2010, 466, 470. [Google Scholar] [CrossRef]
- Aliofkhazraei, M.; Ali, N.; Milne, W.I.; Ozkan, C.S.; Mitura, S.; Gervasoni, J.L. (Eds.) Graphene Science Handbook: Fabrication Methods; CRC Press: Boca Raton, FL, USA, 2016. [Google Scholar]
- Dadkhah, N.; Vazifehshenas, T.; Farmanbar, M.; Salavati-Fard, T. A theoretical study of collective plasmonic excitations in double-layer silicene at finite temperature. J. App. Phys. 2019, 125, 104302. [Google Scholar] [CrossRef]
- Men, N.V. Plasmon modes in N-layer silicene structures. J. Phys. Cond. Matt. 2021, 34, 8. [Google Scholar] [CrossRef]
- De Abajo, F.J.G. Graphene plasmonics: Challenges and opportunities. ACS Phot. 2014, 1, 135. [Google Scholar] [CrossRef]
- Farmer, D.B.; Rodrigo, D.; Low, T.; Avouris, P. Plasmon-plasmon hybridization and bandwidth enhancement in nanostructured graphene. Nano Lett. 2015, 15, 2582–2587. [Google Scholar] [CrossRef]
- Gumbs, G.; Horing, N.J.; Iurov, A.; Dahal, D. Plasmon excitations for encapsulated graphene. J. Phys. App. Phys. 2016, 49, 225101. [Google Scholar] [CrossRef][Green Version]
- Iurov, A.; Zhemchuzhna, L.; Dahal, D.; Gumbs, G.; Huang, D. Quantum-statistical theory for laser-tuned transport and optical conductivities of dressed electrons in α-T3 materials. Phys. Rev. B 2020, 101, 035129. [Google Scholar] [CrossRef]
- Iurov, A.; Gumbs, G.; Huang, D.; Silkin, V.M. Plasmon dissipation in gapped graphene open systems at finite temperature. Phys. Rev. B 2016, 93, 035404. [Google Scholar] [CrossRef]
- Iurov, A.; Gumbs, G.; Huang, D.; Zhemchuzhna, L. Controlling plasmon modes and damping in buckled two-dimensional material open systems. J. Appl. Phys. 2017, 121, 084306. [Google Scholar] [CrossRef]
- Gumbs, G.; Iurov, A.; Wu, J.Y.; Lin, M.F.; Fekete, P. Plasmon excitations of multi-layer graphene on a conducting substrate. Sci. Rep. 2016, 6, 21063. [Google Scholar] [CrossRef] [PubMed]
- Dahal, D.; Gumbs, G.; Huang, D. Effect of strain on plasmons, screening, and energy loss in graphene/substrate contacts. Phys. Rev. B 2018, 98, 045427. [Google Scholar] [CrossRef]
- Iurov, A.; Zhemchuzhna, L.; Gumbs, G.; Huang, D.; Fekete, P.; Anwar, F.; Dahal, D.; Weekes, N. Tailoring plasmon excitations in α-T3 armchair nanoribbons. Sci. Rep. 2021, 11, 20577. [Google Scholar] [CrossRef]
- Raza, A.; Ikram, M.; Aqeel, M.; Imran, M.; Ul-Hamid, A.; Riaz, K.N.; Ali, S. Enhanced industrial dye degradation using Co doped in chemically exfoliated MoS2 nanosheets. Appl. Nanosci. 2020, 10, 1535–1544. [Google Scholar] [CrossRef]
- Ikram, M.; Ali, S.; Aqeel, M.; Ul-Hamid, A.; Imran, M.; Haider, J.; Haider, A.; Shahbaz, A.; Ali, S.X. Reduced graphene oxide nanosheets doped by Cu with highly efficient visible light photocatalytic behavior. J. Alloy. Compd. 2020, 837, 155588. [Google Scholar] [CrossRef]
- Dong-Thi, K.P.; Nguyen, V.M. Plasmonic Excitations in 4-MLG Structures: Background Dielectric Inhomogeneity Effects. J. Low Temp. Phys. 2022, 206, 51–62. [Google Scholar] [CrossRef]
- Calafell, I.A.; Cox, J.D.; Radonji, M.; Saavedra, J.R.M.; de Abajo, F.G.; Rozema, L.A.; Walther, P. Quantum computing with graphene plasmons. NPJ Quant. Inf. 2019, 5, 1–7. [Google Scholar]
- Hanson, G.W.; Gangaraj, S.H.; Lee, C.; Angelakis, D.G.; Tame, M. Quantum plasmonic excitation in graphene and loss-insensitive propagation. Phys. Rev. A 2015, 92, 013828. [Google Scholar] [CrossRef]
- Christensen, T.; Wang, W.; Jauho, A.P.; Wubs, M.; Mortensen, N.A. Classical and quantum plasmonics in graphene nanodisks: Role of edge states. Phys. Rev. B 2014, 90, 241414. [Google Scholar] [CrossRef]
- Esfandiari, M.; Jarchi, S.; Nasiri-Shehni, P.; Ghaffari-Miab, M. Enhancing the sensitivity of a transmissive graphene-based plasmonic biosensor. App. Opt. 2021, 60, 1201–1208. [Google Scholar] [CrossRef]
- Tong, J.; Jiang, L.; Chen, H.; Wang, Y.; Yong, K.T.; Forsberg, E.; He, S. Graphene-bimetal plasmonic platform for ultra-sensitive biosensing. Opt. Commun. 2018, 410, 817–823. [Google Scholar] [CrossRef]
- Hu, W.; Huang, Y.; Chen, C.; Liu, Y.; Guo, T.; Guan, B.O. Highly sensitive detection of dopamine using a graphene functionalized plasmonic fiber-optic sensor with aptamer conformational amplification. Sens. Actuat. Chem. 2018, 264, 440–447. [Google Scholar] [CrossRef]
- Andoy, N.M.; Filipiak, M.S.; Vetter, D.; Sanz, O.G.; Tarasov, A. Graphene-Based Electronic Immunosensor with Femtomolar Detection Limit in Whole Serum. Adv. Mat. Technol. 2018, 3, 1800186. [Google Scholar] [CrossRef]
- Viswanathan, S.; Narayanan, T.N.; Aran, K.; Fink, K.D.; Paredes, J.; Ajayan, P.M.; Renugopalakrishanan, V. Graphene-protein field effect biosensors: Glucose sensing. Mat. Today 2015, 18, 513–522. [Google Scholar] [CrossRef]
- Huang, A.; Li, W.; Shi, S.; Yao, T. Quantitative fluorescence quenching on antibody-conjugated graphene oxide as a platform for protein sensing. Sci. Rep. 2017, 7, 40772. [Google Scholar] [CrossRef]
- Goncalves, S.P.; Peres, N. I An introduction to Graphene Plasmonics; World Scientific: Singapore, 2016. [Google Scholar]
- Gumbs, G.; Dahal, D.; Balassis, A. Effect of Temperature and Doping on Plasmon Excitations for an Encapsulated Double-Layer Graphene Heterostructure. Phys. Stat. Solidi (b) 2018, 255, 1700342. [Google Scholar] [CrossRef]
- Hwang, E.H.; Sarma, S.D. Plasmon modes of spatially separated double-layer graphene. Phys. Rev. B 2009, 80, 205405. [Google Scholar] [CrossRef]
- Ezawa, M. A topological insulator and helical zero mode in silicene under an inhomogeneous electric field. New J. Phys. 2012, 14, 033003. [Google Scholar] [CrossRef]
- Tabert, C.J.; Nicol, E.J. Valley-spin polarization in the magneto-optical response of silicene and other similar 2D crystals. Phys. Rev. Lett. 2013, 110, 197402. [Google Scholar] [CrossRef] [PubMed]
- Neto, A.C.; Guinea, F.; Peres, N.M.; Novoselov, K.S.; Geim, A.K. The electronic properties of graphene. Rev. Mod. Phys. 2009, 81, 109. [Google Scholar] [CrossRef]
- Wunsch, B.; Stauber, T.; Sols, F.; Guinea, F. Dynamical polarization of graphene at finite doping. New J. Phys. 2006, 8, 318. [Google Scholar] [CrossRef]
- Balassis, A.; Dahal, D.; Gumbs, G.; Iurov, A.; Huang, D.; Roslyak, O. Magnetoplasmons for the α-T3 model with filled Landau levels. J. Phys. Cond. Matt. 2020, 32, 485301. [Google Scholar] [CrossRef] [PubMed]
- Roldan, R.; Goerbig, M.O.; Fuchs, J.N. The magnetic field particle-hole excitation spectrum in doped graphene and in a standard two-dimensional electron gas. Semicond. Sci. Technol. 2010, 25, 034005. [Google Scholar] [CrossRef]
- Patel, D.K.; Ashraf, S.S.; Sharma, A.C. Finite temperature dynamical polarization and plasmons in gapped graphene. Phys. Stat. Solidi (b) 2015, 252, 1817–1826. [Google Scholar] [CrossRef]
- Ramezanali, M.R.; Vazifeh, M.M.; Asgari, R.; Polini, M.; MacDonald, A.H. Finite-temperature screening and the specific heat of doped graphene sheets. J. Phys. Math. Theor. 2009, 42, 214015. [Google Scholar] [CrossRef]
- Tabert, C.J.; Nicol, E.J. Dynamical polarization function, plasmons, and screening in silicene and other buckled honeycomb lattices. Phys. Rev. B 2014, 89, 195410. [Google Scholar] [CrossRef]
- Pyatkovskiy, P.K. Dynamical polarization, screening, and plasmons in gapped graphene. J. Phys. Cond. Matt. 2008, 21, 025506. [Google Scholar] [CrossRef] [PubMed]
- Persson, B.N.J. Inelastic electron scattering from thin metal films. Solid State Commun. 1984, 52, 811–813. [Google Scholar] [CrossRef]
- Hwang, H.E.; Sarma, S.D. Dielectric function, screening, and plasmons in two-dimensional graphene. Phys. Rev. B 2007, 75, 205418. [Google Scholar] [CrossRef]
- Zhu, J.J.; Badalyan, S.M.; Peeters, F.M. Plasmonic excitations in Coulomb-coupled N-layer graphene structures. Phys. Rev. B 2013, 87, 085401. [Google Scholar] [CrossRef]
- Sarma, S.D.; Li, Q. Intrinsic plasmons in two-dimensional Dirac materials. Phys. Rev. B 2013, 87, 235418. [Google Scholar] [CrossRef]








Publisher’s Note: MDPI stays neutral with regard to jurisdictional claims in published maps and institutional affiliations. |
© 2022 by the authors. Licensee MDPI, Basel, Switzerland. This article is an open access article distributed under the terms and conditions of the Creative Commons Attribution (CC BY) license (https://creativecommons.org/licenses/by/4.0/).
Share and Cite
Dahal, D.; Gumbs, G.; Iurov, A.; Ting, C.-S. Plasmon Damping Rates in Coulomb-Coupled 2D Layers in a Heterostructure. Materials 2022, 15, 7964. https://doi.org/10.3390/ma15227964
Dahal D, Gumbs G, Iurov A, Ting C-S. Plasmon Damping Rates in Coulomb-Coupled 2D Layers in a Heterostructure. Materials. 2022; 15(22):7964. https://doi.org/10.3390/ma15227964
Chicago/Turabian StyleDahal, Dipendra, Godfrey Gumbs, Andrii Iurov, and Chin-Sen Ting. 2022. "Plasmon Damping Rates in Coulomb-Coupled 2D Layers in a Heterostructure" Materials 15, no. 22: 7964. https://doi.org/10.3390/ma15227964
APA StyleDahal, D., Gumbs, G., Iurov, A., & Ting, C.-S. (2022). Plasmon Damping Rates in Coulomb-Coupled 2D Layers in a Heterostructure. Materials, 15(22), 7964. https://doi.org/10.3390/ma15227964

