Application of Grazing-Incidence X-ray Methods to Study Terrace-Stepped SiC Surface for Graphene Growth
Abstract
1. Introduction
2. Materials and Methods
2.1. Sample Preparation
2.2. Experimental Methods and Techniques
3. Results and Discussion
3.1. AFM and TEM
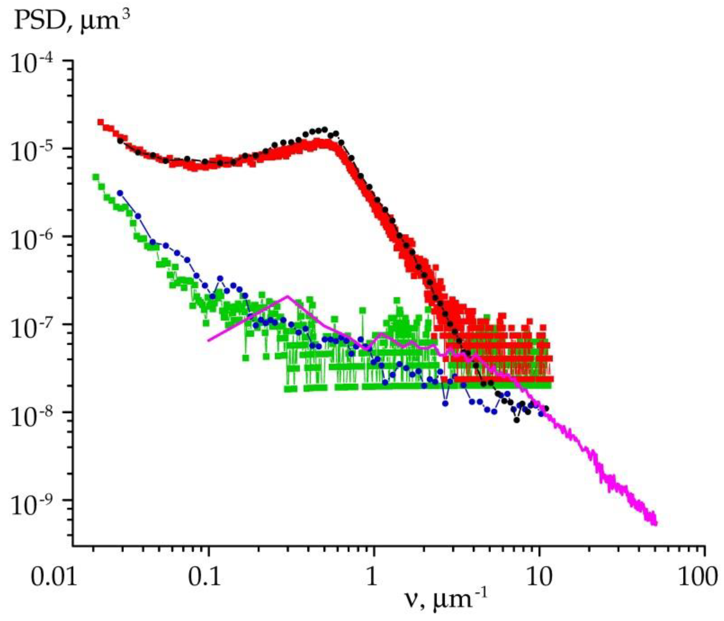
3.2. Grazing-Incidence X-ray Scattering and Reflectivity Measurements
4. Conclusions
Author Contributions
Funding
Institutional Review Board Statement
Informed Consent Statement
Data Availability Statement
Acknowledgments
Conflicts of Interest
References
- Rosei, F. Nanostructured surfaces: Challenges and frontiers in nanotechnology. J. Phys. Condens. Matter 2004, 16, S1373–S1436. [Google Scholar] [CrossRef]
- Nguyen, T.T.T.; Bonamy, D.; Pham Van, L.; Barbier, L.; Cousty, J. Coarsening of two-dimensional Al2O3 islands on vicinal (1,-1,0,2) sapphire surfaces during annealing in air. Surf. Sci. 2008, 602, 3232–3238. [Google Scholar] [CrossRef]
- Wang, J.; Howard, A.; Egdell, R.G.; Pethica, J.B.; Foord, J.S. Arrangement of rotational domains of the (root 31 × root 31) R9 reconstruction of Al2O3(0001) revealed by non-contact AFM. Surf. Sci. 2002, 515, 337–343. [Google Scholar] [CrossRef]
- Nakajima, A.; Yokoya, H.; Furukawa, Y.; Yonezu, H. Step control of vicinal 6H-SiC(0001) surface by H2 etching. J. Appl. Phys. 2005, 97, 104919. [Google Scholar] [CrossRef]
- Nakamura, S.; Kimoto, T.; Matsunami, H.; Tanaka, S.; Teraguchi, N.; Suzuki, A. Formation of periodic steps with a unit-cell height on 6H-SiC (0001) surface by HCl etching. Appl. Phys. Lett. 2000, 76, 3412–3414. [Google Scholar] [CrossRef]
- Yazdi, G.R.; Iakimov, T.; Yakimova, R. Epitaxial graphene on SiC: A review of growth and characterization. Crystals 2016, 6, 53. [Google Scholar] [CrossRef]
- Charrier, A.; Coati, A.; Argunova, T.; Thibaudau, F.; Garreau, Y.; Pinchaux, R.; Forbeaux, I.; Debever, J.M.; Sauvage-Simkin, M.; Themlin, J.M. Solid-state decomposition of silicon carbide for growing ultra-thin heteroepitaxial graphite films. J. Appl. Phys. 2002, 92, 2479–2481. [Google Scholar] [CrossRef]
- Berger, C.; Song, Z.; Li, T.; Li, X.; Ogbazghi, A.Y.; Feng, R.; Dai, Z.; Marchenko, A.N.; Conrad, E.H.; First, P.N.; et al. Ultrathin epitaxial graphite: 2D electron gas properties and a route toward graphene-based nanoelectronics. J. Phys. Chem. B 2004, 108, 19912–19916. [Google Scholar] [CrossRef]
- Emtsev, K.V.; Bostwick, A.; Horn, K.; Jobst, J.; Kellogg, G.L.; Ley, L.; McChesney, J.L.; Ohta, T.; Reshanov, S.A.; Rotenberg, E.; et al. Towards wafer-size graphene layers by atmospheric pressure graphitization of silicon carbide. Nat. Mater. 2009, 8, 203–207. [Google Scholar] [CrossRef]
- Virojanadara, C.; Syväjarvi, M.; Yakimova, R.; Johansson, L.I.; Zakharov, A.A.; Balasubramanian, T. Homogeneous large-area graphene layer growth on 6H-SiC(0001). Phys. Rev. B 2009, 78, 245403. [Google Scholar] [CrossRef]
- Owman, F.; Hallin, C.; Mårtensson, P.; Janzén, E. Removal of polishing-induced damage from 6H-SiC (0001) substrates by hydrogen etching. J. Cryst. Growth 1996, 167, 391–395. [Google Scholar] [CrossRef]
- Robinson, Z.R.; Jernigan, G.G.; Currie, M.; Hite, J.K.; Bussmann, K.M.; Nyakiti, L.O.; Garces, N.Y.; Nath, A.; Rao, M.V.; Wheeler, V.D.; et al. Challenges to graphene growth on SiC(000-1): Substrate effects, hydrogen etching and growth ambient. Carbon 2015, 81, 73–82. [Google Scholar] [CrossRef]
- Lebedev, S.P.; Petrov, V.N.; Kotousova, I.S.; Lavrentev, A.A.; Dementev, P.A.; Lebedev, A.A.; Titkov, N. Formation of periodic steps on 6H-SiC (0001) surface by annealing in a high vacuum. Mater. Sci. Forum 2011, 679, 437–440. [Google Scholar]
- Lebedev, S.P.; Barash, I.S.; Eliseyev, I.A.; Dementev, P.A.; Lebedev, A.A.; Bulat, P. Investigation of the hydrogen etching effect of the SiC surface on the formation of graphene films. Technol. Phys. 2019, 64, 1843–1849. [Google Scholar] [CrossRef]
- Yakimova, R.; Virojanadara, C.; Gogova, D.; Syväjarvi, M.; Siche, D.; Larsson, K.; Johansson, L.J. Analysis of the formation conditions for large area epitaxial graphene on SiC substrates. Mater. Sci. Forum 2010, 645–648, 565–568. [Google Scholar]
- Asadchikov, V.E.; Kozhevnikov, I.V.; Krivonosov, Y.S.; Mercier, R.; Metzger, T.H.; Morawe, C.; Ziegler, E. Application of X-ray scattering technique to the study of supersmooth surfaces. Nucl. Instrum. Meth. Phys. Res. A 2004, 530, 575–595. [Google Scholar] [CrossRef]
- Blagov, A.E.; Prosekov, P.A.; Grischenko, J.V.; Zanaveskin, M.L.; Roschin, B.S.; Butashin, A.V.; Feodorov, V.A.; Kanevskii, V.M.; Asadchikov, V.E. Features of X-ray diffraction on sapphire single crystals with a nanostructured surface. J. Surf. Invest. 2009, 3, 447–449. [Google Scholar] [CrossRef]
- Prokhorov, I.A.; Zakharova, B.G.; Asadchikov, V.E.; Butashin, A.V.; Roshchin, B.S.; Tolstikhina, A.L.; Zanaveskin, M.L.; Grishchenko, Y.V.; Muslimov, A.E.; Yakimchuk, I.V.; et al. Characterization of single-crystal sapphire substrates by X-ray methods and atomic force microscopy. Cryst. Rep. 2011, 56, 456–462. [Google Scholar] [CrossRef]
- Asadchikov, V.E.; Blagov, A.E.; Butashin, A.V.; Volkov, Y.O.; Deryabin, A.N.; Kanevskii, V.M.; Muslimov, A.E.; Protsenko, A.I.; Roshchin, B.S.; Targonskii, A.V.; et al. Lateral inhomogeneities of sapphire plates determined with the aid of X-ray and probe methods. Technol. Phys. 2020, 65, 400–406. [Google Scholar] [CrossRef]
- Nishiguchi, T.; Ohshima, S.; Nishino, S. Thermal etching of 6H-SiC substrate surface. Jpn. J. Appl. Phys. 2003, 42, 1533–1537. [Google Scholar] [CrossRef]
- Van der Berg, N.G.; Malherbe, J.B.; Botha, A.J.; Friedland, E. Thermal etching of SiC. Appl. Surf. Sci. 2012, 258, 5561–5566. [Google Scholar] [CrossRef]
- Lebedev, S.P.; Dement’ev, P.A.; Lebedev, A.A.; Petrov, V.N.; Titkov, A.N. Fabrication and use of atomically smooth steps on 6H-SiC for calibration of z-displacements in scanning probe microscopy. Mater. Sci. Forum 2010, 645–648, 767–770. [Google Scholar]
- Dunaevskii, M.S.; Makarenko, I.V.; Petrov, V.N.; Lebedev, A.A.; Lebedev, S.P.; Titkov, A.N. Using atomic-step-structured 6H-SiC(0001) surfaces for the calibration of nanotranslations in scanning probe microscopy. Technol. Phys. Lett. 2009, 35, 47–49. [Google Scholar] [CrossRef]
- Riedl, C.; Starke, U.; Bernhardt, J.; Franke, M.; Heinz, K. Structural properties of the graphene-SiC(0001) interface as a key for the preparation of homogeneous large-terrace graphene surfaces. Phys. Rev. B 2007, 76, 245406. [Google Scholar] [CrossRef]
- Lauffer, P.; Emtsev, K.V.; Graupner, R.; Seyller, T.; Ley, L.; Reshanov, S.A.; Weber, H.B. Atomic and electronic structure of few-layer graphene on SiC(0001) studied with scanning tunneling microscopy and spectroscopy. Phys. Rev. B 2008, 77, 155426. [Google Scholar] [CrossRef]
- Hass, J.; Millán-Otoya, J.E.; First, P.N.; Conrad, E.H. Interface structure of epitaxial graphene grown on 4H-SiC(0001). Phys. Rev B 2008, 78, 205424. [Google Scholar] [CrossRef]
- Virojanadara, C.; Zakharov, A.A.; Yakimova, R.; Johansson, L.I. Buffer layer free large area bi-layer graphene on SiC (0001). Surf. Sci. 2010, 604, L4–L7. [Google Scholar] [CrossRef]
- Asadchikov, V.E.; Babak, V.G.; Buzmakov, A.V.; Dorokhin, Y.P.; Glagolev, I.P.; Zanevskii, Y.V.; Zryuev, V.N.; Krivonosov, Y.S.; Mamich, V.F.; Moseiko, L.A.; et al. An X-ray diffractometer with a mobile emitter-detector system. Instrum. Exp. Technol. 2002, 48, 364–372. [Google Scholar] [CrossRef]
- Vinogradov, A.V.; Zorev, N.N.; Kozhevnikov, I.V.; Yakushkin, I.G. Phenomenon of total external reflection of x-rays. Sov. Phys. JETP 1985, 62, 1225–1229. [Google Scholar]
- Kozhevnikov, I.V.; Pyatakhin, M.V. Use of DWBA and perturbation theory in X-ray control of the surface roughness. J. X-Ray Sci. Technol. 1998, 8, 253–275. [Google Scholar]
- Kozhevnikov, I.V. General laws of x-ray reflection from rough surfaces: II. Conformal roughness. Cryst. Rep. 2012, 57, 490–498. [Google Scholar] [CrossRef]
- Whitehouse, D.J. Surfaces and Their Measurements; Hermes Penton: London, UK, 2002; ISBN 1-56032-969-6. [Google Scholar]
- Tolan, M. X-ray Scattering from Soft-Matter Thin Films: Materials Science and Basic Research; Springer: Berlin/Heidelberg, Germany, 1999; ISBN 978-3-540-49525-3. [Google Scholar]
- Kozhevnikov, I.V. Physical analysis of the inverse problem of X-ray reflectometry. Nucl. Instrum. Methods Phys. Res. A. 2003, 508, 519–541. [Google Scholar] [CrossRef]
- Wang, H.; Zhang, H.; Wang, Y.; Tan, W.; Huo, D. Spin glass feature and exchange bias effect in metallic Pt/antiferromagnetic LaMnO3heterostructure. J. Phys. Condens. Matter 2021, 33, 285802. [Google Scholar] [CrossRef] [PubMed]
- Zhang, H.; Wang, Y.; Wang, H.; Huo, D.; Tan, W. Room-temperature magnetoresistive and magnetocaloric effect in La1-xBaxMnO3 compounds: Role of Griffiths phase with ferromagnetic metal cluster above Curie temperature. J. Appl. Phys. 2022, 131, 043901. [Google Scholar] [CrossRef]
- Church, E.; Takasz, P. Light scattering from non-Gaussian surfaces. Proc. SPIE 1995, 2541, 91–107. [Google Scholar]
- Kozhevnikov, I.V.; Peverini, L.; Ziegler, E. Development of a self-consistent free-form approach for studying the three-dimensional morphology of a thin film. Phys. Rev. B 2012, 85, 125439. [Google Scholar] [CrossRef]
- Virtanen, P.; Gommers, R.; Oliphant, T.E.; Haberland, M.; Reddy, T.; Cournapeau, D.; Van Mulbregt, P. SciPy 1.0 Contributors. SciPy 1.0: Fundamental algorithms for scientific computing in Python. Nat. Methods 2020, 17, 261–272. [Google Scholar] [CrossRef]
- Lebedev, A.A.; Kotousova, I.S.; Lavrent’ev, A.A.; Lebedev, S.P.; Makarenko, I.V.; Petrov, V.N.; Titkov, A.N. Formation of nanocarbon films on the SiC surface through sublimation in vacuum. Phys. Solid State 2009, 51, 829–832. [Google Scholar] [CrossRef]
- Lin, Y.M.; Farmer, D.B.; Jenkins, K.A.; Wu, Y.; Tedesco, J.L.; Myers-Ward, R.L.; Eddy, C.R.; Gaskill, D.K.; Dimitrakopoulos, C.; Avouris, P. Enhanced performance in epitaxial graphene FETs with optimized channel morphology. IEEE Electron Device Lett. 2011, 32, 1343–1345. [Google Scholar] [CrossRef]
- Mammadov, S.; Ristein, J.; Krone, J.; Raidel, C.; Wanke, M.; Wiesmann, V.; Speck, F.; Seyller, T. Work function of graphene multilayers on SiC(0001). 2D Mater. 2017, 4, 015043. [Google Scholar] [CrossRef]
- Lebedev, S.P.; Amel’chuk, D.G.; Eliseyev, I.A.; Barash, I.S.; Dementev, P.A.; Zubov, A.V.; Lebedev, A.A. Surface morphology control of the SiC (0001) substrate during the graphene growth. Fuller. Nanotub. 2020, 28, 281–285. [Google Scholar] [CrossRef]
- Nyakiti, L.O.; Myers-Ward, R.L.; Wheeler, V.D.; Imhoff, E.A.; Bezares, F.J.; Chun, H.; Caldwell, J.D.; Friedman, A.L.; Matis, B.R.; Baldwin, J.W.; et al. Bilayer Graphene grown on 4H-SiC (0001) step-free mesas. Nano Lett. 2012, 12, 1749–1756. [Google Scholar] [CrossRef] [PubMed]
- Oliveira, M.H., Jr.; Schumann, T.; Ramsteiner, M.; Lopes, J.M.J.; Riechert, H. Influence of the silicon carbide surface morphology on the epitaxial graphene formation. Appl. Phys. Lett. 2011, 99, 111901. [Google Scholar] [CrossRef]
- Bao, J.; Yasui, O.; Norimatsu, W.; Matsuda, K.; Kusunoki, M. Sequential control of step-bunching during graphene growth on SiC (0001). Appl. Phys. Lett. 2016, 109, 081602. [Google Scholar] [CrossRef]
- Ostler, M.; Speck, F.; Gick, M.; Seyller, T. Automated preparation of high-quality epitaxial graphene on 6H-SiC(0001). Phys. Status Solidi B 2010, 247, 2924–2926. [Google Scholar] [CrossRef]





| Average Terrace Period | Period Deviation, AFM | Period Deviation, XRS |
|---|---|---|
| 1.85 μm | 2.13 μm | 4.2 μm |
Publisher’s Note: MDPI stays neutral with regard to jurisdictional claims in published maps and institutional affiliations. |
© 2022 by the authors. Licensee MDPI, Basel, Switzerland. This article is an open access article distributed under the terms and conditions of the Creative Commons Attribution (CC BY) license (https://creativecommons.org/licenses/by/4.0/).
Share and Cite
Roschin, B.S.; Argunova, T.S.; Lebedev, S.P.; Asadchikov, V.E.; Lebedev, A.A.; Volkov, Y.O.; Nuzhdin, A.D. Application of Grazing-Incidence X-ray Methods to Study Terrace-Stepped SiC Surface for Graphene Growth. Materials 2022, 15, 7669. https://doi.org/10.3390/ma15217669
Roschin BS, Argunova TS, Lebedev SP, Asadchikov VE, Lebedev AA, Volkov YO, Nuzhdin AD. Application of Grazing-Incidence X-ray Methods to Study Terrace-Stepped SiC Surface for Graphene Growth. Materials. 2022; 15(21):7669. https://doi.org/10.3390/ma15217669
Chicago/Turabian StyleRoschin, Boris S., Tatiana S. Argunova, Sergey P. Lebedev, Victor E. Asadchikov, Alexander A. Lebedev, Yuri O. Volkov, and Alexander D. Nuzhdin. 2022. "Application of Grazing-Incidence X-ray Methods to Study Terrace-Stepped SiC Surface for Graphene Growth" Materials 15, no. 21: 7669. https://doi.org/10.3390/ma15217669
APA StyleRoschin, B. S., Argunova, T. S., Lebedev, S. P., Asadchikov, V. E., Lebedev, A. A., Volkov, Y. O., & Nuzhdin, A. D. (2022). Application of Grazing-Incidence X-ray Methods to Study Terrace-Stepped SiC Surface for Graphene Growth. Materials, 15(21), 7669. https://doi.org/10.3390/ma15217669

