Susceptibility to Pitting and Environmentally Assisted Cracking of 17-4PH Martensitic Stainless Steel Produced by Laser Beam Melting
Abstract
1. Introduction
2. Materials and Methods
3. Results
3.1. Corrosion Behaviour of the LBM and CM 17-4PH MSSs
3.1.1. General Corrosion Behaviour
3.1.2. Susceptibility to Metastable Pitting
3.1.3. Susceptibility to Stable Pitting
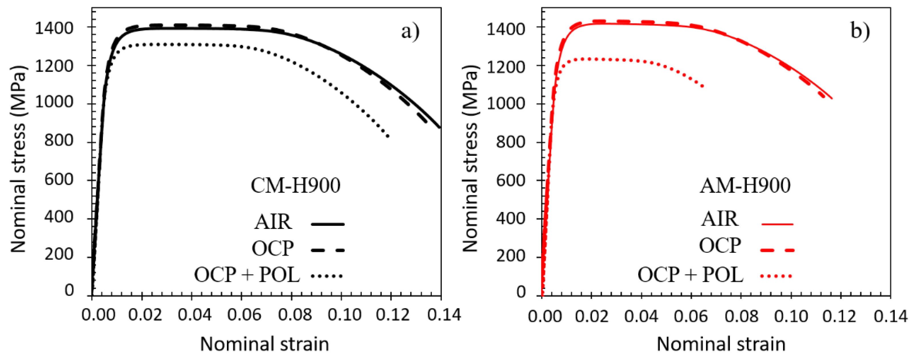
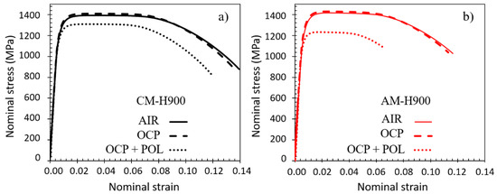
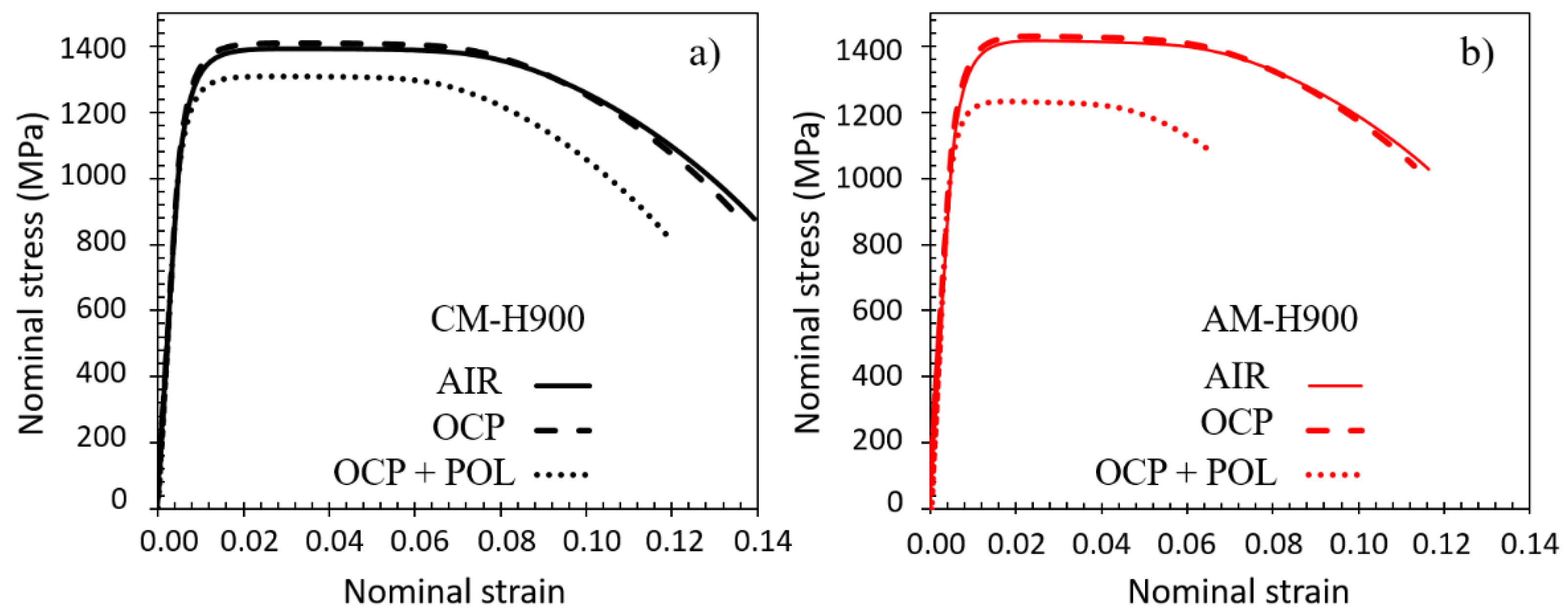
3.2. EAC Susceptibility of the LBM and CM 17-4PH MSSs
3.2.1. General EAC Behaviour
3.2.2. Stable Pitting Behaviour under Mechanical Loading
3.2.3. Metastable Pitting Behaviour under Mechanical Loading
4. Discussion
5. Conclusions
Author Contributions
Funding
Institutional Review Board Statement
Informed Consent Statement
Data Availability Statement
Acknowledgments
Conflicts of Interest
References
- Chiang, W.C.; Pu, C.C.; Yu, B.L.; Wu, J.K. Hydrogen susceptibility of 17-4 PH stainless steel. Mater. Lett. 2003, 57, 2485–2488. [Google Scholar] [CrossRef]
- Alnajjar, M.; Christien, F.; Bosch, C.; Wolski, K. A comparative study of microstructure and hydrogen embrittlement of selective laser melted and wrought 17-4 PH stainless steel. Mat. Sci. Eng. A 2020, 785, 139363. [Google Scholar] [CrossRef]
- Shen, S.; Li, X.; Zhang, P.; Nan, Y.; Yang, G.; Song, X. Effect of solution-treated temperature on hydrogen embrittlement of 17-4 PH stainless steel. Mat. Sci. Eng. A 2017, 703, 413–421. [Google Scholar] [CrossRef]
- Raja, K.S.; Rao, K.P. Stress corrosion cracking behaviour of 17-4 PH stainless steel weldments at open-circuit potentials. J. Mat. Sci. Let. 1993, 12, 957–960. [Google Scholar] [CrossRef]
- Blanc, C.; Aubert, I. (Eds.) Mechanics–Microstructure–Corrosion Couplings: Concepts, Experiments, Modeling and Cases; ISTE Editions and Elsevier: London, UK, 2019; ISBN 9781785483097. [Google Scholar]
- Giganto, S.; Martínez-Pellitero, S.; Barreiro, J.; Leo, P.; Ángeles Castro-Sastre, M. Impact of the laser scanning strategy on the quality of 17-4 PH stainless steel parts manufactured by selective laser melting. J. Mat. Res. Techn. 2022, 20, 2734–2747. [Google Scholar] [CrossRef]
- Ozsoy, A.; Yasa, E.; Keles, M.; Bugra Tureyen, E. Pulsed-mode Selective Laser Melting of 17-4 PH stainless steel: Effect of laser parameters on density and mechanical properties. J. Manuf. Proc. 2021, 68, 910–922. [Google Scholar] [CrossRef]
- Fang, R.; Deng, N.; Zhang, H.; Wang, G.; Su, Y.; Zhou, H.; Gao, K.; Gu, L. Effect of selective laser melting process parameters on the microstructure and properties of a precipitation hardening stainless steel. Mat. Des. 2021, 212, 110265. [Google Scholar] [CrossRef]
- Hsu, T.H.; Huang, P.C.; Lee, M.Y.; Chang, K.C.; Lee, C.C.; Li, M.Y.; Chen, C.P.; Jen, K.K.; Yeh, A.C. Effect of processing parameters on the fractions of martensite in 17-4 PH stainless steel fabricated by selective laser melting. J. Alloys Compd. 2021, 859, 157758. [Google Scholar] [CrossRef]
- Nong, X.D.; Zhou, X.L. Effect of scanning strategy on the microstructure, texture, and mechanical properties of 15-5 PH stainless steel processed by selective laser melting. Mat. Charac. 2021, 174, 111012. [Google Scholar] [CrossRef]
- Nong, X.D.; Zhou, X.L.; Li, J.H.; Wang, Y.D.; Zhao, Y.F.; Brochu, M. Selective laser melting and heat treatment of precipitation hardening stainless steel with a refined microstructure and excellent mechanical properties. Scr. Mater. 2020, 178, 7–12. [Google Scholar] [CrossRef]
- Leo, P.; Nobile, R.; Barreiro, J.; Bagheri, S.; Mele, C. Precipitation hardening stainless steel samples processed by additive manufacturing: Process parameters and thermo mechanical treatments effects on microstructure and corrosion resistance. Opt. Laser Technol. 2022, 156, 108547. [Google Scholar] [CrossRef]
- Guennouni, N.; Barroux, A.; Grosjean, C.; Maisonnette, D.; Nivet, E.; Andrieu, E.; Poquillon, D.; Laffont, L.; Blanc, C. Comparative study of the microstructure between a laser beam melted 17-4 PH stainless steel and its conventional counterpart. Mat. Sci. Eng. A 2021, 823, 141718. [Google Scholar] [CrossRef]
- Sun, Y.; Hebert, R.J.; Aindow, M. Effect of Laser Scan Length on the Microstructure of Additively Manufactured 17-4 PH Stainless Steel Thin-Walled Parts. Addit. Manuf. 2020, 35, 101302. [Google Scholar] [CrossRef]
- Murr, L.E.; Martinez, E.; Hernandez, J.; Collins, S.; Amato, K.N.; Gaytan, S.M.; Shindo, P.W. Microstructures and Properties of 17-4 PH Stainless Steel Fabricated by Selective Laser Melting. J. Mater. Res. Technol. 2012, 1, 167–177. [Google Scholar] [CrossRef]
- Sun, Y.; Hebert, R.J.; Aindow, M. Effect of heat treatments on microstructural evolution of additively manufactured and wrought 17-4 PH stainless steel. Mater. Des. 2018, 156, 429–440. [Google Scholar] [CrossRef]
- Cheruvathur, S.; Lass, E.A.; Campbell, C.E. Additive Manufacturing of 17-4 PH Stainless Steel: Post-processing Heat Treatment to Achieve Uniform Reproducible Microstructure. J. Min. Met. Mater. Soc. (JOM) 2016, 68, 930–942. [Google Scholar] [CrossRef]
- Leo, P.; D’Ostuni, S.; Perulli, P.; Sastre, M.A.C.; Fernández-Abia, A.I.; Barreiro, J. Analysis of microstructure and defects in 17-4 PH stainless steel sample manufactured by Selective Laser Melting. Procedia Manuf. 2019, 41, 66–73. [Google Scholar] [CrossRef]
- Wang, D.; Chi, C.T.; Wang, W.Q.; Li, Y.L.; Wang, M.S.; Chen, X.G.; Chen, Z.H.; Cheng, X.P.; Xie, Y.J. The effects of fabrication atmosphere condition on the microstructural and mechanical properties of laser direct manufactured stainless steel 17-4 PH. J. Mat. Sci. Technol. 2019, 35, 1315–1322. [Google Scholar] [CrossRef]
- Pasebani, S.; Ghayoor, M.; Badwe, S.; Irrinki, H.; Atre, S.V. Effects of atomizing media and post processing on mechanical properties of 17-4 PH stainless steel manufactured via selective laser melting. Addit. Manuf. 2018, 22, 127–137. [Google Scholar] [CrossRef]
- Meredith, S.D.; Zuback, J.S.; Keist, J.S.; Palmer, T.A. Impact of composition on the heat treatment response of additively manufactured 17-4 PH grade stainless steel. Mat. Sci. Eng. A 2018, 738, 44–56. [Google Scholar] [CrossRef]
- Linares, J.-M.; Chaves-Jacob, J.; Lopez, Q.; Sprauel, J.-M. Fatigue life optimization for 17-4 PH steel produced by selective laser melting. Rapid Prototyp. J. 2022, 28, 1182–1192. [Google Scholar] [CrossRef]
- Laleh, M.; Hughes, A.E.; Xu, W.; Gibson, I.; Tan, M.Y. Unexpected erosion-corrosion behaviour of 316L stainless steel produced by selective laser melting. Corros. Sci. 2019, 155, 67–74. [Google Scholar] [CrossRef]
- Wang, Z.; Jiang, C.; Gan, X.; Chen, Y.; Ji, V. Influence of shot peening on the fatigue life of laser hardened 17-4 PH steel. Int. J. Fatigue 2011, 33, 549–556. [Google Scholar] [CrossRef]
- Liu, D.; Liu, D.; Zhang, X.; He, G.; Ma, A.; Wu, G. Plain fatigue and fretting fatigue behaviors of 17-4 PH steel subjected to ultrasonic surface rolling process: A comparative study. Surf. Coat. Technol. 2020, 399, 126196. [Google Scholar] [CrossRef]
- Gong, C.; Marae-Djouda, J.; Hmima, A.; Gaslain, F.; Chemkhi, M.; Maurer, M.; Panicaud, B. 2D characterization at submicron scale of crack propagation of 17-4 PH parts produced by Atomic Diffusion Additive Manufacturing (ADAM) process. Procedia Struct. Integr. 2021, 34, 13–19. [Google Scholar] [CrossRef]
- Sola, A.; Nouri, A. Microstructural porosity in additive manufacturing: The formation and detection of pores in metal parts fabricated by powder bed fusion. J. Advanc. Manufact. Process. 2019, 1, e10021. [Google Scholar] [CrossRef]
- Irrinki, H.; Jangam, J.S.D.; Pasebani, S.; Badwe, S.; Stitzel, J.; Kate, K.; Gulsoy, O.; Atre, S.V. Effects of particle characteristics on the microstructure and mechanical properties of 17-4 PH stainless steel fabricated by laser-powder bed fusion. Powder Technol. 2018, 331, 192–203. [Google Scholar] [CrossRef]
- Laleh, M.; Hughes, A.E.; Yang, S.; Li, J.; Xu, W.; Gibson, I.; Tan, M.Y. Two and three-dimensional characterisation of localised corrosion affected by lack-of-fusion pores in 316L stainless steel produced by selective laser melting. Corros. Sci. 2020, 165, 108394. [Google Scholar] [CrossRef]
- Laleh, M.; Hughes, A.E.; Xu, W.; Cizek, P.; Tan, M.Y. Unanticipated drastic decline in pitting corrosion resistance of additively manufactured 316L stainless steel after high-temperature post-processing. Corros. Sci. 2020, 165, 108412. [Google Scholar] [CrossRef]
- Lou, X.; Andresen, P.L.; Rebak, R.B. Oxide inclusions in laser additive manufactured stainless steel and their effects on impact toughness and stress corrosion cracking behaviour. J. Nucl. Mat. 2018, 499, 182–190. [Google Scholar] [CrossRef]
- Barroux, A.; Ducommun, N.; Nivet, E.; Laffont, L.; Blanc, C. Pitting corrosion of 17-4 PH stainless steel manufactured by laser beam melting. Corros. Sci. 2020, 169, 108594. [Google Scholar] [CrossRef]
- Tavakoli Shoushtari, M.R. Effect of ageing heat treatment on corrosion behavior of 17-4 PH stainless steel in 3.5% NaCl. Intern. J. ISSI. 2010, 7, 33–36. [Google Scholar]
- Barroux, A.; Delgado, J.; Orazem, M.E.; Tribollet, B.; Laffont, L.; Blanc, C. Electrochemical impedance spectroscopy study of the passive film for laser-beam-melted 17-4 PH stainless steel. Corros. Sci. 2021, 191, 109750. [Google Scholar] [CrossRef]
- Calabrese, L.; Bonaccorsi, L.; Galeano, M.; Proverbio, E.; Di Pietro, D.; Cappuccini, F. Identification of damage evolution during SCC on 17-4 PH stainless steel by combining electrochemical noise and acoustic emission techniques. Corros. Sci. 2015, 98, 573–584. [Google Scholar] [CrossRef]
- Calabrese, L.; Bonaccorsi, L.; Proverbio, E.; Di Pietro, D.; Cappuccini, F. SCC damage evolution on martensitic stainless steel by using acoustic emission technique. Cor. Eng. Sci. Technol. 2015, 50, 364–371. [Google Scholar] [CrossRef]
- Zhu, L.K.; Yan, Y.; Qiao, L.J.; Volinsky, A.A. Stainless steel pitting and early-stage stress corrosion cracking under ultra-low elastic load. Corros. Sci. 2013, 77, 360–368. [Google Scholar] [CrossRef]
- Lanzutti, A.; Andreatta, F.; Magnan, M.; Gerolin, A.; Fedrizzi, L. Unexpected failure of cast superduplex stainless steel exposed to high chlorides containing water: From failure analysis to corrosion mechanisms settlement. Eng. Fail. Anal. 2022, 136, 106196. [Google Scholar] [CrossRef]
- Cruz, V.; Qiu, Y.; Birbilis, N.; Thomas, S. Stress corrosion cracking of 316L manufactured by laser powder bed fusion in 6% ferric chloride solution. Corros. Sci. 2022, 207, 110535. [Google Scholar] [CrossRef]
- Ornek, C. Stress corrosion cracking and hydrogen embrittlement of type 316L austenitic stainless steel beneath MgCl2 and MgCl2: FeCl3 droplets. Corrosion 2019, 75, 657–667. [Google Scholar] [CrossRef]
- Kain, V. Stress corrosion cracking (SCC) in stainless steels. In Stress Corrosion Cracking: Theory and Practice; Raja, V.S., Shoji, T., Eds.; Woodhead Publishing: Philadelphia, PA, USA, 2011; pp. 199–244. [Google Scholar] [CrossRef]
- Rhodes, P.R. Environment-assisted cracking of corrosion-resistant alloys in oil and gas production environments: A review. Corrosion 2001, 57, 923–966. [Google Scholar] [CrossRef]
- Karaminezhaad, M.; Sharafi, S.; Dalili, K. Effect of molybdenum on SCC of 17-4 PH stainless steel under different aging conditions in chloride solutions. J. Mater. Sci. 2006, 41, 3329–3333. [Google Scholar] [CrossRef]
- Thomas, S.; Ott, N.; Schaller, R.F.; Yuwono, J.A.; Volovitch, P.; Sundararajan, G.; Medhekar, N.V.; Ogle, K.; Scully, J.R.; Birbilis, N. The effect of absorbed hydrogen on the dissolution of steel. Heliyon 2016, 2, e00209. [Google Scholar] [CrossRef]
- Scully, J.C. The interaction of strain-rate and repassivation rate in stress corrosion crack propagation. Corros. Sci. 1980, 20, 997–1016. [Google Scholar] [CrossRef]
- Nguyen, T.T.; Bolivar, J.; Shi, Y.; Réthoré, J.; King, A.; Fregonese, M.; Adrien, J.; Buffiere, J.Y.; Baietto, M.C. A phase field method for modeling anodic dissolution induced stress corrosion crack propagation. Corros. Sci. 2018, 132, 146–160. [Google Scholar] [CrossRef]
- Cui, C.; Ma, R.; Martínez-Pañeda, E. A phase field formulation for dissolution-driven stress corrosion cracking. J. Mech. Phys. Sol. 2021, 147, 104254. [Google Scholar] [CrossRef]
- Långberg, M.; Zhang, F.; Grånäs, E.; Örnek, C.; Cheng, J.; Liu, M.; Wiemann, C.; Gloskovskii, A.; Keller, T.F.; Schlueter, C.; et al. Lateral variation of the native passive film on super duplex stainless steel resolved by synchrotron hard X-ray photoelectron emission microscopy. Corros. Sci. 2020, 174, 108841. [Google Scholar] [CrossRef]
- Turnbull, A.; McCartney, L.N.; Zhou, S. A model to predict the evolution of pitting corrosion and the pit-to-crack transition incorporating statistically distributed input parameters. In Environment-Induced Cracking of Materials, Proceedings of the Int. Conf. on Environment-Induced Cracking of Materials (EICM-2), 2nd, Banff, AB, Alberta, Canada, September 19–23 2004; Shipilovpp, S.A., Jones, R.H., Olive, J.-M., Rebak, R.B., Eds.; Elsevier Science: Amsterdam, The Netherlands, 2008; pp. 19–45. [Google Scholar]
- Vignal, V.; Oltra, R.; Verneau, M.; Coudreuse, L. Influence of an elastic stress on the conductivity of passive films. Mat. Sci. Eng. A 2001, 303, 173–178. [Google Scholar] [CrossRef]
- Navaï, F.; Debbouz, O. AES study of passive films formed on a type 316 austenitic stainless-steels in a stress field. J. Mat. Sci. 1999, 34, 1073–1079. [Google Scholar] [CrossRef]
- Carvalho, R.N.; Rincon Troconis, B.C.; Pioszak, G.; Ynciarte, V.; Scully, J.R. Effect of microstructure on the pitting susceptibility of a martensitic-ferritic stainless steel: A corrosion-metallurgical study. Corros. Sci. 2022, 202, 110277. [Google Scholar] [CrossRef]
- Wang, X.; Yang, Z.; Wang, Z.; Shi, Q.; Xu, B.; Zhou, C.; Zhang, L. The influence of copper on the stress corrosion cracking of 304 stainless steel. App. Surf. Sci. 2019, 478, 492–498. [Google Scholar] [CrossRef]
- Nazarov, A.; Vivier, V.; Thierry, D.; Vucko, F.; Tribollet, B. Effect of Mechanical Stress on the Properties of Steel Surfaces: Scanning Kelvin Probe and Local Electrochemical Impedance Study. J. Electrochem. Soc. 2017, 164, C66. [Google Scholar] [CrossRef]
- Li, Y.Z.; Wang, X.; Zhang, G.A. Corrosion behaviour of 13Cr stainless steel under stress and crevice in 3.5 wt.% NaCl solution. Corros. Sci. 2020, 163, 108290. [Google Scholar] [CrossRef]
- Wang, H.; Han, E.H. Simulation of metastable corrosion pit development under mechanical stress. Electrochim. Acta 2013, 90, 128–134. [Google Scholar] [CrossRef]
- LeBrun, T.; Nakamoto, T.; Horikawa, K.; Kobayashi, H. Effect of retained austenite on subsequent thermal processing and resultant mechanical properties of selective laser melted 17–4 PH stainless steel. Mat. Design 2015, 81, 44–53. [Google Scholar] [CrossRef]
- Williams, G.; McMurray, H.N.; Newman, R.C. Surface oxide reduction by hydrogen permeation through iron foil detected using a scanning Kelvin probe. Electrochem. Com. 2013, 27, 144–147. [Google Scholar] [CrossRef]
- Modiano, S.; Carreño, J.A.V.; Fugivara, C.S.; Torresi, R.M.; Vivier, V.; Benedetti, A.V.; Mattos, O.R. Changes on iron electrode surface during hydrogen permeation in borate buffer solution. Electrochim. Acta 2008, 53, 3670–3679. [Google Scholar] [CrossRef]
- Solheim, K.G.; Solberg, J.K.; Walmsley, J.; Rosenqvist, F.; Bjørnå, T.H. The role of retained austenite in hydrogen embrittlement of supermartensitic stainless steel. Engin. Fail. Anal. 2013, 34, 140–149. [Google Scholar] [CrossRef]
- Ferrin, P.; Kandoi, S.; Nilekar, A.U.; Mavrikakis, M. Hydrogen adsorption, absorption and diffusion on and in transition metal surfaces: A DFT study. Surf. Sci. 2012, 606, 679–689. [Google Scholar] [CrossRef]
- Ladna, B.; Birnbaum, H.K. A study of hydrogen transport during plastic deformation. Acta Metal. 1987, 35, 1775–1778. [Google Scholar] [CrossRef]
- Hua, Z.; Wang, D.; Liu, Z.; Zhang, Y.; Zhu, S. Hydrogen distribution at twin boundary in austenitic stainless steel studied by scanning Kelvin probe force microscopy. Mat. Lett. 2019, 234, 175–178. [Google Scholar] [CrossRef]
- Zhang, Y.; Hui, W.; Zhao, X.; Wang, C.; Cao, W.; Dong, H. Effect of reverted austenite fraction on hydrogen embrittlement of TRIP-aided medium Mn steel (0.1C-5Mn). Eng. Fail. Anal. 2019, 97, 605–616. [Google Scholar] [CrossRef]
- Guennouni, N.; Maisonnette, D.; Grosjean, C.; Andrieu, E.; Poquillon, D.; Blanc, C. Influence of hydrogen on the stress-relaxation properties of 17-4 PH martensitic stainless steel manufactured by laser powder-bed-fusion. Mat. Sci. Eng. A 2022, 831, 142125. [Google Scholar] [CrossRef]











| C | Cr | Ni | Cu | Nb | Mo | Mn | Si | P | |
|---|---|---|---|---|---|---|---|---|---|
| AM | 0.028 ± 0.002 | 16.20 ± 0.19 | 4.08 ± 0.10 | 3.56 ± 0.11 | 0.27 ± 0.02 | <0.020 | 0.32 ± 0.01 | 0.71 ± 0.03 | 0.007 ± 0.002 |
| CM | 0.036 ± 0.002 | 15.42 ± 0.19 | 4.49 ± 0.11 | 3.24 ± 0.10 | 0.26 ± 0.02 | 0.15 ± 0.01 | 0.39 ± 0.01 | 0.35 ± 0.02 | 0.016 ± 0.003 |
| Number | Ipit (µA) | Tg (s) | Tr (s) | Ipit/Tg (µA s−1) | |
|---|---|---|---|---|---|
| AM | 32 | 0.92 ± 0.25 | 3.2 ± 0.8 | 0.3 ± 0.2 | 0.288 |
| CM | 135 | 0.12 ± 0.06 | 1.0 ± 0.4 | 0.2 ± 0.2 | 0.120 |
| N (cm−2) | Dap (µm) | D (µm) | h (µm) | f | |
|---|---|---|---|---|---|
| AM | 12 | 280 ± 25 | 340 ± 27 | 162 ± 41 | 2.1 |
| CM | 15 | 120 ± 22 | 180 ± 32 | 147 ± 33 | 1.2 |
| E (GPa) ± 5 | YS0.2 (MPa) ± 2 | UTS (MPa) ± 2 | εf | |||||
|---|---|---|---|---|---|---|---|---|
| AM | CM | AM | CM | AM | CM | AM | CM | |
| Air | 203 | 201 | 1289 | 1251 | 1407 | 1389 | 0.678 | 0.956 |
| OCP | 208 | 209 | 1278 | 1248 | 1395 | 1385 | 0.672 | 0.949 |
| OCP + Pol | 220 | 222 | 1150 | 1203 | 1227 | 1310 | 0.512 | 0.808 |
Publisher’s Note: MDPI stays neutral with regard to jurisdictional claims in published maps and institutional affiliations. |
© 2022 by the authors. Licensee MDPI, Basel, Switzerland. This article is an open access article distributed under the terms and conditions of the Creative Commons Attribution (CC BY) license (https://creativecommons.org/licenses/by/4.0/).
Share and Cite
Guennouni, N.; Maisonnette, D.; Grosjean, C.; Poquillon, D.; Blanc, C. Susceptibility to Pitting and Environmentally Assisted Cracking of 17-4PH Martensitic Stainless Steel Produced by Laser Beam Melting. Materials 2022, 15, 7121. https://doi.org/10.3390/ma15207121
Guennouni N, Maisonnette D, Grosjean C, Poquillon D, Blanc C. Susceptibility to Pitting and Environmentally Assisted Cracking of 17-4PH Martensitic Stainless Steel Produced by Laser Beam Melting. Materials. 2022; 15(20):7121. https://doi.org/10.3390/ma15207121
Chicago/Turabian StyleGuennouni, Nizar, Daniel Maisonnette, Christophe Grosjean, Dominique Poquillon, and Christine Blanc. 2022. "Susceptibility to Pitting and Environmentally Assisted Cracking of 17-4PH Martensitic Stainless Steel Produced by Laser Beam Melting" Materials 15, no. 20: 7121. https://doi.org/10.3390/ma15207121
APA StyleGuennouni, N., Maisonnette, D., Grosjean, C., Poquillon, D., & Blanc, C. (2022). Susceptibility to Pitting and Environmentally Assisted Cracking of 17-4PH Martensitic Stainless Steel Produced by Laser Beam Melting. Materials, 15(20), 7121. https://doi.org/10.3390/ma15207121

