A Study on the Electromagnetic–Thermal Coupling Effect of Cross-Slot Frequency Selective Surface
Abstract
:1. Introduction
2. Research Methods and FSS Design
2.1. Electromagnetic-Thermal Coupling Algorithm
2.2. Structure of FSS
2.3. Analysis of EM Effect of FSS
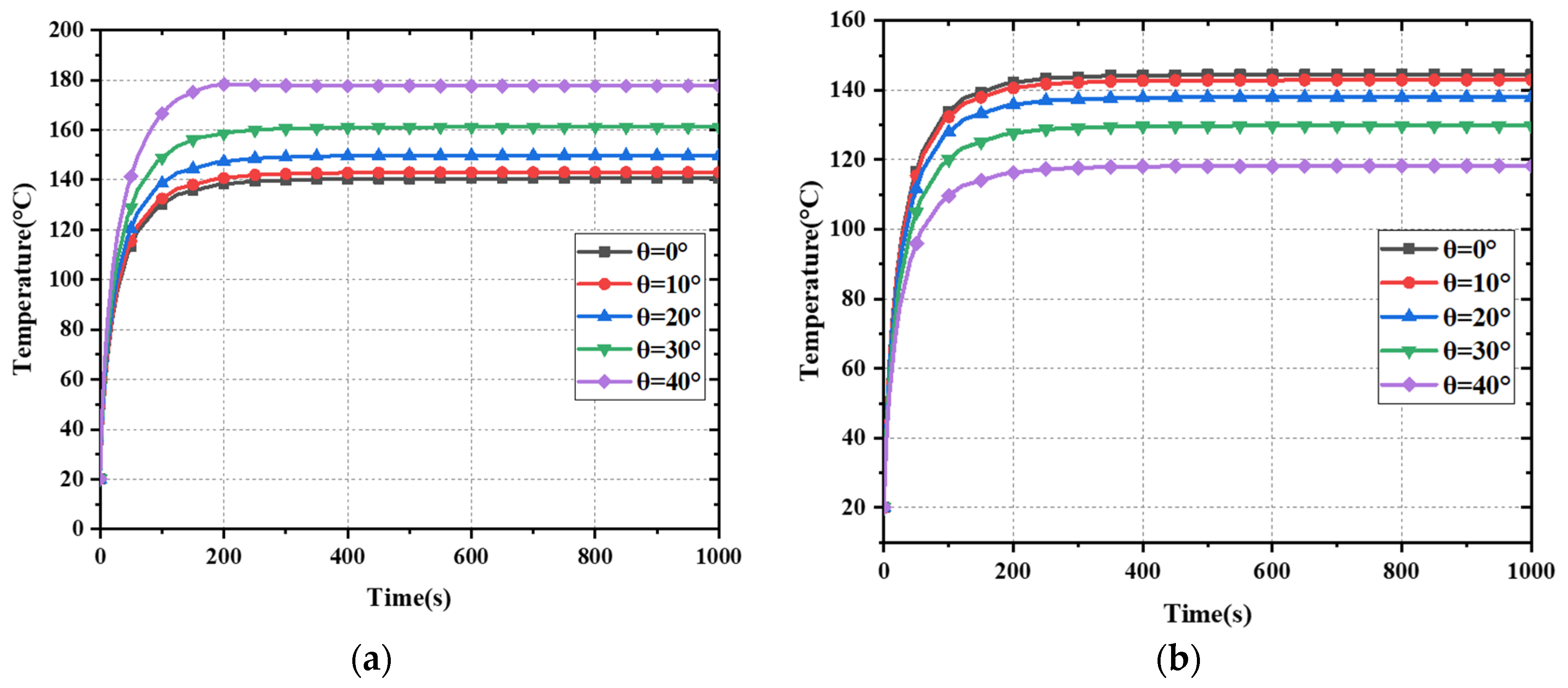
2.4. Analysis of Thermal Effect of FSS
3. Experiment Demonstration
3.1. FSSs Processing and the Simulation of Experimental Environment
3.2. The S Parameters Test
3.3. Temperature Test
4. Conclusions
Author Contributions
Funding
Institutional Review Board Statement
Informed Consent Statement
Data Availability Statement
Conflicts of Interest
References
- Wang, C.S.; Duan, B.Y.; Zhang, F.S.; Zhu, M.B. Coupled structural-electromagnetic-thermal modelling and analysis of active phased array antennas. IET Microw. Antennas Propagat. 2010, 4, 247–257. [Google Scholar] [CrossRef]
- Ren, L.; Xiao, L.; Jie, M.; Zi, L. Co-simulation method to predict multi-physical effects on patch antenna. In Proceedings of the 2014 3rd Asia-Pacific Conference on Antennas and Propagation, Harbin, China, 26–29 July 2014; pp. 305–308. [Google Scholar] [CrossRef]
- Zhang, H.-X.; Huang, L.; Wang, W.; Zhao, Z.; Zhou, L.; Chen, W.; Zhou, H.; Zhan, Q.; Kolundzija, B.; Yin, W. Massively Parallel Electromagnetic–Thermal Cosimulation of Large Antenna Arrays. IEEE Antennas Wirel. Propag. Lett. 2020, 19, 1551–1555. [Google Scholar] [CrossRef]
- Lv, Q.; Jin, C.; Zhang, B.; Mittra, R. Wide-Passband Dual-Polarized Elliptic Frequency Selective Surface. IEEE Access 2019, 7, 55833–55840. [Google Scholar] [CrossRef]
- Gao, B.; Huang, S.; Ren, Z.; Chen, Y.; Wang, X. Design and Verification of an Integrated Free-Standing Thick-Screen FSS Radome. IEEE Antennas Wirel. Propag. Lett. 2018, 17, 1630–1634. [Google Scholar] [CrossRef]
- Zhao, Z.; Zhang, A.; Chen, X.; Peng, G.; Li, J.; Shi, H.; Kishk, A.A. Bandpass FSS With Zeros Adjustable Quasi-Elliptic Response. IEEE Antennas Wirel. Propag. Lett. 2019, 18, 1184–1188. [Google Scholar] [CrossRef]
- Zhao, Z.; Shi, H.; Guo, J.; Li, W.; Zhang, A. Stopband Frequency Selective Surface With Ultra-Large Angle of Incidence. IEEE Antennas Wirel. Propag. Lett. 2017, 16, 553–556. [Google Scholar] [CrossRef]
- Wei, P.; Chiu, C.; Wu, T. Design and Analysis of an Ultraminiaturized Frequency Selective Surface with Two Arbitrary Stopbands. IEEE Trans. Electromagn. Compat. 2019, 61, 1447–1456. [Google Scholar] [CrossRef]
- Yadav, S.; Jain, C.P.; Sharma, M.M. Smartphone Frequency Shielding with Penta-Bandstop FSS for Security and Electromagnetic Health Applications. IEEE Trans. Electromagn. Compat. 2019, 61, 887–892. [Google Scholar] [CrossRef]
- Chen, J.; Hao, G.; Liu, Q. Using the ADI-FDTD Method to Simulate Graphene-Based FSS at Terahertz Frequency. IEEE Trans. Electromagn. Compat. 2017, 59, 1218–1223. [Google Scholar] [CrossRef]
- Kurra, L.; Abegaonkar, M.P.; Basu, A.; Koul, S.K. FSS Properties of a Uniplanar EBG and Its Application in Directivity Enhancement of a Microstrip Antenna. IEEE Antennas Wirel. Propag. Lett. 2016, 15, 1606–1609. [Google Scholar] [CrossRef]
- Chu, W.; Juehui, Z.; Tian, Z.; Yilun, C.; Huihui, S. Multi-physics Coupling Behavior of Metamaterials Under High Power Electromagnetic Wave Irradiation. Mater. Rep. 2019, 33, 84–88. [Google Scholar]
- Giri, D.V.; Tesche, F.M. Classification of intentional electromagnetic environments (IEME). IEEE Trans. Electromagn. Compat. 2004, 46, 322–328. [Google Scholar] [CrossRef]
- Kumar, D.; Prakash, N.R.; Singh, S. Techniques and concepts to mitigate and neutralize electro-magnetic weapon attacks. In Proceedings of the 2015 13th International Conference on Electromagnetic Interference and Compatibility (INCEMIC), Visakhapatnam, India, 22–23 July 2015; pp. 69–73. [Google Scholar] [CrossRef]
- Zhang, J.; Lin, M.; Wu, Z.; Ding, L.; Bian, L.; Liu, P. Energy Selective Surface with Power-Dependent Transmission Coefficient for High-Power Microwave Protection in Waveguide. IEEE Trans. Antennas Propag. 2019, 67, 2494–2502. [Google Scholar] [CrossRef]
- Poljak, D.; Šesnić, S.; Cvetković, M.; Šušnjara, A.; Dodig, H.; Lalléchère, S.; Drissi, K. Stochastic Collocation Applications in Computational Electromagnetics. Math. Probl. Eng. 2018 2018, 13. [Google Scholar] [CrossRef]
- Li, M.; Behdad, N. Frequency Selective Surfaces for Pulsed High-Power Microwave Applications. IEEE Trans. Antennas Propagat. 2013, 61, 677–687. [Google Scholar] [CrossRef]
- Liu, C.; Behdad, N. Investigating the Impact of Microwave Breakdown on the Responses of High-Power Microwave Metamaterials. IEEE Trans. Plasma Sci. 2013, 41, 2992–3000. [Google Scholar] [CrossRef]
- Seviour, R.; Tan, Y.S.; Hopper, A. Effects of high power on microwave metamaterials. In Proceedings of the 2014 8th International Congress on Advanced Electromagnetic Materials in Microwaves and Optics, Copenhagen, Denmark, 25–28 August 2014; pp. 142–144. [Google Scholar] [CrossRef]
- In, S.; Park, N. Effects of optical Joule heating in metamaterial absorber: A non-linear recursive feedback optical-thermodynamic multiphysics study. In Proceedings of the 2015 9th International Congress on Advanced Electromagnetic Materials in Microwaves and Optics (METAMATERIALS), Oxford, UK, 7–12 September 2015; pp. 121–123. [Google Scholar] [CrossRef]
- Liu, C.; Booske, J.H.; Behdad, N. Investigating failure mechanisms in high-power microwave frequency selective surfaces. In Proceedings of the 2014 IEEE Antennas and Propagation Society International Symposium (APSURSI), Memphis, TN, USA, 6–11 July 2014; pp. 2058–2059. [Google Scholar] [CrossRef]
- Fang, J.; Li, H.; Cao, Q.; Wang, Y. Study of an Optically Controlled Active Frequency Selective Surface. IEEE Antennas Wirel. Propag. Lett. 2018, 17, 1707–1711. [Google Scholar] [CrossRef]
- Wang, P.; Gao, H. A terahertz frequency selective surface band-pass filter. In Proceedings of the 2018 12th International Symposium on Antennas, Propagation and EM Theory (ISAPE), Hangzhou, China, 3–6 December 2018; pp. 1–3. [Google Scholar] [CrossRef]
- Hosseinipanah, M.; Wu, Q. Novel frequency selective surfaces designing by modification of Jerusalem cross slot. In Proceedings of the 2008 International Conference on Microwave and Millimeter Wave Technology, Nanjing, China, 21–24 April 2008; pp. 44–47. [Google Scholar] [CrossRef]
- Fan, J.; Jin, T.; Liang, J.C. A New Dual-band FSS with Stable Frequency Responses. In Proceedings of the 2019 Photonics & Electromagnetics Research Symposium-Fall (PIERS-Fall), Xiamen, China, 17–20 December 2019; pp. 3005–3008. [Google Scholar] [CrossRef]
- Li, Y.; Xiang, Z.; Ren, P. A Novel Structure of FSS with Stable Property for Wireless Communication in S-band. In Proceedings of the 2018 12th International Symposium on Antennas, Propagation and EM Theory (ISAPE), Hangzhou, China, 3–6 December 2018; pp. 1–3. [Google Scholar] [CrossRef]
- Manabe, T.; Ochiai, S.; Nishibori, T.; Kikuchi, K. Maltese-cross slot-array type frequency selective surface for a submillimeter-wave band. In Proceedings of the 2017 International Symposium on Antennas and Propagation (ISAP), Phuket, Thailand, 30 October–2 November 2017; pp. 1–2. [Google Scholar] [CrossRef]
- Torres, F.; Jecko, B. Complete FDTD analysis of microwave heating processes in frequency-dependent and temperature-dependent media. IEEE Trans. Microw. Theory Technol. 1997, 45, 108–117. [Google Scholar] [CrossRef]
- Guo, Q.; Li, Z.; Su, J.; Song, J.; Yang, L.Y. Active Frequency Selective Surface with Wide Reconfigurable Passband. IEEE Access 2019, 7, 38348–38355. [Google Scholar] [CrossRef]
- Guo, M.; Guo, T.; Cheng, Q.; Zheng, Y.; Fu, Y. Frequency Selective Rasorber With Anisotropic Transmission Band. IEEE Antennas Wirel. Propag. Lett. 2021, 20, 155–159. [Google Scholar] [CrossRef]
- Zhao, P.; Zong, Z.; Wu, W.; Li, B.; Fang, D. Miniaturized-Element Bandpass FSS by Loading Capacitive Structures. IEEE Trans. Antennas Propag. 2019, 67, 3539–3544. [Google Scholar] [CrossRef]
- Chou, H.-H.; Ke, G.-J. Narrow Bandpass Frequency Selective Surface with High Level of Angular Stability at Ka-Band. IEEE Microw. Wirel. Compon. Lett. 2021, 31, 361–364. [Google Scholar] [CrossRef]
- Al-Joumayly, M.; Behdad, N. A New Technique for Design of Low-Profile, Second-Order, Bandpass Frequency Selective Surfaces. IEEE Trans. Antennas Propag. 2009, 57, 452–459. [Google Scholar] [CrossRef]

















| Structures | S = 2, w = 4.6 | S = 6, w = 2.3 | S = 10, w = 1.3 |
|---|---|---|---|
| Maximum power at 140 °C | 5.5 W (0.22 W/cm2) | 22 W (0.88 W/cm2) | 51 W (2.04 W/cm2) |
Publisher’s Note: MDPI stays neutral with regard to jurisdictional claims in published maps and institutional affiliations. |
© 2022 by the authors. Licensee MDPI, Basel, Switzerland. This article is an open access article distributed under the terms and conditions of the Creative Commons Attribution (CC BY) license (https://creativecommons.org/licenses/by/4.0/).
Share and Cite
Lu, Y.; Chen, J.; Li, J.; Xu, W. A Study on the Electromagnetic–Thermal Coupling Effect of Cross-Slot Frequency Selective Surface. Materials 2022, 15, 640. https://doi.org/10.3390/ma15020640
Lu Y, Chen J, Li J, Xu W. A Study on the Electromagnetic–Thermal Coupling Effect of Cross-Slot Frequency Selective Surface. Materials. 2022; 15(2):640. https://doi.org/10.3390/ma15020640
Chicago/Turabian StyleLu, Yi, Juan Chen, Jianxing Li, and Wenjing Xu. 2022. "A Study on the Electromagnetic–Thermal Coupling Effect of Cross-Slot Frequency Selective Surface" Materials 15, no. 2: 640. https://doi.org/10.3390/ma15020640
APA StyleLu, Y., Chen, J., Li, J., & Xu, W. (2022). A Study on the Electromagnetic–Thermal Coupling Effect of Cross-Slot Frequency Selective Surface. Materials, 15(2), 640. https://doi.org/10.3390/ma15020640

