Vibrational Dynamics in crystalline 4-(dimethylamino) benzaldehyde: Inelastic Neutron Scattering and Periodic DFT Study
Abstract
:1. Introduction
2. Materials and Methods
3. Results and Discussion
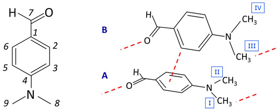
3.1. Molecular Geometry and Intermolecular Interactions
3.2. Calculated vs. Experimental Spectra
4. Conclusions
Author Contributions
Funding
Data Availability Statement
Acknowledgments
Conflicts of Interest
References
- Araujo, C.; Freire, C.S.R.; Nolasco, M.M.; Ribeiro-Claro, P.J.A.; Rudić, S.; Silvestre, A.J.D.; Vaz, P.D. Hydrogen bond dynamics of cellulose through Inelastic Neutron Scattering Spectroscopy. Biomacromolecules 2018, 19, 1305–1313. [Google Scholar] [CrossRef] [PubMed]
- Araujo, C.F.; Nolasco, M.M.; Ribeiro-Claro, P.J.A.; Rudić, S.; Silvestre, A.J.D.; Vaz, P.D.; Sousa, A.F. Inside PEF: Chain conformation and dynamics in crystalline and amorphous domains. Macromolecules 2018, 51, 3515–3526. [Google Scholar] [CrossRef]
- Parker, S.F.; Butler, I.R. Synthesis, computational studies, inelastic neutron scattering, infrared and raman spectroscopy of ruthenocene. Eur. J. Inorg. Chem. 2019, 2019, 1142–1146. [Google Scholar] [CrossRef] [Green Version]
- Nolasco, M.M.; Araujo, C.F.; Vaz, P.D.; Amado, A.M.; Ribeiro-Claro, P. Vibrational dynamics of crystalline 4-phenylbenzaldehyde from INS spectra and periodic DFT calculations. Molecules 2020, 25, 1374. [Google Scholar] [CrossRef] [PubMed] [Green Version]
- Bilski, P.; Druzbicki, K.; Jenczyk, J.; Mielcarek, J.; Wasicki, J. Molecular and vibrational dynamics in the cholesterol-lowering agent lovastatin: Solid-state NMR, inelastic neutron scattering, and periodic DFT study. J. Phys. Chem. B 2017, 121, 2776–2787. [Google Scholar] [CrossRef]
- Pawlukojć, A.; Hetmańczyk, Ł. INS, DFT and temperature dependent IR studies on dynamical properties of acetylcholine chloride. Vib. Spectrosc. 2016, 82, 37–43. [Google Scholar] [CrossRef]
- Drużbicki, K.; Mikuli, E.; Pałka, N.; Zalewski, S.; Ossowska-Chruściel, M.D. Polymorphism of resorcinol explored by complementary vibrational spectroscopy (FT-RS, THz-TDS, INS) and first-principles solid-state computations (Plane-Wave DFT). J. Phys. Chem. B 2015, 119, 1681–1695. [Google Scholar] [CrossRef] [PubMed]
- Zhong, L.; Parker, S.F. Structure and vibrational spectroscopy of methanesulfonic acid. R. Soc. Open Sci. 2018, 5, 181363. [Google Scholar] [CrossRef] [PubMed] [Green Version]
- Ribeiro-Claro, P.J.A.; Vaz, P.D.; Nolasco, M.M.; Araujo, C.F.; Gil, F.P.S.C.; Amado, A.M. Vibrational dynamics of 4-fluorobenzaldehyde from periodic DFT calculations. Chem. Phys. Lett. X 2019, 737, 100006. [Google Scholar] [CrossRef]
- Ribeiro-Claro, P.J.A.; Vaz, P.D.; Nolasco, M.M.; Gil, F.P.S.C.; de Carvalho, L.A.E.; Marques, M.P.M.; Amado, A.M. New Insights on the vibrational dynamics of 2-Methoxy-, 4-Methoxy- and 4-Ethoxy-Benzaldehyde from INS Spectra and Periodic DFT calculations. Materials 2021, 14, 4561. [Google Scholar] [CrossRef]
- Parker, S.F.; Lennon, D.; Albers, P.W. Vibrational spectroscopy with neutrons: A review of new directions. Appl. Spectrosc. 2011, 65, 1325–1341. [Google Scholar] [CrossRef]
- Parker, S.F.; Fernandez-Alonso, F.; Ramirez-Cuesta, A.J.; Tomkinson, J.; Rudic, S.; Pinna, R.S.; Gorini, G.; Fernandez Castanon, J. Recent and future developments on TOSCA at ISIS. J. Phys. Conf. Ser. 2014, 554, 012003. [Google Scholar] [CrossRef]
- Arnold, O.; Bilheux, J.C.; Borreguero, J.M.; Buts, A.; Campbell, S.I.; Chapon, L.; Doucet, M.; Draper, N.; Leal, R.F.; Gigg, M.A.; et al. Mantid-Data analysis and visualization package for neutron scattering and mu SR experiments. Nucl. Instrum. Methods Phys. Res. A 2014, 764, 156–166. [Google Scholar] [CrossRef] [Green Version]
- Perdew, J.P.; Burke, K.; Ernzerhof, M. Generalized gradient approximation made simple. Phys. Rev. Lett. 1996, 77, 3865–3868. [Google Scholar] [CrossRef] [PubMed] [Green Version]
- Frisch, M.J.; Trucks, G.W.; Schlegel, H.B.; Scuseria, G.E.; Robb, M.A.; Cheeseman, J.R.; Scalmani, G.; Barone, V.; Mennucci, B.; Petersson, G.A.; et al. Gaussian 09, Revision A. Available online: https://www.scienceopen.com/document?vid=6be7271f-f651-464b-aee6-ef20b0743b6b (accessed on 6 November 2021).
- Clark, S.J.; Segall, M.D.; Pickard, C.J.; Hasnip, P.J.; Probert, M.J.; Refson, K.; Payne, M.C. First principles methods using CASTEP. Z. Fur Krist. 2005, 220, 567–570. [Google Scholar] [CrossRef] [Green Version]
- Refson, K.; Tulip, P.R.; Clark, S.J. Variational density-functional perturbation theory for dielectrics and lattice dynamics. Phys. Rev. B 2006, 73, 155114. [Google Scholar] [CrossRef] [Green Version]
- Gao, B.; Zhu, J.-L. 4-(Dimethylamino) benzaldehyde. Acta Crystallogr. Sect. E Struct. Rep. Online 2008, 64, o1182. [Google Scholar] [CrossRef]
- Ribeiro-Claro, P.J.A.; Vaz, P.D.; Nolasco, M.M.; Amado, A.M. Understanding the vibrational spectra of crystalline isoniazid: Raman, IR and INS spectroscopy and solid-state DFT study. Spectrochim. Acta Part A Mol. Biomol. Spectrosc. 2018, 204, 452–459. [Google Scholar] [CrossRef]
- Baroni, S.; de Gironcoli, S.; Dal Corso, A.; Giannozzi, P. Phonons and related crystal properties from density-functional perturbation theory. Rev. Mod. Phys. 2001, 73, 515–562. [Google Scholar] [CrossRef] [Green Version]
- Jmol. An Open-Source Java Viewer for Chemical Structures in 3D. Available online: http://jmol.sourceforge.net/ (accessed on 6 November 2021).
- Dymkowski, K.; Parker, S.F.; Fernandez-Alonso, F.; Mukhopadhyay, S. AbINS: The modern software for INS interpretation. Phys. B Condens. Matter 2018, 551, 443–448. [Google Scholar] [CrossRef]
- Edith, A.K.; Vicente, H.; Graca, M.; Fronczek, F.R. 4-(dimethylamino) benzaldehyde. CCDC 2023780. Exp. Cryst. Struct. Determ. 2020. [Google Scholar] [CrossRef]
- Drużbicki, K.; Mielcarek, J.; Kiwilsza, A.; Toupet, L.; Collet, E.; Pajzderska, A.; Wąsicki, J. Computationally assisted (solid-state density functional theory) structural (X-ray) and vibrational spectroscopy (FT-IR, FT-RS, TDs-THz) characterization of the cardiovascular drug lacidipine. Cryst. Growth Des. 2015, 15, 2817–2830. [Google Scholar] [CrossRef]
- Rocha, M.; Di Santo, A.; Marcelo Arias, J.; Gil, D.M.; Ben Altabef, A. Ab-initio and DFT calculations on molecular structure, NBO, HOMO-LUMO study and a new vibrational analysis of 4-(Dimethylamino) Benzaldehyde. Spectrochim. Acta Part A Mol. Biomol. Spectrosc. 2015, 136, 635–643. [Google Scholar] [CrossRef]
- Adilina, I.B.; Aulia, F.; Fitriady, M.A.; Oemry, F.; Widjaya, R.R.; Parker, S.F. Computational and spectroscopic studies of carbon disulfide. Molecules 2020, 25, 1901. [Google Scholar] [CrossRef]
- Kushto, G.P.; Jagodzinski, P.W. Vibrational spectra and normal coordinate analysis of 4-(dimethylamino) benzaldehyde and selected isotopic derivatives. Spectrochim. Acta Part A Mol. Biomol. Spectrosc. 1998, 54, 799–819. [Google Scholar] [CrossRef]
- Ribeiro-Claro, P.J.A.; Vaz, P.D.; Nolasco, M. Crystal structure landscapes from combined vibrational spectroscopy and ab initio calculations: 4-(Dimethylamino)benzaldehyde. J. Mol. Struct. Theochem. 2010, 946, 65–69. [Google Scholar] [CrossRef]
- Zachariou, A.; Hawkins, A.P.; Collier, P.; Howe, R.F.; Lennon, D.; Parker, S.F. The methyl torsion in unsaturated compounds. ACS Omega 2020, 5, 2755–2765. [Google Scholar] [CrossRef] [PubMed] [Green Version]
- Araujo, C.F.; Coutinho, J.A.P.; Nolasco, M.M.; Parker, S.F.; Ribeiro-Claro, P.J.A.; Rudić, S.; Soares, B.I.G.; Vaz, P.D. Inelastic neutron scattering study of reline: Shedding light on the hydrogen bonding network of deep eutectic solvents. Phys. Chem. Chem. Phys. 2017, 19, 17998–18009. [Google Scholar] [CrossRef] [Green Version]
- Emel’yanenko, V.N.; Pimerzin, A.A.; Turovtsev, V.V.; Verevkin, S.P. Benchmark thermochemistry of N-Methylaniline. J. Phys. Chem. A 2015, 119, 2142–2152. [Google Scholar] [CrossRef]
- Fujitake, M.; Aoyama, J.; Ohashi, N. Fourier-transform microwave spectroscopy of N-methylaniline. J. Mol. Spectrosc. 2006, 235, 27–34. [Google Scholar] [CrossRef]





| X-ray (A) | X-ray (B) | CASTEP (A) | CASTEP (B) | G09 | |
|---|---|---|---|---|---|
| Bond length/pm | |||||
| C7=O | 121.2 | 120.4 | 123.7 | 123.7 | 122.5 |
| C1-C7 | 145.4 | 145.8 | 144.9 | 145.3 | 146.8 |
| C4-N | 136.6 | 136.6 | 137.3 | 137.0 | 137.6 |
| Bond angle/° | |||||
| C1-C7-O | 125.1 | 126.2 | 126.10 | 125.7 | 125.4 |
| C4-N-C8 | 121.2 | 120.9 | 120.7 | 120.9 | 120.4 |
| Dihedral angle/° | |||||
| C2C1-C7O | 1.4 | 1.6 | 1.5 | 0.3 | 0.0 |
| C3C4-NC8 | −2.4 | 4.7 | −3.2 | 5.8 | 0.0 |
| Distance/pm | |||||
| C8(H)…O | 359.1 | 363.4 | 356.8 | 366.6 | - |
| C2(H)…Cg 1 | 359.3 | 363.1 | - | ||
| π...π (C1…C4′) 2 | 370.4 | 377.0 | - |
| Calculated (CASTEP) 1 | Experimental (TOSCA) | Approximate Description |
|---|---|---|
| 1479 | 1473 | βCH3 |
| 1442 | 1443 | βCH3 |
| 1394 | 1408 | βCH3 |
| 1382 | 1388 | βCH(=O) |
| 1298 | 1309 | βCH |
| 1229 | 1234 | νC-CHO |
| 1156 | 1161 | βCH |
| 1108 | 1116 | βCH |
| 1089 | 1116 | rock CH3 |
| 1050 | 1065 | rock CH3 |
| 985 | 993 | γCH(=O) |
| 963 | 970 | γCH |
| 940 | 951 | γCH |
| 930 | 933 | νN-(CH3)2 |
| 814 | 825 | γCH |
| 795 | 806 | γCH |
| 718 | 719 | δ ring |
| 625 | 630 | α ring |
| 593 | 594 | α ring |
| 505 | 509 | δ ring |
| 483 | 490 | β N-(CH3)2 |
| 461 | 470 | β N-(CH3)2 |
| 433 | 431 | δ ring |
| 345 | 348 | α ring |
| 329 | 336 | γ ring-CHO |
| - | 275 | (see text) |
| 281 | 265 | β ring-N(CH3)2 |
| 255 | 247 | γ ring-N(CH3)2 |
| 251 | 237 | |
| 219 | 210 | τ N-CH3 |
| 195 | 184 | |
| 189 | 180 | τ N-CH3 |
| 182 | 172 | |
| 168 | 162 | β ring-CHO |
| 155 | 153 | γ N-(CH3)2 |
| 146 | 138 | |
| 128 | 128 | τ C-N(CH3)2 |
| 113 | 115 | |
| 101 | 105 | τ C-CHO |
| 95 | 90 | Libration |
| 83 | 75 | Libration |
| 66 | 67 | Libration |
| 49 | 51 | Translation |
| 43 | 39 | Translation |
Publisher’s Note: MDPI stays neutral with regard to jurisdictional claims in published maps and institutional affiliations. |
© 2022 by the authors. Licensee MDPI, Basel, Switzerland. This article is an open access article distributed under the terms and conditions of the Creative Commons Attribution (CC BY) license (https://creativecommons.org/licenses/by/4.0/).
Share and Cite
Nolasco, M.M.; Ribeiro-Claro, P.J.A.; Vaz, P.D. Vibrational Dynamics in crystalline 4-(dimethylamino) benzaldehyde: Inelastic Neutron Scattering and Periodic DFT Study. Materials 2022, 15, 475. https://doi.org/10.3390/ma15020475
Nolasco MM, Ribeiro-Claro PJA, Vaz PD. Vibrational Dynamics in crystalline 4-(dimethylamino) benzaldehyde: Inelastic Neutron Scattering and Periodic DFT Study. Materials. 2022; 15(2):475. https://doi.org/10.3390/ma15020475
Chicago/Turabian StyleNolasco, Mariela M., Paulo J. A. Ribeiro-Claro, and Pedro D. Vaz. 2022. "Vibrational Dynamics in crystalline 4-(dimethylamino) benzaldehyde: Inelastic Neutron Scattering and Periodic DFT Study" Materials 15, no. 2: 475. https://doi.org/10.3390/ma15020475
APA StyleNolasco, M. M., Ribeiro-Claro, P. J. A., & Vaz, P. D. (2022). Vibrational Dynamics in crystalline 4-(dimethylamino) benzaldehyde: Inelastic Neutron Scattering and Periodic DFT Study. Materials, 15(2), 475. https://doi.org/10.3390/ma15020475

