Influence of Different Device Structures on the Degradation for Trench-Gate SiC MOSFETs: Taking Avalanche Stress as an Example
Abstract
:1. Introduction
2. Device Structures and Experiment Conditions
3. Results and Discussions
3.1. Degradation of Electrical Characteristics
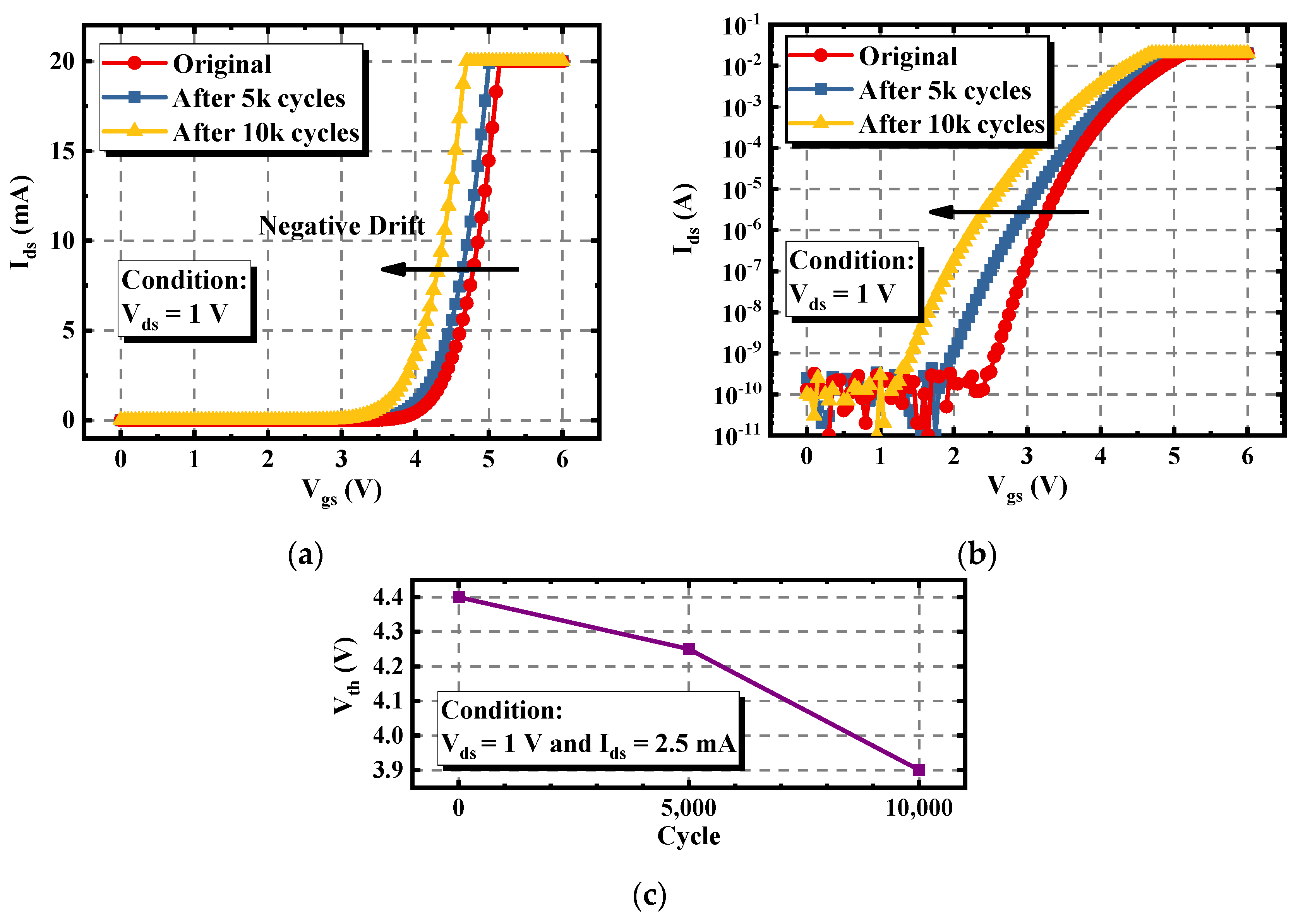
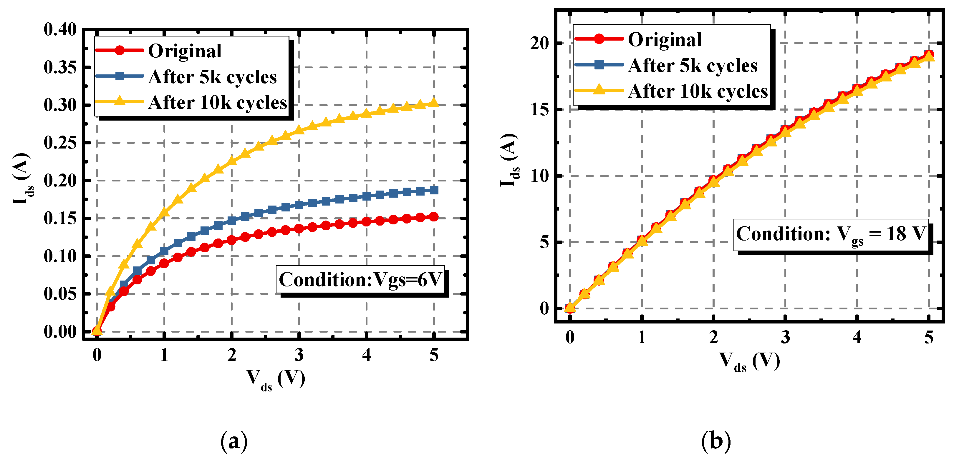
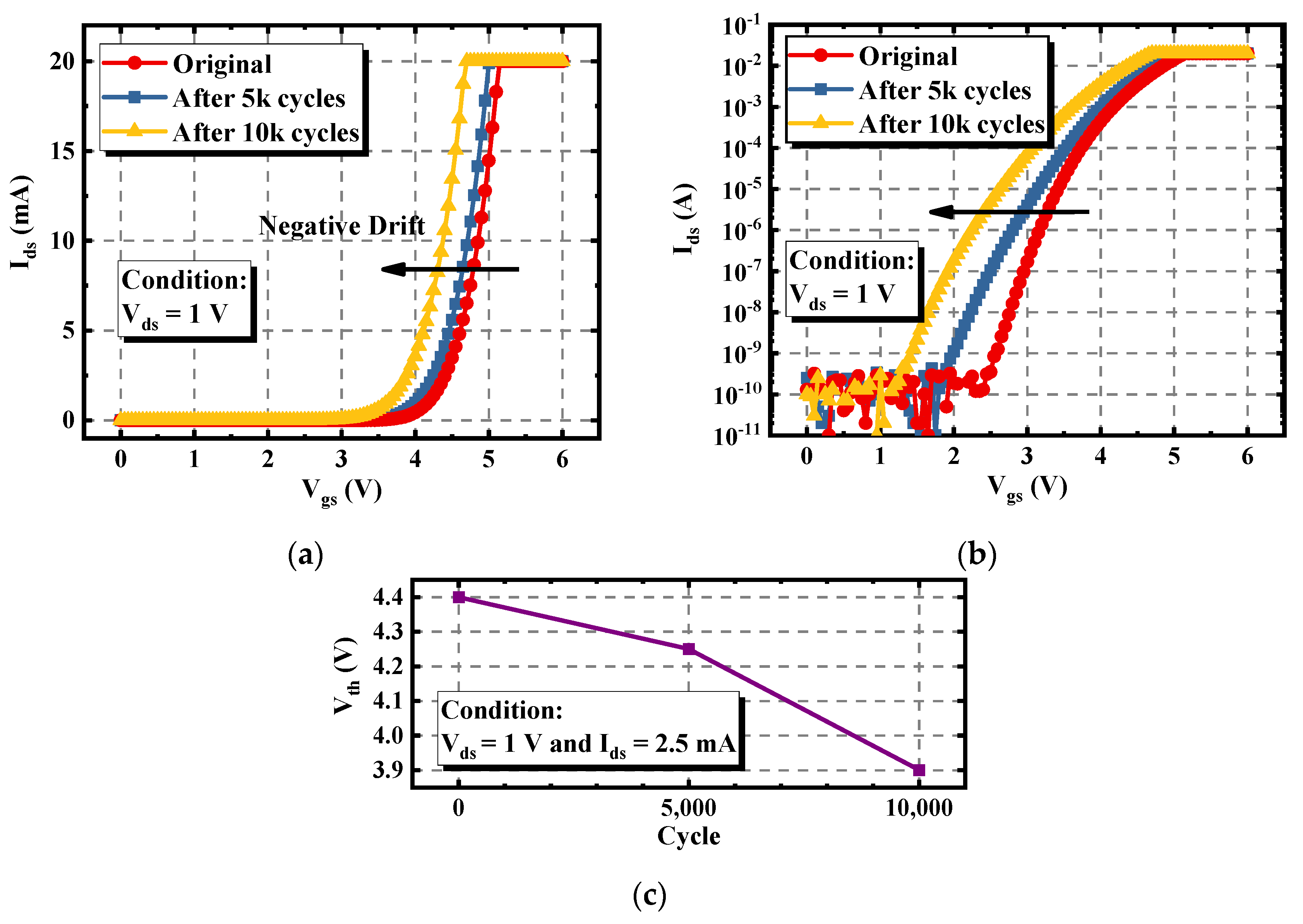
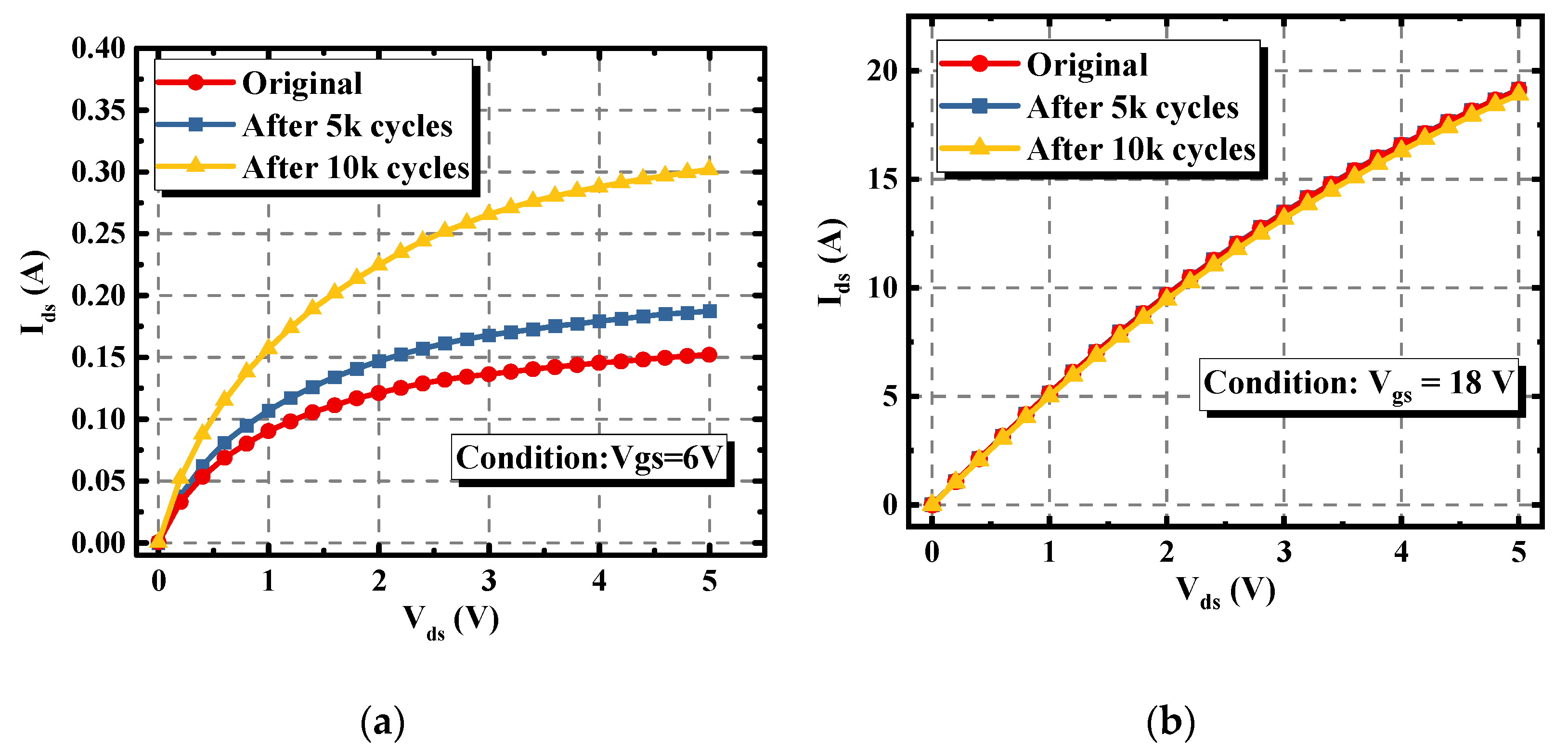
3.1.1. Asymmetric Trench SiC MOSFET
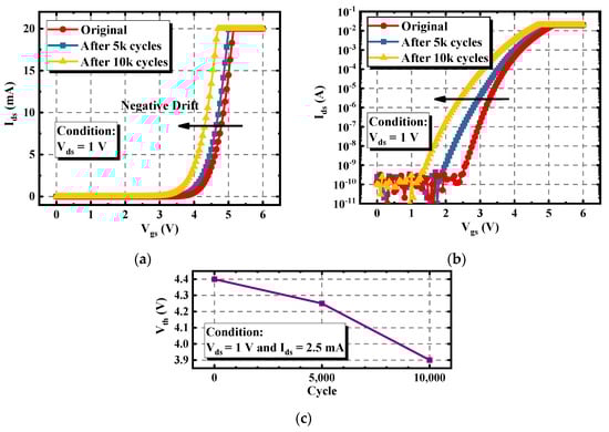
3.1.2. Double-Trench SiC MOSFET
3.2. Simulations and Analysis
4. Conclusions
Author Contributions
Funding
Institutional Review Board Statement
Informed Consent Statement
Data Availability Statement
Conflicts of Interest
References
- Takeyama, A.; Makino, T.; Okubo, S.; Tanaka, Y.; Yoshie, T.; Hijikata, Y.; Ohshima, T. Radiation Response of Negative Gate Biased SiC MOSFETs. Materials 2019, 12, 2741. [Google Scholar] [CrossRef] [PubMed] [Green Version]
- She, X.; Huang, A.Q.; Lucía, Ó.; Ozpineci, B. Review of Silicon Carbide Power Devices and Their Applications. IEEE Trans. Ind. Electron. 2017, 64, 8193–8205. [Google Scholar] [CrossRef]
- Mantooth, H.A.; Glover, M.D.; Shepherd, P. Wide Bandgap Technologies and Their Implications on Miniaturizing Power Rlectronic Systems. IEEE J. Emerg. Sel. Top. Power Electron. 2014, 2, 374–385. [Google Scholar] [CrossRef]
- Hamada, K.; Nagao, M.; Ajioka, M.; Kawai, F. SiC—Emerging Power Device Technology for Next-Generation Electrically Powered Environmentally Friendly Vehicles. IEEE Trans. Electron Devices 2015, 62, 278–285. [Google Scholar] [CrossRef]
- Palmour, J.W. Silicon Carbide Power Device Development for Industrial Markets. In Proceeding of the IEEE International Electron Devices Meeting (IEDM) 2014, San Francisco, CA, USA, 15–17 December 2014; pp. 1.1.1–1.1.8, ISBN 978-1-4799-8001-7. [Google Scholar]
- Sabri, S.; Brunt, E.V.; Barkley, A.; Hull, B.; O’Loughlin, M.; Burk, A.; Allen, S.; Palmour, J. New Generation 6.5 kV SiC Power MOSFET. In Proceeding of the IEEE the Workshop on Wide Bandgap Power Devices and Applications (WiPDA) 2017, Albuquerque, NM, USA, 30 October–1 November 2017; pp. 246–250, ISBN 978-1-5386-3117-1. [Google Scholar]
- Giovanni, F.D.; Buonomo, S. Latest Developments in Silicon Carbide MOSFETs: Advantages and Benefits vs. Application. In Proceeding of the AEIT Annual Conference 2013, Mondello, Italy, 3–5 October 2013; pp. 1–6, ISBN 978-8-8872-3732-0. [Google Scholar]
- Anwar, S.; Wang, Z.J.; Chinthavali, M. Characterization and Comparison of Trench and Planar Silicon Carbide (SiC) MOSFET at Different Temperatures. In Proceeding of the IEEE Transportation Electrification Conference and Expo (ITEC) 2018, Long Beach, CA, USA, 13–15 June 2018; pp. 1039–1045, ISBN 978-1-5386-3048-8. [Google Scholar]
- Na, J.; Cheon, J.; Kim, K. 4H-SiC Double Trench MOSFET with Split Heterojunction Gate for Improving Switching Characteristics. Materials 2021, 14, 3554. [Google Scholar] [CrossRef] [PubMed]
- Tian, K.; Hallén, A.; Qi, J.; Nawaz, M.; Ma, S.; Wang, M.; Guo, S.; Elgammal, K.; Li, A.; Liu, W. Comprehensive Characterization of the 4H-SiC Planar and Trench Gate MOSFETs From Cryogenic to High Temperature. IEEE Trans. Electron Devices 2019, 66, 4279–4286. [Google Scholar] [CrossRef]
- Huang, W.; Deng, X.; Li, X.; Wen, Y.; Li, X.; Li, Z.; Zhang, B. Investigation of Surge Current Reliability of 1200V Planar and Trench SiC MOSFET. In Proceedings of the IEEE 15th International Conference on Solid-State & Integrated Circuit Technology (ICSICT) 2020, Kunming, China, 3–6 November 2020; pp. 1–3, ISBN 978-1-7281-6235-5. [Google Scholar]
- Aichinger, T.; Schmidt, M. Gate-oxide reliability and failure-rate reduction of industrial SiC MOSFETs. In Proceedings of the IEEE International Reliability Physics Symposium (IRPS) 2020, Dallas, TX, USA, 28 April–30 May 2020; pp. 1–6, ISBN 978-1-7281-3199-3. [Google Scholar]
- Nakamura, T.; Nakano, Y.; Aketa, M.; Nakamura, R.; Mitani, S.; Sakairi, H.; Yokotsujiet, Y. High Performance SiC Trench Devices with Ultra-low Ron. In Proceeding of the IEEE International Electron Devices Meeting (IEDM) 2011, Washington, DC, USA, 5–7 December 2011; pp. 26.5.1–26.5.3, ISBN 978-1-4577-0505-2. [Google Scholar]
- Peters, D.; Siemieniec, R.; Aichinger, T.; Basler, T.; Esteve, R.; Bergner, W.; Kueck, D. Performance and Ruggedness of 1200V SiC-Trench-MOSFET. In Proceeding of the International Symposium on Power Semiconductor Devices and IC’s (ISPSD) 2017, Sapporo, Japan, 28 May–1 June 2017; pp. 239–242, ISBN 978-4-88686-096-5. [Google Scholar]
- Boige, F.; Richardeau, F. Gate leakage-current analysis and modelling of planar and trench power sic mosfet devices in extreme short-circuit operation. Microelectron. Rel. 2017, 76–77, 532–538. [Google Scholar] [CrossRef]
- Wei, J.; Liu, S.; Tong, J.; Zhang, X.; Sun, W.; Huang, A.Q. Understanding Short-Circuit Failure Mechanism of Double-Trench SiC Power MOSFETs. IEEE Trans. Electron Devices 2020, 67, 5593–5599. [Google Scholar] [CrossRef]
- Yao, K.; Yano, H.; Tadano, H.; Iwamuro, N. Investigations of SiC MOSFET Short-Circuit Failure Mechanisms Using Electrical, Thermal, and Mechanical Stress Analyses. IEEE Trans. Electron Devices 2020, 67, 4328–4334. [Google Scholar] [CrossRef]
- Wei, J.; Liu, S.; Zhao, H.; Fu, H.; Sun, W. Verification of Single-Pulse Avalanche Failure Mechanism for Double-Trench SiC Power MOSFETs. IEEE J. Emerg. Sel. Top. Power Electron. 2021, 9, 2190–2200. [Google Scholar] [CrossRef]
- Li, X.; Tong, X.; Hu, R.; Wen, Y.; Zhu, H.; Deng, X.; Sun, Y.; Chen, W. Failure Mechanism of Avalanche Condition for 1200V Double Trench SiC MOSFET. IEEE J. Emerg. Sel. Top. Power Electron. 2021, 9, 2147–2154. [Google Scholar] [CrossRef]
- Wei, J.; Liu, S.; Yang, L.; Tang, L.; Lou, R.; Li, T.; Fang, J.; Li, S.; Zhang, C.; Sun, S. Investigations on the Degradations of Double-Trench SiC Power MOSFETs Under Repetitive Avalanche Stress. IEEE Trans. Electron Devices 2019, 66, 546–552. [Google Scholar] [CrossRef]
- Wang, Z.; Li, Y.; Sun, X.; Liu, Y.; Zhu, Z.; Ren, N.; Guo, Q. Reliability Investigation on SiC Trench MOSFET under Repetitive Surge Current Stress of Body Diode. In Proceeding of the IEEE Workshop on Wide Bandgap Power Devices and Applications in Asia (WiPDA Asia) 2020, Suita, Japan, 23–25 September 2020; pp. 1–4, ISBN 978-1-7281-5955-3. [Google Scholar]
- Fu, H.; Wei, J.; Yan, X.; Zhao, H.; Liu, S. Degradation Investigations on Asymmetric Trench SiC Power MOSFETs Under Repetitive Unclamped Inductive Switching Stress. In Proceeding of the International Symposium on Power Semiconductor Devices and IC’s (ISPSD) 2021, Nagoya, Japan, 30 May–3 June 2021; pp. 239–242, ISBN 978-4-88686-422-2. [Google Scholar]
- Deng, X.; Li, X.; Li, X.; Zhu, H.; Xu, X.; Wen, Y.; Sun, Y.; Chen, W.; Li, Z.; Zhang, B. Short-Circuit Capability Prediction and Failure Mode of Asymmetric and Double Trench SiC MOSFETs. IEEE Trans. Power Electron. 2020, 36, 8300–8307. [Google Scholar] [CrossRef]
- Zhu, Z.; Xu, H.; Liu, L.; Ren, N.; Sheng, K. Investigation on Surge Current Capability of 4H-SiC Trench-Gate MOSFETs in Third Quadrant Under Various VGS Biases. IEEE J. Emerg. Sel. Top. Power Electron. 2020, 9, 6361–6369. [Google Scholar] [CrossRef]
- Deng, X.; Zhang, B.; Zhu, H.; Li, X.; Zhou, K. Investigation and Failure Mode of Asymmetric and Double Trench SiC MOSFETs Under Avalanche Conditions. IEEE Trans. Power Electron. 2020, 35, 8524–8531. [Google Scholar] [CrossRef]
- Yao, K.; Yano, H.; Iwamuro, N. Investigations of UIS Failure Mechanism in 1.2 kV Trench SiC MOSFETs Using Electro-Thermal-Mechanical Stress Analysis. In Proceeding of the International Symposium on Power Semiconductor Devices and IC’s (ISPSD) 2021, Nagoya, Japan, 30 May–3 June 2021; pp. 115–118, ISBN 978-4-88686-422-2. [Google Scholar]
- Siemieniec, R.; Peters, D.; Esteve, R.; Bergner, W.; Kück, D.; Aichinger, T.; Basler, T.; Zippelius, B. A SiC Trench MOSFET concept offering improved channel mobility and high reliability. In Proceeding of the European Conference on Power Electronics and Applications (EPE’17 ECCE Europe) 2017, Warsaw, Poland, 11–14 September 2017; pp. 1–13, ISBN 978-90-75815-27-6. [Google Scholar]
- Kimoto, T.; Yoshioka, H.; Nakamura, T. Physics of SiC MOS Interface and Development of Trench MOSFETs. In Proceeding of the IEEE Workshop on Wide Bandgap Power Devices and Applications (WiPDA) 2013, Columbus, OH, USA, 27–29 October 2013; pp. 135–138, ISBN 978-1-4799-1194-3. [Google Scholar]












| Electrical Parameters | Double-Trench MOSFET (SCT3160KL) | Asymmetric Trench MOSFET (IMW120R140M1H) |
|---|---|---|
| Ron (mΩ) | 160 | 140 |
| ID (A) | 18 | 19 |
| BV@Idss = 1 uA (V) | 1814 | 1479 |
Publisher’s Note: MDPI stays neutral with regard to jurisdictional claims in published maps and institutional affiliations. |
© 2022 by the authors. Licensee MDPI, Basel, Switzerland. This article is an open access article distributed under the terms and conditions of the Creative Commons Attribution (CC BY) license (https://creativecommons.org/licenses/by/4.0/).
Share and Cite
Wei, Z.; Fu, H.; Yan, X.; Li, S.; Zhang, L.; Wei, J.; Liu, S.; Sun, W.; Wu, W.; Bai, S. Influence of Different Device Structures on the Degradation for Trench-Gate SiC MOSFETs: Taking Avalanche Stress as an Example. Materials 2022, 15, 457. https://doi.org/10.3390/ma15020457
Wei Z, Fu H, Yan X, Li S, Zhang L, Wei J, Liu S, Sun W, Wu W, Bai S. Influence of Different Device Structures on the Degradation for Trench-Gate SiC MOSFETs: Taking Avalanche Stress as an Example. Materials. 2022; 15(2):457. https://doi.org/10.3390/ma15020457
Chicago/Turabian StyleWei, Zhaoxiang, Hao Fu, Xiaowen Yan, Sheng Li, Long Zhang, Jiaxing Wei, Siyang Liu, Weifeng Sun, Weili Wu, and Song Bai. 2022. "Influence of Different Device Structures on the Degradation for Trench-Gate SiC MOSFETs: Taking Avalanche Stress as an Example" Materials 15, no. 2: 457. https://doi.org/10.3390/ma15020457
APA StyleWei, Z., Fu, H., Yan, X., Li, S., Zhang, L., Wei, J., Liu, S., Sun, W., Wu, W., & Bai, S. (2022). Influence of Different Device Structures on the Degradation for Trench-Gate SiC MOSFETs: Taking Avalanche Stress as an Example. Materials, 15(2), 457. https://doi.org/10.3390/ma15020457

