The Microstructure Transformations and Wear Properties of Nanostructured Bainite Steel with Different Si Content
Abstract
:1. Introduction
2. Experimental Procedure
2.1. Material Preparation and Heat Treatment
2.2. Analytical Methods
3. Results and Discussion
3.1. Microstructure and Phase Composition
3.2. Hardness and Impact Toughness
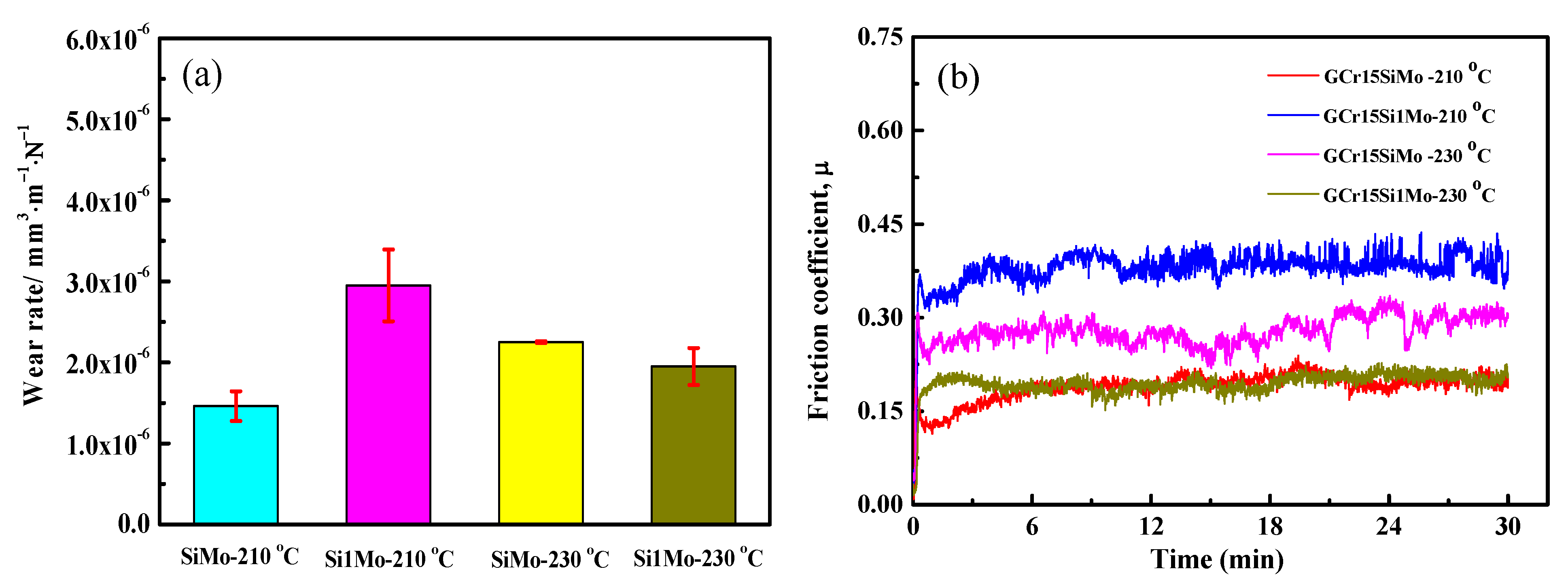
3.3. Friction and Wear Properties
4. Conclusions
Author Contributions
Funding
Institutional Review Board Statement
Informed Consent Statement
Data Availability Statement
Conflicts of Interest
References
- Yang, Z.N.; Dai, L.Q.; Chu, C.H.; Zhang, F.C.; Wang, L.W.; Xiao, A.P. Effect of aluminum alloying on the hot deformation behavior of nano-bainite bearing steel. J. Mater. Eng. Perform. 2017, 26, 5954–5962. [Google Scholar] [CrossRef]
- Yang, Z.N.; Ji, Y.L.; Zhang, F.C.; Zhang, M.; Nawaz, B.; Zheng, C.L. Microstructural evolution and performance change of a carburized nanostructured bainitic bearing steel during rolling contact fatigure process. Mater. Sci. Eng. A 2018, 725, 98–107. [Google Scholar] [CrossRef]
- Sun, D.; Zhao, J.; Zhang, M.; Fang, Q.; Long, X.; Zhang, F.; Yang, Z. In-situ observation of phase transformation during heat treatment process of high-carbon bainitic bearing steel. J. Mater. Res. Technol. 2022, 19, 3713–3723. [Google Scholar] [CrossRef]
- Kowathanakul, N.; Yu, Q.; Zhu, C.; Li, X.; Minor, A.M.; Ritchie, R.O. Fatigue-crack propagation behavior in a high-carbon chromium SUJ2 bearing steel: Role of microstructure. Int. J. Fatigue 2021, 156, 106693. [Google Scholar] [CrossRef]
- Yang, C.; Luan, Y.; Li, D.; Li, Y. Effects of rare earth elements on inclusions and impact toughness of high-carbon chromium bearing steel. J. Mater. Sci. Technol. 2019, 35, 1298–1308. [Google Scholar] [CrossRef]
- Lu, X.; Yang, Z.; Qian, D.; Lan, J.; Hua, L. Effect of martensite pre-quenching on bainite transformation kinetics, martensite/bainite duplex microstructures, mechanical properties and retained austenite stability of GCr15 bearing steel. J. Mater. Res. Technol. 2021, 15, 2429–2438. [Google Scholar] [CrossRef]
- Zhang, F.C.; Yang, Z.N. Development of and perspective on high-performance nanostructured bainitic bearing steel. Eng.-PRC 2019, 5, 319–328. [Google Scholar] [CrossRef]
- Zhao, J.; Liu, D.; Li, Y.; Yang, Y.; Wang, T.; Zhou, Q. Microstructure and Mechanical Properties of Tempered Ausrolled Nanobainite Steel. Crystals 2020, 10, 573. [Google Scholar] [CrossRef]
- Wang, Y.; Yang, Z.; Zhang, F.; Qin, Y.; Wang, X.; Lv, B. Microstructures and properties of a novel carburizing nanobainitic bearing steel. Mater. Sci. Eng. A 2020, 777, 139086. [Google Scholar] [CrossRef]
- Guo, H.; Li, Q.; Fan, Y.; Feng, X. Bainite transformation behavior, microstructural feature and mechanical properties of nanostructured bainitic steel subjected to ausforming with different strain. J. Mater. Res. Technol. 2020, 9, 9206–9218. [Google Scholar] [CrossRef]
- Zhao, J.; Zhao, T.; Hou, C.S.; Zhang, F.C.; Wang, T.S. Improving impact toughness of high-C-Cr bearing steel by Si-Mo alloying and low-temperature austempering. Mater. Design 2015, 86, 215–220. [Google Scholar] [CrossRef]
- Caballero, F.G.; Bhadeshia, H.K.D.H. Very strong bainite. Curr. Opin. Solid State Mater. Sci. 2004, 8, 251–257. [Google Scholar] [CrossRef]
- Caballero, F.G.; Miller, M.K.; Babu, S.S.; Garcia-Mateo, C. Atomic scale observations of bainite transformation in a high carbon high silicon steel. Acta Mater. 2007, 55, 381–390. [Google Scholar] [CrossRef]
- Wang, T.S.; Yang, J.; Shang, C.J.; Li, X.Y.; Lv, B.; Zhang, M.; Zhang, F.C. Sliding friction surface microstructure and wear resistance of 9SiCr steel with low-temperature austempering treatment. Surf. Coat. Technol. 2008, 202, 4036–4040. [Google Scholar] [CrossRef]
- Yang, J.; Wang, T.S.; Zhang, B.; Zhang, F.C. Sliding wear resistance and worn surface microstructure of nanostructured bainitic steel. Wear 2012, 81–84, 282–283. [Google Scholar] [CrossRef]
- Liu, H.; Sun, J.; Jiang, T.; Guo, S.; Liu, Y. Improved rolling contact fatigue life for an ultrahigh-carbon steel with nanobainitic microstructure. Scripta Mater. 2014, 17–20, 90–91. [Google Scholar] [CrossRef]
- Zhao, J.; Hou, C.S.; Zhao, G.; Zhao, T.; Zhang, F.C.; Wang, T.S. Microstructures and mechanical properties of bearing steels modified for preparing nanostructured bainite. J. Mater. Eng. Perform. 2016, 25, 4249–4255. [Google Scholar] [CrossRef]
- Chen, Z.H.; Gu, J.F.; Han, L.Z. Decomposition characteristic of austenite retained in GCr15 bearing steel modified by addition of 0.13 wt.% silicon during tempering. J. Mater. Res. Technol. 2019, 8, 157–166. [Google Scholar] [CrossRef]
- Wu, Y.X.; Sun, W.W.; Gao, X.; Styles, M.J.; Arlazarov, A.; Hutchinson, C.R. The effect of alloying elements on cementite coarsening during martensite tempering. Acta Mater. 2020, 183, 418–437. [Google Scholar] [CrossRef]
- Huang, Q.; Yao, M.; Timokhina, I.; Schimpf, C.; Biermann, H.; Volkova, O.; De Cooman, B.C.; Mola, J. Tempering reactions and elemental redistribution during tempering of martensitic stainless steels. Metall. Mater. Trans. A 2019, 50, 3663–3673. [Google Scholar] [CrossRef]
- Lin, S.; Borgenstam, A.; Stark, A.; Hedström, P. Effect of Si on bainitic transformation kinetic in steels explained by carbon partitioning, carbide formation, dislocation densities, and thermodynamic condition. Mater. Charact. 2022, 185, 111774. [Google Scholar] [CrossRef]
- Zhao, J. Microstructure and Mechanical Properties of Nanostructure Bainite Used for Bearings; Yanshan University: Qinhuangdao, China, 2013. [Google Scholar]
- Jia, X.; Zhao, T.; Wang, L.; Sun, X.; Wang, Y.; Wang, T. Microstructure and mechanical properties of low- and medium-carbon Si-rich low-alloy steels processed by austemping after intercritical annealing. Materials 2022, 15, 1178. [Google Scholar] [CrossRef] [PubMed]
- Kim, D.H.; Kang, J.H.; Gwon, H.; Ryu, J.H.; Kim, S.J. Counter-balancing effects of Si on C partitioning and stacking fault energy of austenite in 10Mn quenching and partitioning steel. J. Mater. Sci. 2022, 98, 248–257. [Google Scholar] [CrossRef]
- Singh, S.B.; Bhadeshia, H.K.D.H. Estimation of bainite plate-thickness in low-alloy steels. Mater. Sci. Eng. A 1998, 245, 72–79. [Google Scholar] [CrossRef]
- Saha, D.C.; Biro, E.; Gerlich, A.P.; Zhou, Y. Influences of blocky retained austenite on the heat-affected zone softening of dual-phase steels. Mater. Lett. 2020, 264, 127368.1–127368.4. [Google Scholar] [CrossRef]
- Xie, Z.J.; Han, G.; Yu, Y.S.; Shang, C.J.; Misra, R.D.K. The determining role of intercritical annealing condition on retained austenite and mechanical properties of a low carbon steel: Experimental and theoretical analysis. Mater. Charact. 2019, 153, 208–214. [Google Scholar] [CrossRef]
- Zhou, Y.X.; Song, X.T.; Liang, J.W.; Shen, Y.F.; Misra, R.D.K. Innovative processing of obtaining nanostructured bainite with high strength-high ductility combination in low-carbon-medium-Mn steel: Process-structure-property relationship. Mater. Sci. Eng. A 2018, 718, 267–276. [Google Scholar] [CrossRef]
- Pineau, A.; Benzerga, A.A.; Pardoen, T. Failure of metals I: Brittle and ductile fracture. Acta. Mater. 2016, 107, 424–483. [Google Scholar] [CrossRef]
- Fu, L.; Han, W.; Gong, K.; Bengtsson, S.; Dong, C.; Zhao, L.; Tian, Z. Microstructure and tribological properties of Cr3C2/Ni3Al composite materials prepared by hot isostatic pressing (HIP). Mater. Des. 2017, 115, 203–212. [Google Scholar] [CrossRef]
- Chigilipalli, B.K.; Anandakrishnan, V. Investigations on dry sliding wear behavior of a wire arc additively manufactured nickel-based superalloy. Tribol. LETT. 2022, 65, 1–16. [Google Scholar] [CrossRef]
- Sevim, I.; Eryurek, I. Effect of fracture toughness on abrasive wear resistance of steels. Mater. Des. 2006, 27, 911–919. [Google Scholar] [CrossRef]
- Park, S.H.; Lee, C.S. Relationship between mechanical properties and high-cycle fatigue strength of medium-carbon steels. Mater. Sci. Eng. A 2017, 690, 185–194. [Google Scholar] [CrossRef]
- Zhang, Z.; Guo, J.; Sun, Y.; Tian, B.; Zheng, X.; Zhou, M.; He, L.; Zhang, S. Effect of crystal refining on wear behaviors and mechanical properties of lithium disilicate glass-ceramics. J. Mech. Behav. Biomed. 2018, 81, 52–60. [Google Scholar] [CrossRef] [PubMed]














| Steel | C | Si | Mn | Cr | Mo | Fe | 
|---|---|---|---|---|---|---|
| GCr15SiMo | 0.97 | 0.78 | 0.34 | 1.47 | 0.39 | balance | 
| GCr15Si1Mo | 0.95 | 1.32 | 0.34 | 1.40 | 0.39 | balance | 
| Content | GCr15SiMo (210 °C) | GCr15Si1Mo (210 °C) | GCr15SiMo (230 °C) | GCr15Si1Mo (230 °C) | 
|---|---|---|---|---|
| Undissolved carbide | 5.2 ± 0.3 | 1.6 ± 0.3 | 1.0 ± 0.3 | <1 ± 0.3 | 
| Bainitic ferrite | 55.8 ± 5 | 58.4 ± 5 | 57.4 ± 5 | 62.1 ± 5 | 
| Retained austenite | 14.2 ± 2 | 17.8 ± 2 | 5.1 ± 2 | 10.9 ± 2 | 
| Martensite | 24.8 | 22.2 | 36.5 | 26.3 | 
| Samples | GCr15SiMo-210 °C | GCr15Si1Mo-210 °C | GCr15SiMo-230 °C | GCr15Si1Mo-230 °C | 
|---|---|---|---|---|
| Hardness/HRC | 59.8 | 59.2 | 59.1 | 59.2 | 
| Impact energy/J | 35 | 51 | 17 | 45 | 
| Publisher’s Note: MDPI stays neutral with regard to jurisdictional claims in published maps and institutional affiliations. | 
© 2022 by the authors. Licensee MDPI, Basel, Switzerland. This article is an open access article distributed under the terms and conditions of the Creative Commons Attribution (CC BY) license (https://creativecommons.org/licenses/by/4.0/).
Share and Cite
Fu, L.; Zhou, M.; Wang, Y.; Gao, Y.; Zhang, Y.; Du, S.; Zhang, Y.; Mao, Y. The Microstructure Transformations and Wear Properties of Nanostructured Bainite Steel with Different Si Content. Materials 2022, 15, 6252. https://doi.org/10.3390/ma15186252
Fu L, Zhou M, Wang Y, Gao Y, Zhang Y, Du S, Zhang Y, Mao Y. The Microstructure Transformations and Wear Properties of Nanostructured Bainite Steel with Different Si Content. Materials. 2022; 15(18):6252. https://doi.org/10.3390/ma15186252
Chicago/Turabian StyleFu, Lihua, Meng Zhou, Yanlin Wang, Yuanan Gao, Yongzhen Zhang, Sanming Du, Yi Zhang, and Yanshan Mao. 2022. "The Microstructure Transformations and Wear Properties of Nanostructured Bainite Steel with Different Si Content" Materials 15, no. 18: 6252. https://doi.org/10.3390/ma15186252
APA StyleFu, L., Zhou, M., Wang, Y., Gao, Y., Zhang, Y., Du, S., Zhang, Y., & Mao, Y. (2022). The Microstructure Transformations and Wear Properties of Nanostructured Bainite Steel with Different Si Content. Materials, 15(18), 6252. https://doi.org/10.3390/ma15186252
 
        

 
       