Pillar[n]arene-Mimicking/Assisted/Participated Carbon Nanotube Materials
Abstract
:1. Introduction
2. Mimicking the Structure and Characteristics of Carbon Nanotubes by Functionalized Pillar[n]arene
2.1. Preparing Linear Pillar[n]arene-Based Oligomer/Polymer via Rigid Aromatic Bridges
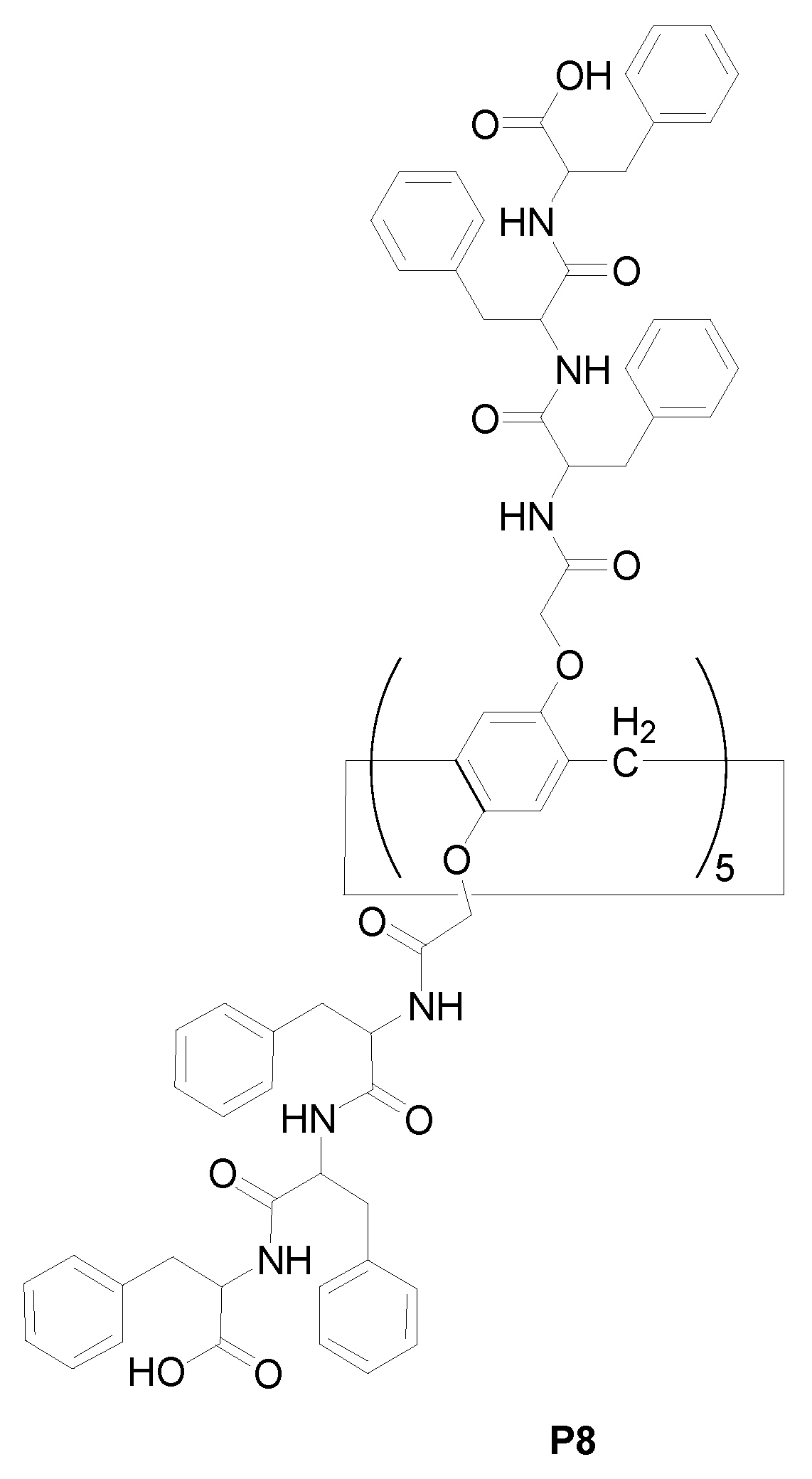
2.2. Preparing Peptide-Appended Pillar[n]arene Processing Intramolecular Hydrogen Bonds
3. Dispersion of Carbon Nanotube by Using Functionalized Pillar[n]arene
| Pillar[n]arene | Other Composition | Hybrid Material | Guest | Application | Ref. |
|---|---|---|---|---|---|
| P9 | - | - | G1 and G2 | Amphiphilic P9 ⸧ G2 dispersing carbon nanotube in aqueous solution | [76] |
| P9 | - | - | G3 which could be degraded into F1 and F2 upon UV irradiation | Amphiphilic P9 ⸧ G3 dispersing carbon nanotube in aqueous solution | [83] |
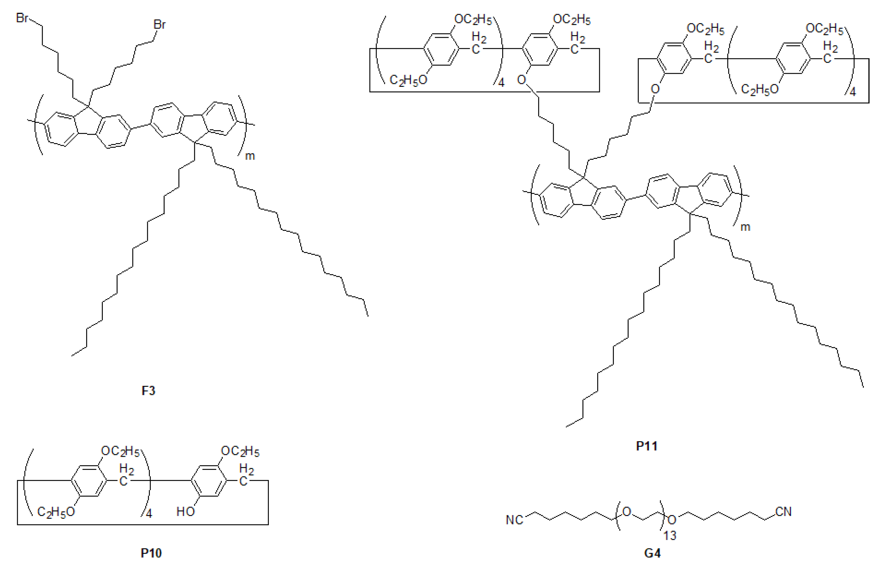
| P10 and P11 | F3 | (P11 ⸧ G4) non-covalently complexing carbon nanotube | G4 | Supramolecular gels | [85] |
| P12 | Ag nanoparticles | Ag@(P12 non-covalently interacting with carbon nanotube) | G5–G7 | Catalysis and sensing | [86] |
| P13 | Ag nanoparticles | Au@(P13 non-covalently interacting with carbon nanotube) | G8 | Catalysis and sensing | [87] |
4. Decoration of Carbon Nanotube by Using Functional Pillar[n]arene
5. Overview and Outlook
Author Contributions
Funding
Acknowledgments
Conflicts of Interest
Abbreviations
| CAC | Critical aggregation concentration |
| EOR | Ethanol oxidation reaction |
| FTIR | Fourier transform infrared |
| Ka | Association constant |
| NIR | Near-infrared |
| PEG | Poly(ethylene glycol) |
| PSAs | Pillar[n]arene-based self-assembled amphiphiles |
| SEM | Scanning electron microscopy |
| TEM | Transmission electron microscopy |
| TGA | Thermogravimetric analysis |
References
- Driggers, E.M.; Hale, S.P.; Lee, J.; Terrett, N.K. The exploration of macrocycles for drug discovery–an underexploited structural class. Nat. Rev. Drug Discov. 2008, 7, 608–624. [Google Scholar]
- Wang, Y.; Wu, H.; Stoddart, J.F. Molecular triangles: A new class of macrocycles. Acc. Chem. Res. 2021, 54, 2027–2039. [Google Scholar]
- Liu, Z.C.; Nalluri, S.K.M.; Stoddart, J.F. Surveying macrocyclic chemistry: From flexible crown ethers to rigid cyclophanes. Chem. Soc. Rev. 2017, 46, 2459–2478. [Google Scholar] [PubMed]
- Lakshmanan, V.I.; Vijayan, S. A review on application of crown ethers in separation of rare earths and precious metals. In The Minerals, Metals & Materials Series; Davis, B.R., Moats, M.S., Wang, S.J., Eds.; Springer: Mississauga, ON, Canada, 2018; pp. 1913–1930. [Google Scholar]
- Duan, Z.Z.; Xu, F.F.; Huang, X.H.; Qian, Y.C.; Li, H.; Tian, W. Crown ether-based supramolecular polymers: From synthesis to self-assembly. Macromol. Rapid Commun. 2022, 43, e2100775. [Google Scholar]
- Yoshio, M.; Noguchi, H. Crown ethers for chemical analysis: A review. Anal. Lett. 1982, 15, 1197–1276. [Google Scholar]
- Cram, D.J. The design of molecular hosts, guests, and their complexes (Nobel Lecture). Angew. Chem. Int. Ed. 1988, 27, 1009–1020. [Google Scholar]
- Lehn, J.M. Supramolecular chemistry-scope and perspectives molecules, supermolecules, and molecular devices (Nobel Lecture). Angew. Chem. Int. Ed. 1988, 27, 89–112. [Google Scholar]
- Pedersen, C.J. The discovery of crown ethers (Nobel Lecture). Angew. Chem. Int. Ed. 1988, 27, 1021–1027. [Google Scholar]
- Schneebeli, S.T.; Strutt, N.L.; Cheng, C.Y.; Stoddart, J.F. Chapter 12: Pillararene-related macrocycles. In Pillararenes; Ogoshi, T., Ed.; The Royal Society of Chemistry: Kanazawa, Japan, 2016; pp. 278–307. [Google Scholar]
- Yan, X.Z.; Wei, P.F.; Xia, B.Y.; Huang, F.H.; Zhou, Q.Z. Pseudorotaxanes from self-assembly of two crown ether-based cryptands and a 1,2-bis(pyridinium) ethane derivative. Chem. Commun. 2012, 48, 4968–4970. [Google Scholar]
- Ge, Z.S.; Hu, J.M.; Huang, F.H.; Liu, S.Y. Responsive supramolecular gels constructed by crown ether based molecular recognition. Angew. Chem. Int. Ed. 2009, 48, 1798–1802. [Google Scholar]
- Dai, D.H.; Yang, J.; Zou, Y.C.; Wu, J.R.; Tan, L.L.; Wang, Y.; Li, B.; Lu, T.; Wang, B.; Yang, Y.W. Macrocyclic arenes-based conjugated macrocycle polymers for highly selective CO2 capture and iodine adsorption. Angew. Chem. Int. Ed. 2021, 60, 8967–8975. [Google Scholar]
- Li, S.J.; Wang, K.K. Synthesis of a macrocycle bearing a carbon framework of [16]cyclophenacene as a carbon nanobelt. J. Org. Chem. 2019, 84, 10554–10558. [Google Scholar] [PubMed]
- Zhang, H.C.; Grüner, G.; Zhao, Y.L. Recent advancements of graphene in biomedicine. J. Mater. Chem. B 2013, 1, 2542–2567. [Google Scholar]
- Wang, C.; Chang, Y.X.; Chen, X.; Bai, L.; Wang, H.; Pan, Y.C.; Zhang, C.; Guo, D.S.; Xue, X. A calixarene assembly strategy of combined anti-neuroinflammation and drug delivery functions for traumatic brain injury therapy. Molecules 2022, 27, 2967. [Google Scholar] [PubMed]
- Wu, D.S.; Cao, M.N.; You, H.H.; Zhao, C.; Cao, R. N-doped holey carbon materials derived from a metal-free macrocycle cucurbit[6]uril assembly as an efficient electrocatalyst for the oxygen reduction reaction. Chem. Commun. 2019, 55, 13832–13835. [Google Scholar]
- Türk, K.K.; Kruusenberg, I.; Mondal, J.; Rauwel, P.; Kozlova, J.; Matisen, L.; Sammelselg, V.; Tammeveski, K. Oxygen electroreduction on MN4-macrocycle modified graphene/multi-walled carbon nanotube composites. J. Electroanal. Chem. 2015, 756, 69–76. [Google Scholar]
- Hill, J.P.; Jin, W.; Kosaka, A.; Fukushima, T.; Ichihara, H.; Shimomura, T.; Ito, K.; Hashizume, T.; Ishii, N.; Aida, T. Self-assembled hexa-peri-hexabenzocoronene graphitic nanotube. Science 2004, 304, 1481–1483. [Google Scholar]
- Zhang, H.C.; Li, C. Pillararene-functionalised graphene nanomaterials. RSC Adv. 2020, 10, 18502–18511. [Google Scholar]
- Rafique, I.; Kausar, A.; Anwar, Z.; Muhammad, B. Exploration of epoxy resins, hardening systems, and epoxy/carbon nanotube composite designed for high performance materials: A review. Polym. Plast. Technol. Eng. 2015, 55, 312–333. [Google Scholar]
- Blanco, M.; Nieto Ortega, B.; de Juan, A.; Vera Hidalgo, M.; López Moreno, A.; Casado, S.; González, L.R.; Sawada, H.; González Calbet, J.M.; Pérez, E.M. Positive and negative regulation of carbon nanotube catalysts through encapsulation within macrocycles. Nat. Commun. 2018, 9, 2671. [Google Scholar]
- He, Z.K.; Xu, X.M.; Zheng, X.; Ming, T.; Miao, Q. Conjugated macrocycles of phenanthrene: A new segment of [6,6]-carbon nanotube and solution-processed organic semiconductors. Chem. Sci. 2013, 4, 4525–4531. [Google Scholar]
- Awasthi, K.; Srivastava, A.; Srivastava, O.N. Synthesis of carbon nanotubes. J. Nanosci. Nanotechnol. 2005, 5, 1616–1636. [Google Scholar] [PubMed]
- Dai, H.J. Carbon nanotubes: Synthesis, integration, and properties. Acc. Chem. Res. 2002, 35, 1035–1044. [Google Scholar]
- Nicolaou, K.C.; Vourloumis, D.; Winssinger, N.; Baran, P.S. The art and science of total synthesis at the dawn of the twenty-first century. Angew. Chem. Int. Ed. 2000, 39, 44–122. [Google Scholar]
- Ogoshi, T.; Kanai, S.; Fujinami, S.; Yamagishi, T.; Nakamoto, Y. Para-bridged symmetrical pillar[5]arenes: Their lewis acid catalyzed synthesis and host-guest property. J. Am. Chem. Soc. 2008, 130, 5022–5023. [Google Scholar]
- Fa, S.; Kakuta, T.; Yamagishi, T.; Ogoshi, T. One-, two-, and three-dimensional supramolecular assemblies based on tubular and regular polygonal structures of pillar[n]arenes. CCS Chem. 2019, 1, 50–63. [Google Scholar]
- Zhu, H.T.Z.; Li, Q.; Zhu, W.; Huang, F. Pillararenes as versatile building blocks for fluorescent materials. Acc. Chem. Res. 2022, 3, 658–668. [Google Scholar]
- Xue, M.; Yang, Y.; Chi, X.D.; Zhang, Z.B.; Huang, F.H. Pillararenes, a new class of macrocycles for supramolecular chemistry. Acc. Chem. Res. 2012, 45, 1294–1308. [Google Scholar]
- Ogoshi, T.; Yamagishi, T.; Nakamoto, Y. Pillar-shaped macrocyclic hosts pillar[n]arenes: New key players for supramolecular chemistry. Chem. Rev. 2016, 116, 7937–8002. [Google Scholar]
- Cragg, P.J.; Sharma, K. Pillar[5]arenes: Fascinating cyclophanes with a bright future. Chem. Soc. Rev. 2012, 41, 597–607. [Google Scholar]
- Li, H.; Wei, R.; Yan, G.H.; Sun, J.; Li, C.; Wang, H.; Shi, L.; Capobianco, J.A.; Sun, L. Smart self-assembled nanosystem based on water-soluble pillararene and rare-earth-doped upconversion nanoparticles for pH-responsive drug delivery. ACS Appl. Mater. Interfaces 2018, 10, 4910–4920. [Google Scholar] [PubMed]
- Li, C.J. Pillararene-based supramolecular polymers: From molecular recognition to polymeric aggregates. Chem. Commun. 2014, 50, 12420–12433. [Google Scholar]
- Wang, K.; Jordan, J.H.; Velmurugan, K.; Tian, X.; Zuo, M.; Hu, X.Y.; Wang, L. Role of functionalized pillararene architectures in supramolecular catalysis. Angew. Chem. Int. Ed. 2021, 60, 9205–9214. [Google Scholar]
- Zhang, R.M.; Wang, C.W.; Long, R.H.; Chen, T.T.; Yan, C.G.; Yao, Y. Pillar[5]arene based [1]rotaxane systems with redox-responsive host-guest property: Design, synthesis and the key role of chain length. Front. Chem. 2019, 7, 508. [Google Scholar] [PubMed]
- Chen, J.F.; Ding, J.D.; Wei, T.B. Pillararenes: Fascinating planar chiral macrocyclic arenes. Chem. Commun. 2021, 57, 9029–9039. [Google Scholar]
- Zhu, H.T.Z.; Li, Q.; Gao, Z.C.; Wang, H.L.; Shi, B.B.; Wu, Y.T.; Shangguan, L.Q.; Hong, X.; Wang, F.; Huang, F.H. Pillararene host-guest complexation induced chirality amplification: A new way to detect cryptochiral compounds. Angew. Chem. Int. Ed. 2020, 59, 10868–10872. [Google Scholar]
- Yu, X.K.; Wu, W.H.; Zhou, D.Y.; Su, D.; Zhong, Z.H.; Yang, C. Bisindole [3]arenes—indolyl macrocyclic arenes having significant iodine capture capacity. CCS Chem. 2021, 4, 1806–1814. [Google Scholar]
- Bojtár, M.; Simon, A.; Bombicz, P.; Bitter, I. Expanding the pillararene chemistry: Synthesis and application of a 10 + 1 functionalized pillar[5]arene. Org. Lett. 2017, 19, 4528–4531. [Google Scholar]
- Yi, F.; Tao, M.J.; Zhang, S.Y.; Han, X.L.; Min, X.H. Pillararene-based nanochannels for para-xylene separation from xylene isomers. ChemistrySelect 2021, 6, 13969–13974. [Google Scholar]
- Talapaneni, S.N.; Kim, D.; Barin, G.; Buyukcakir, O.; Je, S.H.; Coskun, A. Pillar[5]arene based conjugated microporous polymers for propane/methane separation through host-guest complexation. Chem. Mater. 2016, 28, 4460–4466. [Google Scholar]
- Doyle, D.A. Molecular insights into ion channel function (review). Mol. Membr. Biol. 2004, 21, 221–225. [Google Scholar] [PubMed]
- Zhang, X.; Wang, C. Supramolecular amphiphiles. Chem. Soc. Rev. 2011, 40, 94–101. [Google Scholar] [PubMed]
- Tang, Z.D.; Sun, X.M.; Huang, T.T.; Liu, J.; Shi, B.B.; Yao, H.; Zhang, Y.M.; Wei, T.B.; Lin, Q. Pillar[n]arenes-based materials for detection and separation of pesticides. Chin. Chem. Lett. 2022, in press. [CrossRef]
- Wang, K.Y.; Tian, X.Q.; Jordan, J.H.; Velmurugan, K.; Wang, L.Y.; Hu, X.Y. The emerging applications of pillararene architectures in supramolecular catalysis. Chin. Chem. Lett. 2022, 33, 89–96. [Google Scholar]
- Chen, J.F.; Chen, P.K. Pillar[5]arene-based resilient supramolecular gel with dual-stimuli responses and self-healing properties. ACS Appl. Polym. Mater. 2019, 1, 2224–2229. [Google Scholar]
- Zhang, H.C.; Han, J.; Li, C. Pillararene-based conjugated porous polymers. Polym. Chem. 2021, 12, 2808–2824. [Google Scholar]
- Strutt, N.L.; Zhang, H.; Schneebeli, S.T.; Stoddart, J.F. Amino-functionalized pillar[5]arene. Chem. Eur. J. 2014, 20, 10996–11004. [Google Scholar]
- Ma, Y.J.; Chen, L.; Li, C.; Müllen, K. A fishing rod-like conjugated polymer bearing pillar[5]arenes. Chem. Commun. 2016, 52, 6662–6664. [Google Scholar]
- Cui, W.; Tang, H.; Xu, L.X.; Wang, L.Y.; Meier, H.; Cao, D.R. Pillar[5]arene-diketopyrrolopyrrole fluorescent copolymer: A promising recognition and adsorption material for adiponitrile by selective formation of a conjugated polypseudorotaxane. Macromol. Rapid Commun. 2017, 38, 1700161. [Google Scholar]
- Ogoshi, T.; Shimada, Y.; Akutsu, T.; Yamagishi, T. A rod-like phenolic π-conjugated polymer with pillar[5]arene units in its main chain. Polymer 2017, 128, 325–329. [Google Scholar]
- Dennis, J.M.; White, N.A.; Liu, R.Y.; Buchwald, S.L. Pd-catalyzed C–N coupling reactions facilitated by organic bases: Mechanistic investigation leads to enhanced reactivity in the arylation of weakly binding amines. ACS Catal. 2019, 9, 3822–3830. [Google Scholar] [PubMed]
- Xu, S.Q.; Kim, E.H.; Wei, A.; Negishi, E. Pd- and Ni-catalyzed cross-coupling reactions in the synthesis of organic electronic materials. Sci. Technol. Adv. Mater. 2014, 15, 044201. [Google Scholar] [PubMed]
- Wang, D.; Gao, S.H. Sonogashira coupling in natural product synthesis. Org. Chem. Front. 2014, 1, 556–566. [Google Scholar]
- Blangetti, M.; Rosso, H.; Prandi, C.; Deagostino, A.; Venturello, P. Suzuki-miyaura cross-coupling in acylation reactions, scope and recent developments. Molecules 2013, 18, 1188–1213. [Google Scholar]
- Li, J.R.; Kuppler, R.J.; Zhou, H.C. Selective gas adsorption and separation in metal-organic frameworks. Chem. Soc. Rev. 2009, 38, 1477–1504. [Google Scholar]
- Li, H.; Wen, C.Y.; Zhang, Y.W.; Wu, D.P.; Zhang, S.L.; Qiu, Z.J. Accelerating gas adsorption on 3D percolating carbon nanotubes. Sci. Rep. 2016, 6, 21313. [Google Scholar]
- Gupta, V.K.; Saleh, T.A. Sorption of pollutants by porous carbon, carbon nanotubes and fullerene- an overview. Environ. Sci. Pollut. Res. 2013, 20, 2828–2843. [Google Scholar]
- Chen, L.; Si, W.; Zhang, L.; Tang, G.F.; Li, Z.T.; Hou, J.L. Chiral selective transmembrane transport of amino acids through artificial channels. J. Am. Chem. Soc. 2013, 135, 2152–2155. [Google Scholar]
- Hua, B.; Shao, L.; Zhang, Z.H.; Liu, J.Y.; Huang, F.H. Cooperative silver ion-pair recognition by peralkylated pillar[5]arenes. J. Am. Chem. Soc. 2019, 141, 15008–15012. [Google Scholar]
- Zhang, H.C.; Zhao, Y.L. Chapter 9: Supramolecular assemblies from pillararenes (micellar, vesicular and tubular formations). In Pillararenes; Ogoshi, T., Ed.; The Royal Society of Chemistry: Kanazawa, Japan, 2016; pp. 208–228. [Google Scholar]
- Strutt, N.L.; Zhang, H.; Schneebeli, S.T.; Stoddart, J.F. Functionalizing Pillar[n]arenes. Acc. Chem. Res. 2014, 47, 2631–2642. [Google Scholar]
- Xin, P.Y.; Kong, H.Y.; Sun, Y.H.; Zhao, L.Y.; Fang, H.D.; Zhu, H.F.; Jiang, T.; Guo, J.J.; Zhang, Q.; Dong, W.P.; et al. Artificial K+ channels formed by pillararene-cyclodextrin hybrid molecules: Tuning cation selectivity and generating membrane potential. Angew. Chem. Int. Ed. 2019, 58, 2779–2784. [Google Scholar]
- Shen, Y.x.; Si, W.; Erbakan, M.; Decker, K.; De Zorzi, R.; Saboe, P.O.; Kang, Y.J.; Majd, S.; Butler, P.J.; Walz, T.; et al. Highly permeable artificial water channels that can self-assemble into two-dimensional arrays. Proc. Natl. Acad. Sci. USA 2015, 112, 9810–9815. [Google Scholar] [PubMed]
- Barden, D.R.; Vashisth, H. Water dynamics in a peptide-appended pillar[5]arene artificial channel in lipid and biomimetic membranes. Front. Chem. 2021, 9, 753635. [Google Scholar] [PubMed]
- Kali, R.; Milner, S.T. Hydration shell stripping governs ion rejection in PAP[5] water channels. Mol. Syst. Des. Eng. 2022, 7, 809–819. [Google Scholar]
- Li, M.H.; Lou, X.Y.; Yang, Y.W. Pillararene-based molecular-scale porous materials. Chem. Commun. 2021, 57, 13429–13447. [Google Scholar]
- Liu, Y.; Vashisth, H. Conformational dynamics and interfacial interactions of peptide-appended pillar[5]arene water channels in biomimetic membranes. Phys. Chem. Chem. Phys. 2019, 21, 22711–22721. [Google Scholar]
- Shen, Y.x.; Song, W.; Barden, D.R.; Ren, T.; Lang, C.; Feroz, H.; Henderson, C.B.; Saboe, P.O.; Tsai, D.; Yan, H.; et al. Achieving high permeability and enhanced selectivity for angstrom-scale separations using artificial water channel membranes. Nat. Commun. 2018, 9, 2294. [Google Scholar]
- Zhang, H.C.; Ma, X.; Nguyen, K.T.; Zeng, Y.F.; Tai, S.H.; Zhao, Y.L. Water-soluble pillararene-functionalized graphene oxide for in vitro raman and fluorescence dual-mode imaging. ChemPlusChem 2014, 79, 462–469. [Google Scholar]
- Shurpik, D.N.; Aleksandrova, Y.I.; Mostovaya, O.A.; Nazmutdinova, V.A.; Zelenikhin, P.V.; Subakaeva, E.V.; Mukhametzyanov, T.A.; Cragg, P.J.; Stoikov, I.I. Water-soluble pillar[5]arene sulfo-derivatives self-assemble into biocompatible nanosystems to stabilize therapeutic proteins. Bioorg. Chem. 2021, 117, 105415. [Google Scholar]
- Zhang, H.C.; Liu, Z.N.; Zhao, Y.L. Pillararene-based self-assembled amphiphiles. Chem. Soc. Rev. 2018, 47, 5491–5528. [Google Scholar]
- Zhang, H.C.; Zhao, Y.L. Pillararene-based assemblies: Design principle, preparation and applications. Chem. Eur. J. 2013, 19, 16862–16879. [Google Scholar] [PubMed]
- Cao, S.; Zhou, L.; Liu, C.; Zhang, H.C.; Zhao, Y.X.; Zhao, Y.L. Pillararene-based self-assemblies for electrochemical biosensors. Biosens. Bioelectron. 2021, 181, 113164. [Google Scholar] [PubMed]
- Yu, G.C.; Xue, M.; Zhang, Z.B.; Li, J.Y.; Han, C.Y.; Huang, F.H. A water-soluble pillar[6]arene: Synthesis, host-guest chemistry, and its application in dispersion of multiwalled carbon nanotubes in water. J. Am. Chem. Soc. 2012, 134, 13248–13251. [Google Scholar] [PubMed]
- Liu, Y.M.; Zhou, F.; Yang, F.; Ma, D. Carboxylated pillar[n]arene (n = 5–7) host molecules: High affinity and selective binding in water. Org. Biomol. Chem. 2019, 17, 5106–5111. [Google Scholar] [PubMed]
- Billing, B.K.; Agnihotri, P.K.; Singh, N. Development of pyrene-stacked carbon nanotube-based hybrid: Measurement of NO3− ions using fluorescence spectroscopy. Analyst 2018, 143, 3343–3352. [Google Scholar]
- Hua, Y.J.; Chen, L.; Hou, C.X.; Liu, S.B.; Pei, Z.C.; Lu, Y.C. Supramolecular vesicles based on amphiphilic pillar[n]arenes for smart nano-drug delivery. Int. J. Nanomed. 2020, 15, 5873–5899. [Google Scholar]
- Colombo, F.; Norton, E.G.; Cocucci, E. Microscopy approaches to study extracellular vesicles. Biochim. Biophys. Acta Gen. Subj. 2021, 1865, 129752. [Google Scholar]
- Chen, T.; Li, M.X.; Liu, J.Q. π–π stacking interaction: A nondestructive and facile means in material engineering for bioapplications. Cryst. Growth Des. 2018, 18, 2765–2783. [Google Scholar]
- Haddad, R.; Holzinger, M.; Maaref, A.; Cosnier, S. Pyrene functionalized single-walled carbon nanotubes as precursors for high performance biosensors. Electrochim. Acta 2010, 55, 7800–7803. [Google Scholar]
- Yang, J.; Yu, G.C.; Xia, D.Y.; Huang, F.H. A pillar[6]arene-based UV-responsive supra-amphiphile: Synthesis, self-assembly, and application in dispersion of multiwalled carbon nanotubes in water. Chem. Commun. 2014, 50, 3993–3995. [Google Scholar]
- Novo, M.; Freire, S.; Al Soufi, W. Critical aggregation concentration for the formation of early amyloid-β (1-42) oligomers. Sci. Rep. 2018, 8, 1783. [Google Scholar] [PubMed]
- Shamshoom, C.; Fong, D.; Li, K.; Kardelis, V.; Adronov, A. Pillar[5]arene-decorated single-walled carbon nanotubes. ACS Omega 2018, 3, 13935–13943. [Google Scholar] [PubMed]
- Zhao, G.F.; Gao, Z.H.; Li, H.N.; Liu, S.M.; Chen, L.J.; Zhang, R.L.; Guo, H. Controlled assembly of Ag nanoparticles on the surface of phosphate pillar[6]arene functionalized single-walled carbon nanotube for enhanced catalysis and sensing performance. Electrochim. Acta 2019, 318, 711–719. [Google Scholar]
- Borjigin, T.; Zhao, G.F.; Zhang, Y.H.; Liang, M.F.; Liu, B.H.; Liu, H.; Yang, X.F.; Guo, H. Control loading au nanoparticles on the surface of hydroxyl pillar[5]arene functionalized single-walled carbon nanotubes and its application in catalysis and sensing. Sustain. Energy Fuels 2019, 3, 2312–2320. [Google Scholar]
- Zeng, L.P.; Lin, X.X.; Li, P.; Liu, F.Q.; Guo, H.; Li, W.H. Recent advances of organogels: From fabrications and functions to applications. Prog. Org. Coat. 2021, 159, 106417. [Google Scholar]
- Wei, T.B.; Zhao, Q.; Li, Z.H.; Dai, X.Y.; Niu, Y.B.; Yao, H.; Zhang, Y.M.; Qu, W.J.; Lin, Q. Supramolecular organogel with aggregation-induced emission for ultrasensitive detection and effective removal of Cu2+ and Hg2+ from aqueous solution. Dyes Pigm. 2021, 192, 109436. [Google Scholar]
- Esposito, C.L.; Kirilov, P.; Roullin, V.G. Organogels, promising drug delivery systems: An update of state-of-the-art and recent applications. J. Control. Release 2018, 271, 1–20. [Google Scholar] [PubMed]
- Liu, Z.N.; Liu, W.B.; Huang, Y.Z.; Zhang, H.C. Facile fabrication of free-standing Cu2O-Au nanocomposite on Cu foil for high performance glucose sensing. J. Alloys Compd. 2020, 848, 156532. [Google Scholar]
- Zhu, H.T.Z.; Shangguan, L.Q.; Huang, F.H. Multi-functional pillararene-stabilized gold nanoparticles. Matter 2019, 1, 788–789. [Google Scholar]
- Li, P.y.; Chen, Y.; Chen, C.h.; Liu, Y. Multi-charged bis(p-calixarene)/pillararene functionalized gold nanoparticles for ultra-sensitive sensing of butyrylcholinesterase. Soft Matter 2019, 15, 8197–8200. [Google Scholar]
- Hu, X.B.; Chen, Z.X.; Chen, L.; Zhang, L.; Hou, J.L.; Li, Z.T. Pillar[n]arenes (n = 8–10) with two cavities: Synthesis, structures and complexing properties. Chem. Commun. 2012, 48, 10999–11001. [Google Scholar] [CrossRef] [PubMed]
- Chen, Y.; Tao, H.Q.; Kou, Y.H.; Meier, H.; Fu, J.L.; Cao, D.R. Synthesis of pillar[7]arene. Chin. Chem. Lett. 2012, 23, 509–511. [Google Scholar] [CrossRef]
- Zhang, Z.H.; Shao, L.; Li, Z.T.; Yu, G.C.; Yang, J. A cationic water-soluble pillar[7]arene: Synthesis and its fluorescent host-guest complex in water. Tetrahedron Lett. 2017, 58, 2736–2739. [Google Scholar] [CrossRef]
- Shao, L.; Hua, B.; Yang, J.; Yu, G.C. Pillar[7]arene-based host-guest complex in water: Dual-responsiveness and application in controllable self-assembly. RSC Adv. 2016, 6, 60029–60033. [Google Scholar] [CrossRef]
- Ogoshi, T.; Ueshima, N.; Sakakibara, F.; Yamagishi, T.; Haino, T. Conversion from pillar[5]arene to pillar[6–15]arenes by ring expansion and encapsulation of C60 by pillar[n]arenes with nanosize cavities. Org. Lett. 2014, 16, 2896–2899. [Google Scholar] [CrossRef]
- Li, H.; Chen, Q.; Schönbeck, C.; Han, B.H. Sugar-functionalized water-soluble pillar[5]arene and its host-guest interaction with fullerene. RSC Adv. 2015, 5, 19041–19047. [Google Scholar] [CrossRef]
- Huang, J.C.; Tan, X.P.; Li, C.F.; Wu, R.; Ran, S.Q.; Tao, Y.X.; Mou, T. Green synthesis of Au-NPs on g-C3N4 hybrid nanomaterials based on supramolecular pillar[6]arene and its applications for catalysis. ACS Omega 2022, 7, 18085–18093. [Google Scholar] [CrossRef] [PubMed]
- Ordoñez-Casanova, E.G.; Román-Aguirre, M.; Aguilar-Elguezabal, A.; Espinosa-Magaña, F. Synthesis of Carbon Nanotubes of Few Walls Using Aliphatic Alcohols as a Carbon Source. Materials 2013, 6, 2534–2542. [Google Scholar] [CrossRef]
- Kamedulski, P.; Lukaszewicz, J.P.; Witczak, L.; Szroeder, P.; Ziolkowski, P. The Importance of Structural Factors for the Electrochemical Performance of Graphene/Carbon Nanotube/Melamine Powders towards the Catalytic Activity of Oxygen Reduction Reaction. Materials 2021, 14, 2448. [Google Scholar] [CrossRef]
- Shoukat, R.; Khan, M.I. Carbon nanotubes: A review on properties, synthesis methods and applications in micro and nanotechnology. Microsyst Technol. 2021, 27, 4183–4192. [Google Scholar] [CrossRef]
- Li, Q.; Zhu, H.T.Z.; Huang, F.H. Pillararene-based supramolecular functional materials. Trends Chem. 2020, 2, 850–864. [Google Scholar] [CrossRef]












Publisher’s Note: MDPI stays neutral with regard to jurisdictional claims in published maps and institutional affiliations. |
© 2022 by the authors. Licensee MDPI, Basel, Switzerland. This article is an open access article distributed under the terms and conditions of the Creative Commons Attribution (CC BY) license (https://creativecommons.org/licenses/by/4.0/).
Share and Cite
Liu, Z.; Li, B.; Li, Z.; Zhang, H. Pillar[n]arene-Mimicking/Assisted/Participated Carbon Nanotube Materials. Materials 2022, 15, 6119. https://doi.org/10.3390/ma15176119
Liu Z, Li B, Li Z, Zhang H. Pillar[n]arene-Mimicking/Assisted/Participated Carbon Nanotube Materials. Materials. 2022; 15(17):6119. https://doi.org/10.3390/ma15176119
Chicago/Turabian StyleLiu, Zhaona, Bing Li, Zhizheng Li, and Huacheng Zhang. 2022. "Pillar[n]arene-Mimicking/Assisted/Participated Carbon Nanotube Materials" Materials 15, no. 17: 6119. https://doi.org/10.3390/ma15176119
APA StyleLiu, Z., Li, B., Li, Z., & Zhang, H. (2022). Pillar[n]arene-Mimicking/Assisted/Participated Carbon Nanotube Materials. Materials, 15(17), 6119. https://doi.org/10.3390/ma15176119

