Stability Study of the Irradiated Poly(lactic acid)/Styrene Isoprene Styrene Reinforced with Silica Nanoparticles
Abstract
:1. Introduction
2. Materials and Methods
3. Results
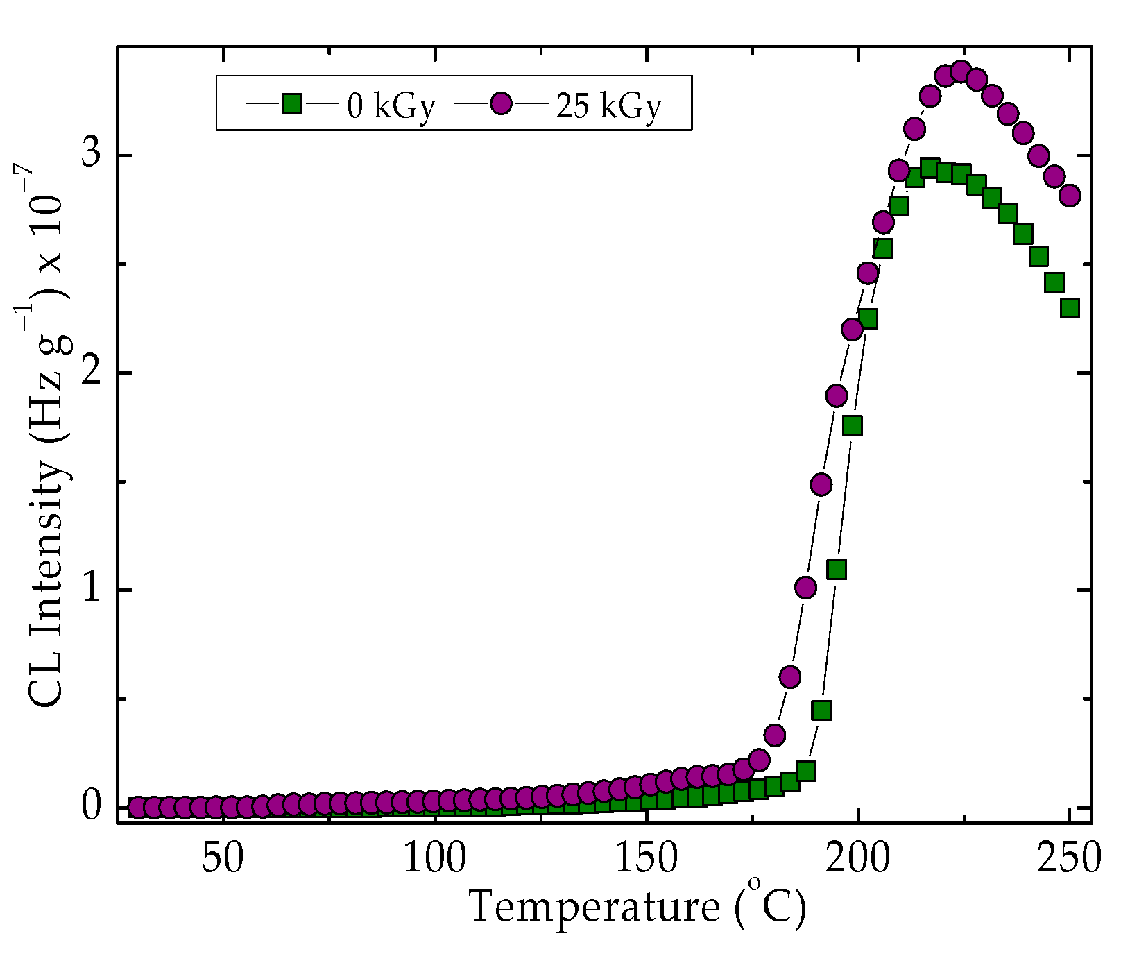
3.1. Chemiluminescence
3.2. Gelation
3.3. FTIR Evaluation
3.4. SEM Assay
4. Discussion
5. Conclusions
Author Contributions
Funding
Institutional Review Board Statement
Informed Consent Statement
Data Availability Statement
Conflicts of Interest
References
- Singh, P.; Singari, R.M.; Mishra, R.S.; Bajwa, G.S. A review on recent development on polymeric hybrid composite and analysis of their mechanical performances. Mater. Today Proc. 2022, 56, 3692–3701. [Google Scholar] [CrossRef]
- Zagho, M.M.; Hussein, E.A.; Elzatahry, A.A. Recent overviews in functional polymer composites for biomedical applications. Polymers 2018, 10, 739. [Google Scholar] [CrossRef] [Green Version]
- Altstdät, V. (Ed.) Polymer Blends and Compatibilization; MDPI: Basel, Switzerland, 2017. [Google Scholar]
- Ding, Y.; Abeykoon, C.; Perera, Y.S. The effects of extrusion parameters and blend composition on the mechanical, rheological and thermal properties of LDPE/PS/PMMA ternary polymer blends. Adv. Ind. Manuf. Eng. 2022, 4, 100067. [Google Scholar] [CrossRef]
- Dorigato, A. Recycling of polymer blends. Adv. Ind. Eng. Polym. Res. 2021, 4, 53–69. [Google Scholar] [CrossRef]
- Qiao, L.; Liu, C.; Liu, C.; Hu, F.; Li, X.; Wang, C.; Jian, X. Study on new polymer crosslinking agents and their functional hydrogels. Eur. Polym. J. 2020, 134, 109835. [Google Scholar] [CrossRef]
- Barsbay, M.; Güven, O. Nanostructuring of polymers by controlling of ionizing radiation-induced free radical polymerization, copolymerization, grafting and crosslinking by RAFT mechanism. Radiat. Phys. Chem. 2020, 169, 107816. [Google Scholar] [CrossRef]
- Maraveas, C.; Bayer, I.S.; Bartzanas, T. Recent advances in antioxidant polymers: From sustainable and natural monomers to synthesis and applications. Polymers 2021, 13, 2465. [Google Scholar] [CrossRef]
- Zaharescu, T.; Ilieș, D.-C.; Roșu, T. Thermal and spectroscopic analysis of stabilization effect of copper complexes in EPDM. J. Therm. Anal. Calorim. 2016, 123, 231–239. [Google Scholar] [CrossRef]
- Kanbua, C.; Sirichaibhinya, T.; Rattanawongwiboon, T.; Lertsarawut, P.; Chanklinhorm, P.; Ummartyotin, S. Gamma radiation-induced crosskinking of Ca2+ loaded poly(lactic acid) and poly(ethylene glycol) diacrylate networks fr polymer gel electrolytes. S. Afr. J. Chem. Eng. 2022, 39, 90–96. [Google Scholar]
- Manaila, E.; Stelescu, M.D.; Craciun, G. Aspects regarding radiation crosslinking of elastomers. In Advanced Elastomers—Technology, Properties and Applications; Boczkowska, A., Ed.; IntechOpen: London, UK, 2012; pp. 3–34. [Google Scholar]
- Ferry, M.; Ngoro, Y. Energy transfer in polymers submitted to ionizing radiation. Radiat. Phys. Chem. 2020, 134, 109835. [Google Scholar] [CrossRef]
- Kodal, M.; Alchekh Wis, A.; Ozkoc, G. The mechanical, thermal and morphological properties of γ-irradiated PLA/TAIC and PLA/OvPOSS. Radiat. Phys. Chem. 2018, 153, 214–225. [Google Scholar] [CrossRef]
- Khalid, M.; Thery Ratnam, C.; Wei, S.J.; Reza Ketabchi, M.; Raju, G.; Walvekar, R.; Mujawar Mubarak, N. Effect of electron beam radiation on poly(lactic acid) biocomposites reinforced with waste tea powder. Radiat. Phys. Chem. 2021, 188, 109612. [Google Scholar] [CrossRef]
- Zaharescu, T.; Blanco, I. Antioxidant effects of Rosemary extract on the accelerated degradation of ethylene-propylene-diene monomer. Macromol. Symp. 2021, 395, 2001300. [Google Scholar]
- Cardoso, E.C.L.; Oliviera, R.R.; Machado, G.A.F.; Moura, E.A.B. Study of flexible films prepared from PLA/PBAT blend and PLA e-beam irradiated as compatibilizing agent. In Characterizing of Minerals, and Materials; Ikhmayies, S., Li, B., Carpenter, J.S., Li, J.I., Hwang, J.Y., Monteiro, S.N., Firrao, D., Zhang, M., Peng, Z., et al., Eds.; Springer: Cham, Switzerland, 2017; pp. 121–129. [Google Scholar]
- Bednarek, M.; Borska, K.; Kubisa, P. Crosslinking of polylactide by high energy irradiation and photo-curing. Molecules 2020, 25, 4919. [Google Scholar] [CrossRef] [PubMed]
- Murariu, M.; Dubois, P. PLA composites: From production to properties. Adv. Drug Deliver. Rev. 2016, 107, 17–46. [Google Scholar] [CrossRef]
- Casalini, T.; Rossi, F.; Castrovinci, A.; Perale, G. A perspective on polylactic acid-based polymers use for nanoparticles synthesis and applications. Front. Bioeng. Biotechnol. 2019, 7, 259. [Google Scholar] [CrossRef]
- Idumah, C.I.; Nwabanne, J.T.; Tanjung, F.A. Novel trends in poly(lactic) acid hybrid bionanocomposites. Cleaner Mater. 2021, 2, 100022. [Google Scholar] [CrossRef]
- Freeland, B.; McCarthy, E.; Balakrishnan, R.; Fahy, S.; Boland, A.; Rochfort, K.D.; Dabros, M.; Marti, R.; Kelleher, S.M.; Gaughran, J. A review of polylactic acid as a replacement material for single-use laboratory components. Materials 2022, 15, 2989. [Google Scholar] [CrossRef]
- Zaharescu, T.; Râpă, M.; Marinescu, V. Chemiluminescence kinetic analysis on the oxidative degradation of poly(lactic acid). J. Therm. Anal. Calorim. 2017, 128, 185–191. [Google Scholar] [CrossRef]
- Stefanik, K.; Masek, A. Green copolymer based on poly(lactic acid)—Short review. Materials 2021, 14, 5254. [Google Scholar] [CrossRef]
- Zaharescu, T.; Râpă, M.; Lungulescu, E.M.; Butoi, N. Filler effect on the degradation of γ-processed PLA/vinyl POSS hybrid. Radiat. Phys. Chem. 2018, 153, 188–197. [Google Scholar] [CrossRef]
- Sanusi, O.M.; Benelfellah, A.; Papadopoulos, L.; Terzopoulu, Z.; Malletzidou, L.; Vasileiadis, I.G.; Chrissafis, K.; Bikiaris, D.N.; Hocine, N.A. Influence of montmorillonite/carbon nanotube hybrid nanofillers on the properties of poly(lactic acid). Appl. Clay Sci. 2021, 201, 105925. [Google Scholar] [CrossRef]
- Scaffaro, R.; Botta, L.; Maio, A.; Gallo, G. PLA graphene nanoplatelets nanocomposites: Physical properties and release kinetics of an antimicrobial agent. Compos. Part B-Eng. 2017, 109, 138–146. [Google Scholar] [CrossRef]
- Zhang, H.; Luo, D.; Zhen, W. Preparation, crystallization and thermo-oxygen degradation kinetics of poly(lactic acid)/fulvic acid-g-poly(isoprene) grafting polymer composites. Polym. Bull. 2022, 79, 3155–3174. [Google Scholar] [CrossRef]
- Arunprasath, K.; Vijayakumar, M.; Ramarao, M.; Arul, T.G.; Penil Pauldoss, S.; Selwin, N.; Radhakrishnan, B.; Manikandan, N. Dynamic mechanical analysis performances of pure 3D printed polylactic acid (PLA) and acrylonitrile butadiene styrene (ABS). Mater. Today 2022, 50, 1559–1562. [Google Scholar] [CrossRef]
- Kervran, M.S.; Vagner, C.; Cochez, M.; Ponçot, M.; Saeb, M.R.; Vahabi, H. A review on thermal degradation of polylactic acid (PLA)/polyhydroxybutyrate (PHB) blends. Polym. Degrad. Stab. 2022, 201, 109995. [Google Scholar] [CrossRef]
- Ordoñez, R.; Atarés, L.; Chiralt, A. Properties of PLA films with cinnamic acid: Effect of the processing method. Food Bioprod. Proc. 2022, 133, 25–33. [Google Scholar] [CrossRef]
- Teixeira, S.; Eblagon, K.M.; Miranda, F.; Pereira, M.F.R.; Figueiredo, J.L. Towrds controlled degradation of poly (lactic acid in technical applications. C 2021, 7, 42. [Google Scholar]
- Sharma, B.; Shekhar, S.; Sharma, S.; Jain, P. The paradigm in conversion of plastic wastes into value added materials. Clean. Eng. Technol. 2021, 4, 100254. [Google Scholar] [CrossRef]
- Aryan, V.; Maga, D.; Majgainkar, P.; Hanich, R. Valorization of polylactic acid (PLA) waste: A comparative life cycle assessment of vatrious csolvent-based chemical recycling technologies. Resour. Conserv. Recy. 2021, 172, 105670. [Google Scholar] [CrossRef]
- Gere, D.; Czigany, T. Future trends of plastic bottles recycling. Polym. Test. 2020, 81, 106160. [Google Scholar] [CrossRef]
- Zawawi, E.Z.E.; Noor-Hafizah, A.H.; Romli, A.Z.; Yuliana, N.Y.; Bonnia, N.N. Effect of nanoclay on mechanical and morphological properties of poly(lactide) acid (PLA) and polypropylene (PP) blends. Mater. Today-Proc. 2021, 46, 1778–1782. [Google Scholar] [CrossRef]
- Moradi, S.; Khademzadeh Yeganeh, J. Highly toughened poly(lactic acid) (PLA) prepared through melt blending with ethylene-co-vinyl acetate (EVA) copolymer and simultaneous addition of hydrophilic silica nanoparticles and block copolymer compatibilizer. Polym. Test. 2020, 91, 106735. [Google Scholar]
- Ferrer, I.; Manresa, A.; Méndez, J.A.; Delgado-Aguilar, M.; Garcia-Romeu, M.L. Manufacturing PLA/PCL blends by ultrasonic molding technology. Polymers 2021, 13, 2412. [Google Scholar] [CrossRef]
- Fang, H.; Zhang, L.; Chen, A.; Wu, F. Improvement of mechanical property for PLA/TPU blend by addition PLA-TPU copolymer prepared via in situ ring-opening polymerization. Polymers 2022, 14, 1530. [Google Scholar] [CrossRef]
- Huang, Y.; Brünig, H.; Müller, M.T.; Weissner, S. Melt spinning of PLA/PCL blends modified with electron induced reactive processing. J. Appl. Polym. Sci. 2022, 139, 51902. [Google Scholar] [CrossRef]
- Malinowski, R. Some effects of radiation treatment of biodegradable PCL/PLA blends. J. Polym. Eng. 2018, 38, 635–640. [Google Scholar]
- Malinowski, R.; Moraczewski, K.; Raszkowska-Kaczor, A. Studies on the uncrosslinked fraction of PLA/PBAT blends modified by electron radiation. Materials 2020, 13, 1068. [Google Scholar] [CrossRef]
- Liu, M.; Yin, Y.; Fan, Z.; Zhen, X.; Shen, S.; Deng, P.; Zheng, C.; Teng, H.; Zhang, W. The effects of gamma-irradiation on the structure, thermal resistance and mechanical properties of the PLA/EVOH blends. Nucl. Instrum. Meth. B 2012, 274, 139–144. [Google Scholar] [CrossRef]
- Iuliano, A.; Nowacka, M.; Rybak, K.; Rzepna, M.R. The effects of electron beam radiation on material properties and degradation of commercial PBAT/PLA blends. J. Appl. Polym. Sci. 2020, 137, 48462. [Google Scholar] [CrossRef]
- Birkinshaw, C.; Buggy, M.; Henn, G.G.; Jones, E. Irradiation of poly-D,L-lactide. Polym. Degrad. Stab. 1992, 38, 249–253. [Google Scholar] [CrossRef]
- Nugroho, P.; Mitomo, H.; Yoshii, F.; Kume, T. Degradation of poly(L-lactic acid) by γ-irradiation. Polym. Degrad. Stab. 2001, 72, 337–343. [Google Scholar] [CrossRef]
- Adamus-Wlodarczyk, A.; Wach, R.A.; Ulanski, P.; Rosiak, J.M.; Sicka, Z.; Al-Sheikhly, M. On the mechanisms of the effects of ionizing radiation on diblock and random copolymer of poly(lactic acid) and poly(trimethylene carbonate). Polymers 2018, 10, 672. [Google Scholar] [CrossRef] [Green Version]
- Dorati, R.; Colonna, C.; Serra, M.; Genta, I.; Modena, T.; Pavanetto, F.; Perugini, P.; Conti, B. γ-Irradiation of PEG, d,l PLA and PEG-PLGA multiblock copolymers: Effect of irradiation doses. AAPS Pharm. Sci. Tech. 2008, 9, 718–725. [Google Scholar] [CrossRef]
- Ahmandi Abrishami, S.; Nabipour Chakoli, A. Effect of radiation processing on physical properties of aminated MWCNTs/poly(L-lactide) nanocomposites. Compos. Commun. 2019, 14, 43–47. [Google Scholar] [CrossRef]
- Mansouri, M.; Berrayah, A.; Beyens, C.; Rosenauer, C.; Jama, C.; Maschke, U. Effect of electron beam irradiation on thermal and mechanical properties of poly(lactic acid) films. Polym. Degrad. Stab. 2016, 133, 293–302. [Google Scholar] [CrossRef]
- Salazar, R.; Salas-Gomez, V.; Alvarado, A.S.; Baykara, H. Preparation, characterization and evaluation of antibacterial properties of polylactide-polyethylene glycol-chitosan active composite films. Polymers 2022, 14, 2266. [Google Scholar] [CrossRef]
- Al Zahmi, S.; Alhammadi, S.; El Hassan, A.; Ahmed, W. Carbon fiber/PLA recycled composites. Polymers 2022, 14, 2194. [Google Scholar] [CrossRef]
- Siakeng, R.; Jawaid, M.; Asim, M.; Fouad, H.; Saba, N.; Siengchin, S. Flexural and dynamic mechanical properties of alkali-treated coir/pineapple leaf fibers reinforced polylactic acid hybrid biocomposites. J. Bionic Eng. 2021, 18, 1430–1438. [Google Scholar] [CrossRef]
- Wang, S.; Hu, S.; Zhang, W.; Olonisakin, K.; Zhang, X.; Ran, L.; Yang, W. Processing pulp fiber into high strength composites. Compos. Interface 2021, 29, 817–831. [Google Scholar] [CrossRef]
- Zourari, M.; Devallance, D.B.; Marrot, L. Effect of biochar addition on mechanical properties, thermal stability, and water resistance of hemp-polylactic acid (PLA) composites. Materials 2022, 15, 2271. [Google Scholar] [CrossRef] [PubMed]
- Ludwiczak, J.; Frąckowiak, S.; Leluk, K. Study of thermal, mechanical and barrier properties of biodegradable PLA/PBAT films with high oriented MMT. Materials 2021, 14, 7189. [Google Scholar] [CrossRef] [PubMed]
- Kumar, A.; Rao Tumu, V. Physicochemical properties of the electron beam irradiated bamboo powder and its bio-composites with PLA. Compos. Part B Eng. 2019, 175, 107098. [Google Scholar] [CrossRef]
- Kostic, D.; Vukasinovic-Sekulic, M.; Armentao, I.; Torre, L.; Obradovic, B. Multifuntional ternary composite films based on PLA and Ag-alginate microbeads: Physical characterization and silver release kinetics. Mater. Sci. Eng. 2019, 98, 1159–1168. [Google Scholar] [CrossRef]
- Chen, W.; Qi, C.; Li, Y.; Tao, H. The degradation investigation of biodegradable PLA/PBAT blend. Thermal stability, mechanical properties and PALS analysis. Radiat. Phys. Chem. 2021, 180, 109239. [Google Scholar] [CrossRef]
- Vidotto, M.; Mihaljević, B.; Žauhar, G.; Vidović, E.; Martar-Strměcki, N.; Klepec, D.; Valić, S. Effect of γ-radiation on structure and properties of poly(lactic acid) filaments. Radiat. Phys. Chem. 2021, 184, 109456. [Google Scholar] [CrossRef]
- Luchian-Lupu, A.-M.; Zaharescu, T.; Lungulescu, E.-M.; Râpă, M.; Iovu, H. Availability of PLA/SIS blends for packaging and medical applications. Radiat. Phys. Chem. 2020, 172, 108696. [Google Scholar] [CrossRef]
- Koutný, M.; Václvková, T.; Matisová-Rychlá, L.; Rychlý, J. Characterization of oxidation progress by chemiluminescence. A study of polyethylene with pro-oxidant additives. Polym. Degrad. Stab. 2008, 93, 1515–1519. [Google Scholar] [CrossRef]
- Kissinger, H.E. Reaction kinetics in differential thermal analysis. Anal. Chem. 1957, 29, 1702–1706. [Google Scholar] [CrossRef]
- Zhang, W.; He, T.; Sun, J.; Qian, B. A general equation for the relationship between sol fraction and radiation dose in radiation crosslinking. Radiat. Phys. Chem. 1989, 33, 581–584. [Google Scholar]
- Gupta, M.C.; Deshmukh, V.G. Radiation effects on poly(lactic acid). Polymer 1983, 24, 827–830. [Google Scholar] [CrossRef]
- Babanalbandi, A.; Hill, D.J.T.; O’Donnell, H.J.; Pomery, P.J.; Whittaker, A. An electron spin resonance study on γ-irradiated poly(L-lactic acid) and poly(D,L-lactic acid). Polym. Degrad. Stab. 1995, 50, 297–304. [Google Scholar] [CrossRef]
- Södergard, A.; Stolt, M. Properties of lactic acid based polymers and their correlation with composition. Prog. Polym. Sci. 2001, 27, 1123–1163. [Google Scholar] [CrossRef]
- Hamad, K.; Kaseem, M.; Yang, H.W.; Deri, F.; Ko, Y.G. Properties and medical applications of polylactic acid. A review. Express Polym. Lett. 2015, 9, 435–455. [Google Scholar] [CrossRef]
- De Stefano, V.; Khan, D.S.; Tabada, A. Applications of PLA in modern medicine. Eng. Regener. 2020, 1, 76–87. [Google Scholar]
- Piekarska, K.; Sowinski, P.; Piorkowska, E.; Haque, M.M.-U.; Pracella, M. Structure and properties of hybrid PLA nanocomposites with inorganic nanofillers and cellulose fibers. Compos. A 2016, 82, 34–41. [Google Scholar] [CrossRef]
- Palma-Ramírez, D.; Torres-Huerta, A.M.; Domínguez-Crespo, M.A.; Porce-Hernandez, J.S.; Brachetti-Sibaja, S.B.; Rodríguez-Salazar, A.E.; Urdapilleta-Inchaurregui, V. An assembly strategy of polylactic acid (PLA)-SiO2 nanocomposites in polypropylene (PP) matrix. J. Mater. Res. Technol. 2021, 14, 2150–2164. [Google Scholar] [CrossRef]
- Wang, X.; Yang, K.; Zhang, P. Evaluation of the ageing coefficient and the ageing lifetime of carbon black-filled styrene-isoprene-styrene rubber after thermal degradation ageing. Compos. Sci. Technol. 2022, 220, 109258. [Google Scholar]
- Wang, W.; Ye, G.; Fan, D.; Lu, Y.; Shi, P.; Wang, X.; Bateer, B. Photo-oxidative resistance and adjustable degradation of poly-lactic acid (PLA) obtained by biomass addition and interface construction. Polym. Degrad. Stab. 2021, 194, 109762. [Google Scholar] [CrossRef]
- Aragón-Gutierrez, A.; Arrieta, M.P.; López-González, M.; Fernández-García, M.; López, D. Hybrid biocomposites based on poly(lactic acid) and silica aerogel for food packaging applications. Materials 2020, 13, 4910. [Google Scholar] [CrossRef]
- Kaseem, M.; Ur Rehman, Z.; Hossain, S.; Kumar Singh, A.; Dikici, B. A review on synthesis, properties, and applications of polylactic acid/silica composites. Polymers 2021, 13, 3036. [Google Scholar] [CrossRef] [PubMed]
- Ying, H.; Gohs, U.; Müller, M.T.; Zschech, C.; Wiessner, S. Electron beam treatment of polylactide at elevated temperature in nitrogen atmosphere. Radiat. Phys. Chem. 2019, 159, 166–173. [Google Scholar]
- Rychlý, J.; Rychlá, L.; Novák, I.; Vanko, V.; Preťo, J.; Javigová, I.; Chodak, I. Thermooxidative stability of hot melt adhesives based on metallocene polyolefins grafted with polar acrylic acid moieties. Polym. Test. 2020, 85, 106422. [Google Scholar]
- Zaharescu, T.; Pleșa, I.; Jipa, S. Kinetic effects of silica nanoparticles on thermal and radiation stability of polyolefins. Polym. Bull. 2013, 70, 2981–2994. [Google Scholar] [CrossRef]
- He, X.; Rytoluoto, I.; Seri, P.; Anyszka, R.; Mahtabani, A.; Naderiallaf, H.; Niittymaki, M.; Saarim, E.; Mazel, C.; Perego, G.; et al. PP/PP-HI/silica nanocomposites for HVDC cable insulation: Are silica clusters beneficial for space accumulation? Polym. Test. 2021, 98, 107186. [Google Scholar] [CrossRef]
- Nerantzaki, M.; Prokipiou, L.; Bikiaris, D.N.; Patsiaourac, D.; Chressafis, K.; Klonos, P.; Kyritsis, A.; Pissis, P. In situ prepared poly(DL-lactic acid)/silica nanoparticles: Study of molecular composition, thermal stability, glass transition and molecular dynamics. Thermochim. Acta 2018, 669, 16–29. [Google Scholar] [CrossRef]
- Jia, S.; Yu, D.; Zhu, Y.; Wang, Z.; Chen, L.; Fu, L. Morphology, crystallization and thermal behaviors of PLA-based composites: Wonderful effects of hybrid GO/PEG via dynamic impregnating. Polymers 2017, 9, 528. [Google Scholar] [CrossRef] [Green Version]
- Lee, D.W.; Yoo, B.R. Advanced silica/polymer composites; Materials and applications. J. Ind. Eng. Chem. 2016, 38, 1–12. [Google Scholar] [CrossRef]
- Maximiliano, P.; Durães, L.; Simões, P. Intermolecular interactions in composites of organically-modified silica aerogels and polyemres. A molecular simulation study. Micropor. Mesopor. Mat. 2021, 314, 110838. [Google Scholar] [CrossRef]
- Perera, K.Y.; Jaiswal, S.; Jaiswal, A.K. A review on nanohybrids based bio-nanocomposites for food packaging. Food Chem. 2022, 376, 131912. [Google Scholar] [CrossRef]
- Islam, E.; Kumar, A.; Lukkumanul Hakkim, N.; Nebhani, L. Silica reinforced polymer composites: Properties, characterization and applicatioons. Ref. Module Mater. Sci. Eng. 2021. [Google Scholar] [CrossRef]
- Lv, H.; Song, S.; Sun, S.; Ren, L.; Zhang, H. Enriched properties of poly(lactic acid) with silica nanoparticles. Polym. Adv. Technol. 2016, 27, 1156–1163. [Google Scholar] [CrossRef]
- Zsadzińska, A.; Klapiszewski, L.; Borysiak, S.; Jesionowski, T. Thermal and mechanicsl properties of silica-lignin/polylactic comositions subjected to biodegradation. Materials 2018, 11, 2257. [Google Scholar] [CrossRef] [PubMed] [Green Version]
- Raquez, J.-M.; Habibi, Y.; Murariu, M.; Duboi, P. Polylactide (PLA)-based nanocomposites. Prog. Polym. Sci. 2013, 38, 1504–1542. [Google Scholar] [CrossRef]
- Bagheria, E.; Ansaric, L.; Taghdisib, S.M.; Charbgood, F.; Ramezania, M.; Alibolandi, M. Silica based hybrid materials for drug delivery and bioimaging. J. Control. Release 2018, 277, 57–76. [Google Scholar] [CrossRef]
- Bang, G.; Kim, S.W. Biodegradable poly(lactic acid)-based hybrid coating materials for food packaging films with gas barrier properties. J. Ind. Eng. Chem. 2012, 18, 1063–1068. [Google Scholar] [CrossRef]
- Ramachandra, M.G.; Rajeswar, N. Influence of Nano Silica on Mechanical and Tribological Properties of Additive Manufactured PLA Bio Nanocomposite. Silicon 2022, 14, 703–709. [Google Scholar] [CrossRef]
- Miletto, I.; Gianotti, E.; Delville, M.-H.; Berlier, G. Silica-based organic-inorganic hybrid nanomaterials for optical bioimaging. In Hybrid Organic-Inorganic Interfaces: Towards Advanced Functional Materials, 1st ed.; Delville, M.-H., Taubert, A., Eds.; Wiley: New York, NY, USA, 2018; Volume 1, pp. 729–765. [Google Scholar]
- Elzayat, A.; Tolba, E.; Pérez-Pla, F.F.; Oraby, A.; Muñoz-Espí, R. Increased stability of polysaccharide/silica hybrid sub-millicarriers for retarded release of hydrophilic substances. Macromol. Chem. Phys. 2021, 222, 2100027. [Google Scholar] [CrossRef]
- Liu, Y.; Huang, J.; Zhou, J.; Wang, Y.; Cao, L.; Chen, Y. Influence of selective distribution of SiO2 nanoparticles on shape memory behavior of co-continuous PLA/NR/SiO2 TPVs. Mater. Phys. Chem. 2020, 242, 122538. [Google Scholar] [CrossRef]
- Terzopoulou, Z.; Klonosa, P.A.; Kyritsis, A.; Tziolas, A.; Avgeropoulos, A.; Papageorgioud, G.Z.; Bikiaris, D.N. Interfacial interactions, crystallization and molecular mobility in nanocomposites of poly(lactic acid) filled with new hybrid inclusions based on graphene oxide and silica nanoparticles. Polymer 2019, 166, 1–12. [Google Scholar] [CrossRef]
- Bagheri, E.; Naserifar, M.; Ramezani, P.; Alibolandi, M. Silica-polymer hybrid nanoparticles for drug delivery and bioimaging. In Hybrid Nanomaterials for Drug Delivery, 1st ed.; Woodhead Publishing Series in Biomaterials; Prashant, K., Jain, N.K., Eds.; Elsevier: London, UK, 2022; pp. 227–243. [Google Scholar]
- Gomes, S.R.; Margaça, F.M.A.; Miranda Salvado, I.M.; Ferreira, L.M.; Falsão, A.N. Preparation of silica-based hybrid materials by gamma irradiation. Nucl. Instrum. Meth. B. 2006, 248, 291–298. [Google Scholar] [CrossRef]
- Sbardella, F.; Bracciale, M.P.; Santarelli, M.L.; Asua, J.M. Waterborne modified-silica/acrylates hybrid nanocomposites as surface protective coatings for stone monuments. Prog. Org. Coat. 2020, 149, 105897. [Google Scholar] [CrossRef]
- Zhang, W.; Blackburn, R.S.; Dehghani-Sanij, A.A. Effect of silica concentration on electrical conductivity of epoxy resin-carbon black-silica nanocomposites. Scr. Mater. 2007, 56, 581–584. [Google Scholar] [CrossRef]
- Bae, J.; Lee, J.; Park, C.S.; Kwan, O.S.; Lee, C.-S. Fabrication of photo-crosslinkable polymer/silica sol-gel hybrid thin films as versatile barrier films. J. Ind. Eng. Chem. 2016, 38, 61–66. [Google Scholar] [CrossRef]
- Zhang, S.; Sun, B.; Jing, X.; Li, L.; Meng, Z.; Zhu, M. Remarkably enhanced thermal stability of an irradiation-crosslinked ethylene-octene copolymer by incorporation of a novel organic/inorganic hybrid nano-sensitizer. Radiat. Phys. Chem. 2015, 106, 242–246. [Google Scholar] [CrossRef]
- Ai, S.; Mazumdar, S.; Li, H.; Cao, Y.; Li, T. Nano-silica doped composite polymer chitosan/poly(ethylene oxide) based electrolyte with hugh electrochemical stability suitable for quasi solid state lithium metal batteries. J. Electroanal. Chem. 2021, 895, 115464.0. [Google Scholar] [CrossRef]
- Huang, J.-W.; Hung, Y.C.; Wen, Y.-L.; Kang, C.-C.; Yeh, M.-Y. Polylactide/nano and microscale silica composite films. I. Preparation and characterization. J. Appl. Polym. Sci. 2009, 112, 1688–1694. [Google Scholar] [CrossRef]
- Wen, X.; Zhang, K.; Wang, Y.; Han, L.; Han, C.; Zhang, H.; Chen, S.; Dong, L. Study of the thermal stabilization mechanism of biodegradable poly(L-lactide)/silica nanocomposites. Polym Int. 2011, 60, 202–210. [Google Scholar] [CrossRef]
- Kontou, E.; Georgiopoulos, P.; Niaounakis, M. The role of nanofillers on the degradation behavior of polylactic acid. Polym. Compos. 2012, 33, 282–294. [Google Scholar] [CrossRef]
- Almeida, J.C.; Lancastre, J.; Vaz Fernandez, M.H.; Margaça, F.M.A.; Ferreira, L.; Miranda Salvado, I.M. Evaluating structural and microstructural changes of PDMS-SiO2 hybrid materials after sterilization by gamma irradiation. Mater. Sci. Eng. C 2015, 48, 354–358. [Google Scholar] [CrossRef] [Green Version]
- Thunga, M.; Das, A.; Häuβler, L.; Weidisch, R.; Heinrich, G. Preparation and properties of nanocomposites based on Ps-b-(PS/PB)-b-PS triblock copolymer by controlling the size of silica nanoparticles with electron beam irradiation. Compos. Sci. Technol. 2010, 70, 215–222. [Google Scholar] [CrossRef]
- Ortenzi, M.A.; Basilissi, L.; Farina, H.; di Silvestro, G.; Piergiovanni, L.; Mascheroni, E. Evaluation of crystallinity and gas permeation properties of films obtained from PLA nanocomposites sunthesized via “in situ” polymerization of L-lactide with silane-modified nanosilica and montmorillonite. Eur. Polym. J. 2015, 66, 478–491. [Google Scholar] [CrossRef]
- Régibeau, N.; Tilkin, R.G.; Compère, P.; Heinrichs, B.; Grandfils, C. Preparation of PDLLA based nanocomposites with modified silica by in situ polymerization: Study of molecular, morphological and mechanical properties. Mater. Today Commun. 2020, 25, 101610. [Google Scholar] [CrossRef]
- Lin, H.-L.; Tsai, S.-Y.; Yu, H.-T.; Lin, C.-P. Degradation of polylactic acid by irradiation. J. Polym. Environ. 2018, 26, 122–131. [Google Scholar] [CrossRef]
- Soebiato, Y.S.; Katzumura, Y.; Ishigure, K.; Kubo, J.; Hamakawa, S.; Kudoh, H.; Seguchi, T. Radiation induced oxidation of liquid alkanes as a polymer model. Radiat. Phys. Chem. 1996, 48, 449–456. [Google Scholar] [CrossRef]
- Cheng, Z.; Shan, H.; Sun, Y.; Zhang, L.; Jiang, H.; Li, C. Evolution mechanism of surface hydroxyl groups of silica during heat treatment. Appl. Surf. Sci. 2020, 513, 145766. [Google Scholar] [CrossRef]
- Dondi, D.; Buttafava, A.; Stagnaro, P.; Turturro, A.; Priola, A.; Bracco, S.; Galinetto, P.; Faucitano, A. The radiation induced grafting of polybutadiene onto silica. Radiat. Phys. Chem. 2009, 78, 525–530. [Google Scholar] [CrossRef]
- Oza, S.; Ning, H.; Ferguson, I.; Lu, N. Effect of surface treatment on thermal stability of the hemp-PLA composites: Correlation of activation energy with thermal degradation. Compos. B Eng. 2014, 67, 227–232. [Google Scholar] [CrossRef]













| SiO2 Loading (%) | OOT (°C) | |||
|---|---|---|---|---|
| 3.7 °C min−1 | 5.0 °C min−1 | 10.0 °C min−1 | 15.0 °C min−1 | |
| D = 0 kGy | ||||
| 0 | 170 | 175 | 177 | 187 |
| 3 | 175 | 190 | 205 | 210 |
| 5 | 177 | 191 | 208 | 215 |
| 10 | 187 | 192 | 210 | 218 |
| D = 25 kGy | ||||
| 0 | 150 | 165 | 184 | 192 |
| 3 | 157 | 168 | 181 | 186 |
| 5 | 162 | 175 | 185 | 192 |
| 10 | 172 | 181 | 195 | 202 |
Publisher’s Note: MDPI stays neutral with regard to jurisdictional claims in published maps and institutional affiliations. |
© 2022 by the authors. Licensee MDPI, Basel, Switzerland. This article is an open access article distributed under the terms and conditions of the Creative Commons Attribution (CC BY) license (https://creativecommons.org/licenses/by/4.0/).
Share and Cite
Lupu, A.M.; Mariş, M.; Zaharescu, T.; Marinescu, V.E.; Iovu, H. Stability Study of the Irradiated Poly(lactic acid)/Styrene Isoprene Styrene Reinforced with Silica Nanoparticles. Materials 2022, 15, 5080. https://doi.org/10.3390/ma15145080
Lupu AM, Mariş M, Zaharescu T, Marinescu VE, Iovu H. Stability Study of the Irradiated Poly(lactic acid)/Styrene Isoprene Styrene Reinforced with Silica Nanoparticles. Materials. 2022; 15(14):5080. https://doi.org/10.3390/ma15145080
Chicago/Turabian StyleLupu (Luchian), Ana Maria, Marius Mariş, Traian Zaharescu, Virgil Emanuel Marinescu, and Horia Iovu. 2022. "Stability Study of the Irradiated Poly(lactic acid)/Styrene Isoprene Styrene Reinforced with Silica Nanoparticles" Materials 15, no. 14: 5080. https://doi.org/10.3390/ma15145080
APA StyleLupu, A. M., Mariş, M., Zaharescu, T., Marinescu, V. E., & Iovu, H. (2022). Stability Study of the Irradiated Poly(lactic acid)/Styrene Isoprene Styrene Reinforced with Silica Nanoparticles. Materials, 15(14), 5080. https://doi.org/10.3390/ma15145080

