Novel Expandable Epoxy Beads and Epoxy Particle Foam
Abstract
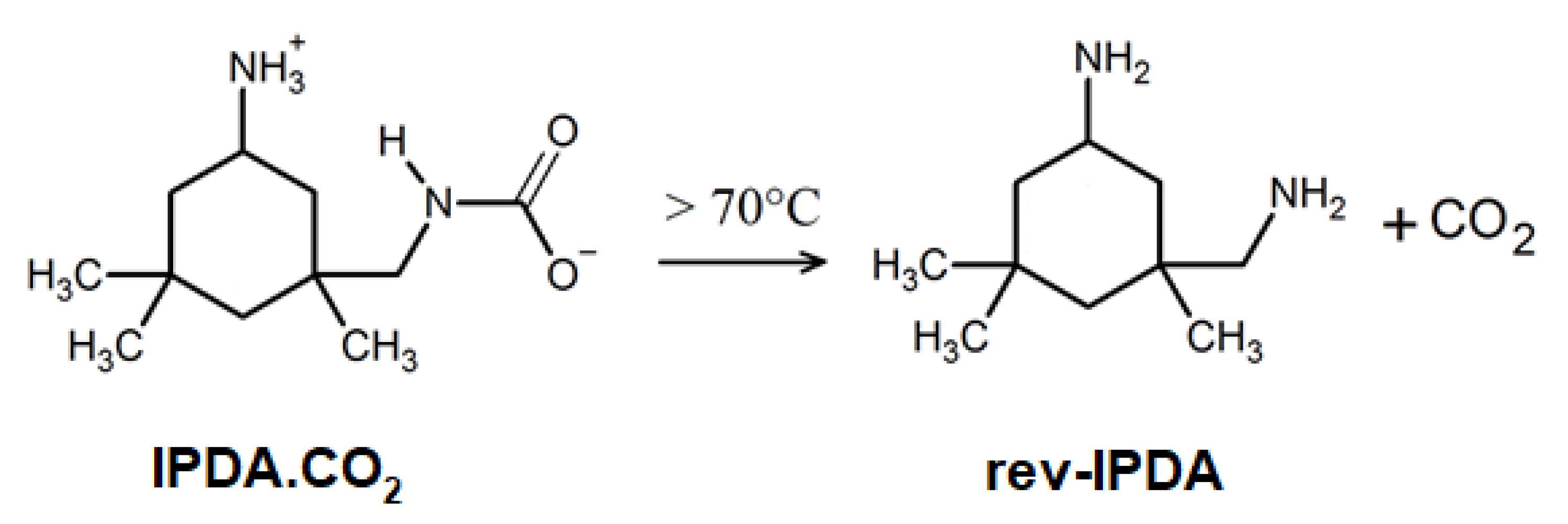
:1. Introduction
2. Materials and Methods
2.1. Materials
2.2. Methods
2.3. Characterization and Testing
- : energy absorption efficiency
3. Results and Discussion
3.1. Rheological Behavior of DEN431-2914-IPDA.CO2
3.2. EEB Properties and Density of Epoxy Beads
3.3. Morphology of EPF after Foaming and Curing at 160 °C
3.4. Morphology of Cellular Structure by SEM
3.5. Mechanical Compressive Property
3.6. Torsional Modulus and Glass Transition Temperature from DMA Test
4. Conclusions
Author Contributions
Funding
Institutional Review Board Statement
Informed Consent Statement
Data Availability Statement
Acknowledgments
Conflicts of Interest
References
- Kuhnigk, J.; Standau, T.; Dörr, D.; Brütting, C.; Altstädt, V.; Ruckdäschel, H. Progress in the development of bead foams—A review. J. Cellul. Plast. 2022. [Google Scholar] [CrossRef]
- Standau, T.; Nofar, M.; Dörr, D.; Ruckdäschel, H.; Altstädt, V. A Review on Multifunctional Epoxy-Based Joncryl®ADR Chain Extended Thermoplastics. Polym. Rev. 2021, 62, 296–350. [Google Scholar] [CrossRef]
- Bethke, C.; Goedderz, D.; Weber, L.; Standau, T.; Döring, M.; Altstädt, V. Improving the flame-retardant property of bottle-grade PET foam made by reactive foam extrusion. J. Appl. Polym. Sci. 2020, 137, 49042. [Google Scholar] [CrossRef] [Green Version]
- Uy-Lan, D.N.; Bethke, C.; Altstädt, V.; Ruckdäschel, H. New Insights on Expandability of Pre-Cured Epoxy Using a Solid-State CO2-Foaming Technique. Polymers 2021, 13, 2441. [Google Scholar] [CrossRef]
- Haybat, M.; Guenther, T.; Kulkarni, R.; Sahakalkan, S.; Grözinger, T.; Rothermel, T.; Weser, S.; Zimmermann, A. Characterization of Hermetically Sealed Metallic Feedthroughs through Injection-Molded Epoxy-Molding Compounds. Appl. Mech. 2021, 2, 976–995. [Google Scholar] [CrossRef]
- Hypercube Graph Q4. Available online: https://en.wikipedia.org/wiki/Hypercube_graph (accessed on 7 April 2022).
- Bethke, C.; Sanchez-Vazquez, S.A.; Raps, D.; Bakis, G.; Bard, S.; Ngoc, U.L.D.; Volker, A. Effect of Resin and Blocked/Unblocked Hardener Mixture on the Production of Epoxy Foams with CO2 Blocked Hardener in Batch Foaming Process. Polymers 2019, 11, 793. [Google Scholar] [CrossRef] [Green Version]
- Bethke, C.; Kaysser, S.T.; Uy-Lan, D.N.; Goller, S.M.; Zwan, K.P.v.d.; Senker, J.; Ruckdäschel, H.; Altstädt, V. Synthesis and Characterization of Dual-Functional Carbamates as Blowing and Curing Agents for Epoxy Foam. Ind. Eng. Chem. Res. 2021, 60, 7065–7080. [Google Scholar] [CrossRef]
- Bethke, C.; Goller, S.M.; Uy-Lan, D.N.; Kaysser, S.T.; Altstädt, V.; Ruckdäschel, H. Tailoring Epoxy Resin Foams by Pre-Curing with Neat Amine Hardeners and Its Derived Carbamates. Polymers 2021, 13, 1348. [Google Scholar] [CrossRef]
- Uy-Lan, D.N.; Bethke, C.; Altstädt, V.; Ruckdäschel, H. Preparation of pros-foam sheets and their epoxy foams using the solid-state carbamate-foaming technique. Polymer 2022, 125080, ISSN 0032-3861. [Google Scholar]
- MSDS of Toluene-4-Sulfonohydrazide (TSH). Available online: https://www.trc-canada.com/prod-img/MSDS/T535925MSDS.pdf (accessed on 27 April 2022).
- MSDS of Azodicarboxamide (ADC). Available online: https://www.sigmaaldrich.com/HU/en/sds/aldrich/a96606 (accessed on 27 April 2022).
- Foaming Epoxy System, Sicomin. Available online: http://sicomin.com/products/epoxy-systems/foaming (accessed on 27 April 2022).
- Foaming Epoxy Resoltech. Available online: https://www.resoltech.com/en/applications/foaming.html (accessed on 25 April 2022).
- Foaming Epoxy System Gurit. Available online: https://www.gurit.com/-/media/Gurit/Datasheets/ampreg-f2301.pdf (accessed on 3 May 2022).
- Sika Epoxy Foam. Available online: https://www.compositeshop.de/xoshop/files/Biresin_ER200.pdf (accessed on 27 April 2022).
- Epoxy Foam Altropol. Available online: https://www.altropol.de/wp-content/uploads/2018/01/E_EP_RF_200.pdf (accessed on 3 May 2022).
- Afolabi, L.O.; Ariff, Z.M.; Hashim, S.F.S.; Alomayri, T.; Mahzan, S.; Kamarudin, K.A.; Muhammad, I.D. Syntactic foams formulations, production techniques, and industry applications: A review. J. Mater. Res. Technol. 2020, 9, 10698–10718. [Google Scholar] [CrossRef]
- Anirudh, S.; Jayalakshmi, C.G.; Anand, A.; Kandasubramanian, B.; Ismail, S.O. Epoxy/hollow glass microsphere syntactic foams for structural and functional application-A review. Euro. Polym. J. 2022, 171, 111163. [Google Scholar] [CrossRef]
- Uy-Lan, D.N.; Bakar, A.A.; Azahari, B.; Ariff, Z.M.; Chujo, Y. Porous epoxy microparticles prepared by an advanced aqueous method. Mater. Lett. 2011, 65, 1655. [Google Scholar] [CrossRef]
- Bakar, A.A.; Uy-Lan, D.N.; Azahari, B.; Ariff, Z.M. Production of novel epoxy micro-balloons. Mater. Lett. 2009, 63, 827. [Google Scholar] [CrossRef]
- Leemsuthep, A.; Zunaida, Z.; Varaporn, T.; Uy-Lan, D.N. Formation of Porous Epoxy Micro-beads from a Single Droplet of Epoxy-Polyamide-Ammonium Bicarbonate at Different Temperatures. Evergreen 2021, 8, 328–334. [Google Scholar] [CrossRef]
- Nayan, N.A.M.; Leemsuthep, A.; Zakaria, Z.; Uy-Lan, D.N. Preparation of epoxy composite hollow microspheres (ECHM) using toluenesulfonyl hydrazide (TSH) as blowing agent. Macromol. Symp. 2017, 371, 94–100. [Google Scholar] [CrossRef]
- Leemsuthep, A.; Zakaria, Z.; Kahar, A.W.M.; Uy-Lan, D.N. Effect of emulsion temperature on properties of conductive epoxy porous prepared by single emulsion technique effect of emulsion temperature on properties of conductive epoxy porous prepared by single emulsion technique. IOP Conf. Ser. Mater. Sci. Eng. 2018, 429, 1–6. Available online: https://iopscience.iop.org/article/10.1088/1757-899X/429/1/012061 (accessed on 27 April 2022).
- Ancamine 2914UF—Evonik. Available online: https://crosslinkers.evonik.com/en/products/ancamine/Ancamine-2914UF (accessed on 27 April 2022).
- Flores-Johnson, E.A.; Li, Q.M. Indentation into polymeric foams. Int. J. Sol. Struc. 2010, 47, 1987–1995. [Google Scholar] [CrossRef] [Green Version]
- Kim, J.D.; Kim, J.H.; Lee, D.H.; Yeom, D.J.; Lee, J.M. Synthesis and Investigation of Cryogenic Mechanical Properties of Chopped-Glass-Fiber-Reinforced Polyisocyanurate Foam. Materials 2021, 14, 446. [Google Scholar] [CrossRef]
- Gazzani, S.E.; Nassiet, V.; Habas, J.P.; Freydier, C.; Hilleshein, A. High Temperature Epoxy Foam: Optimization of Process Parameters. Polymers 2016, 8, 215. [Google Scholar] [CrossRef] [Green Version]
- Landro, L.D.; Sala, G.; Olivieri, D. Deformation mechanisms and energy absorption of polystyrene foams for protective helmets. Polym. Test. 2002, 21, 217–228. [Google Scholar] [CrossRef]
- Wang, L.; Yang, B.; Zhou, L.; Xue, B.; Yang, Z. Evolution of anisotropic bubbles and transition of the mechanical and electrical properties during a non-continuous two-step foaming of epoxy/carbon nanofiber composites. Com. Sci. Tech. 2021, 213, 108918. [Google Scholar] [CrossRef]
- Cui, K.; Jiang, G.; Xie, C.; Yang, L.; He, Y.; Shen, X.; Wang, X. A novel temperature-sensitive expandable lost circulation material based on shape memory epoxy foams to prevent losses in geothermal drilling. Geothermics 2021, 95, 102145. [Google Scholar] [CrossRef]
- Hatakeyama, H.; Hirogaki, A.; Matsumura, H.; Hatakeyama, T. Glass transition temperature of polyurethane foams derived from lignin by controlled reaction rate. J. Therm. Anal. Calorim. 2013, 114, 1075–1082. [Google Scholar] [CrossRef]






















| Code | Epoxy D.E.N 431 | Ancamine 2914UF | IDPA.CO2 | Theoretical CO2 |
|---|---|---|---|---|
| EN.A.IDPA.CO2 | 12.20 g | 1.00 g | 3.20 g | 4.1% |
| Code | Tan Delta | Target Density, kg/m3 | Foaming Temperature, °C | Foaming Time, Minutes |
|---|---|---|---|---|
| Tan3-d210 | 3 | 210 | 160 | 60 |
| Tan3-d258 | 3 | 258 | 160 | 60 |
| Tan2-d210 | 2 | 210 | 160 | 60 |
| Tan2-d258 | 2 | 258 | 160 | 60 |
| Rheological | G’30 °C, kPa | Tfoaming, °C | G’foaming, kPa | Tgel °C | G’gel, kPa |
|---|---|---|---|---|---|
| EEB−tan 3 | 30.1 | 127 | 0.3 | 130 | 0.33 |
| EEB−tan 2 | 48.1 | 117 | 0.74 | 117 | 0.77 |
| Weight Loss % | f140 °C | f150 °C | f160 °C |
|---|---|---|---|
| EEB−tan 3 | 4.6 ± 0.2 | 4.7 ± 0.5 | 4.7 ± 0.4 |
| EEB−tan 2 | 4.6 ± 0.2 | 4.5 ± 0.3 | 4.5 ± 0.2 |
| Density | f140 °C | f150 °C | f160 °C |
| EEB−tan 3 | 167 ± 5 | 150 ± 12 | 130 ± 12 |
| EEB−tan 2 | 169 ± 5 | 160 ± 5 | 132 ± 7 |
| Sample | tan 3–d 214 | tan 2–d 212 | tan 3–d 258 | tan 2–d 258 |
|---|---|---|---|---|
| Weight loss, % | 4.7 ± 0.1 | 4.8 ± 0.1 | 4.5 ± 0.1 | 4.6 ± 0.1 |
| Density, kg·m−3 | 214 ± 1 | 211 ± 2 | 258 ± 1 | 258 ± 1 |
| Mechanical compressive properties | ||||
| Compressive modulus, MPa | 53.9 ± 4.7 | 51.8 ± 4.7 | 70.3 ± 2.3 | 65.3 ± 1.8 |
| Specific compressive stress at 10%, MPa/kg·m−3 | 13.1 ± 0.4 | 12.6 ± 1.0 | 15.9 ± 0.5 | 15.6 ± 0.3 |
| Specific compressive stress at 50%, MPa/kg·m−3 | 20.2 ± 1.2 | 20.8 ± 1.0 | 25.0 ± 0.9 | 24.3 ± 0.9 |
| Energy consumption, Wc, J/cm3 | 1.70 ± 0.10 | 1.71 ± 0.10 | 2.54 ± 0.03 | 2.51 ± 0.06 |
| Densification strain, εd, % | 0.55 ± 0.01 | 0.54 ± 0.01 | 0.53 ± 0.01 | 0.53 ± 0.01 |
| Torsion dynamic mechanical properties | ||||
| G’@30°C, MPa | 33.9 | 42.0 | 46.6 | 56.4 |
| Tg °C | 150.6 | 152.6 | 153.0 | 153.9 |
Publisher’s Note: MDPI stays neutral with regard to jurisdictional claims in published maps and institutional affiliations. |
© 2022 by the authors. Licensee MDPI, Basel, Switzerland. This article is an open access article distributed under the terms and conditions of the Creative Commons Attribution (CC BY) license (https://creativecommons.org/licenses/by/4.0/).
Share and Cite
Uy Lan, D.N.; Brütting, C.; Bethke, C.; Meuchelböck, J.; Standau, T.; Altstädt, V.; Ruckdäschel, H. Novel Expandable Epoxy Beads and Epoxy Particle Foam. Materials 2022, 15, 4205. https://doi.org/10.3390/ma15124205
Uy Lan DN, Brütting C, Bethke C, Meuchelböck J, Standau T, Altstädt V, Ruckdäschel H. Novel Expandable Epoxy Beads and Epoxy Particle Foam. Materials. 2022; 15(12):4205. https://doi.org/10.3390/ma15124205
Chicago/Turabian StyleUy Lan, Du Ngoc, Christian Brütting, Christian Bethke, Johannes Meuchelböck, Tobias Standau, Volker Altstädt, and Holger Ruckdäschel. 2022. "Novel Expandable Epoxy Beads and Epoxy Particle Foam" Materials 15, no. 12: 4205. https://doi.org/10.3390/ma15124205
APA StyleUy Lan, D. N., Brütting, C., Bethke, C., Meuchelböck, J., Standau, T., Altstädt, V., & Ruckdäschel, H. (2022). Novel Expandable Epoxy Beads and Epoxy Particle Foam. Materials, 15(12), 4205. https://doi.org/10.3390/ma15124205

