Evaluation of Color and Spectral Behavior of a Novel Flowable Resin Composite after Water Aging: An In Vitro Study
Abstract
:1. Introduction
2. Materials and Methods
2.1. Preparation of Specimen
2.2. Color Measuring Procedure
2.3. Light Transmittance and Spectral Reflectance
2.4. Statistical Analysis
3. Results
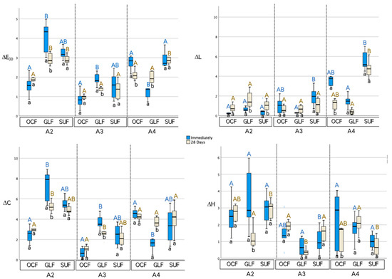
3.1. Color Measurement
3.2. Spectral Behavior
4. Discussion
5. Conclusions
Author Contributions
Funding
Data Availability Statement
Conflicts of Interest
References
- Baroudi, K.; Rodrigues, J.C. Flowable Resin Composites: A Systematic Review and Clinical Considerations. J. Clin. Diagn. Res. 2015, 9, 18–24. [Google Scholar] [CrossRef] [PubMed]
- Gjorgievska, E.; Oh, D.S.; Haam, D.; Gabric, D.; Coleman, N.J. Evaluation of Efficiency of Polymerization, Surface Roughness, Porosity and Adaptation of Flowable and Sculptable Bulk Fill Composite Resins. Molecules 2021, 26, 5202. [Google Scholar] [CrossRef] [PubMed]
- Cieplik, F.; Scholz, K.J.; Tabenski, I.; May, S.; Hiller, K.A.; Schmalz, G.; Buchalla, W.; Federlin, M. Flowable composites for restoration of non-carious cervical lesions: Results after five years. Dent. Mater. 2017, 33, 428–437. [Google Scholar] [CrossRef] [PubMed]
- Nakamura, N.; Yamada, A.; Iwamoto, T.; Arakaki, M.; Tanaka, K.; Aizawa, S.; Nonaka, K.; Fukumoto, S. Two-year clinical evaluation of flowable composite resin containing pre-reacted glass-ionomer. Pediatr. Dent. J. 2009, 19, 89–97. [Google Scholar] [CrossRef] [Green Version]
- Pereira, L.D.E.; Neto, M.P.C.; Pereira, R.G.; Schneider, L.F.J. Influence of resin matrix on the rheology, translucency, and curing potential of experimental flowable composites for bulk-fill applications. Dent. Mater. 2021, 37, 1046–1053. [Google Scholar] [CrossRef]
- Arai, Y.; Kurokawa, H.; Takamizawa, T.; Tsujimoto, A.; Saegusa, M.; Yokoyama, M. Evaluation of structural coloration of experimental flowable resin composites. J. Esthet. Restor. Dent. 2021, 33, 284–293. [Google Scholar] [CrossRef]
- Lee, Y.K. Influence of scattering/absorption characteristics on the color of resin composites. Dent. Mater. 2007, 23, 124–131. [Google Scholar] [CrossRef]
- Lee, Y.K.; Lu, H.; Powers, J.M. Measurement of opalescent property of resin composites. Dent. Mater. 2005, 21, 1068–1074. [Google Scholar] [CrossRef]
- Oivanen, M.; Keulemans, F.; Garoushi, S.; Vallittu, P.K.; Lassila, L. The effect of refractive index of fillers and polymer matrix on translucency and color matching of dental resin composite. Biomater. Investig. Dent. 2021, 8, 48–53. [Google Scholar] [CrossRef]
- Mirică, I.C.; Furtos, G.; Bâldea, B.; Lucaciu, O.; Ilea, A.; Moldovan, M.; Câmpian, R.S. Influence of Filler Loading on the Mechanical Properties of Flowable Resin Composites. Materials 2020, 13, 1477. [Google Scholar] [CrossRef] [Green Version]
- Paravina, R.D.; Ontiveros, J.C.; Powers, J.M. Accelerated aging effects on color and translucency of bleaching-shade composites. J. Esthet. Restor. Dent. 2004, 16, 117–126. [Google Scholar] [CrossRef] [PubMed]
- Korkmaz Ceyhan, Y.; Ontiveros, J.C.; Powers, J.M.; Paravina, R.D. Accelerated Aging Effects on Color and Translucency of Flowable Composites. J. Esthet. Restor. Dent. 2014, 26, 272–278. [Google Scholar] [CrossRef] [PubMed]
- Mina, N.R.; Baba, N.Z.; Al-Harbi, F.A.; Elgezawi, M.F.; Daou, M. The influence of simulated aging on the color stability of composite resin cements. J. Prosthet. Dent. 2019, 121, 306–310. [Google Scholar] [CrossRef] [PubMed]
- Harorli, O.T.; Barutcigi, C.; Bayindir, Y.Z.; Bayindir, F. Effect of water storage and additional polymerization on the color parameters of flowable resin composites. J. Contemp. Dent. Pract. 2013, 14, 1109–1114. [Google Scholar]
- Ramos, N.C.; Luz, J.N.; Valera, M.C.; Melo, R.M.; Saavedra, G.S.F.A.; Bresciani, E. Color Stability of Resin Cements Exposed to Aging. Oper. Dent. 2019, 44, 609–614. [Google Scholar] [CrossRef]
- Chen, F.; Toida, Y.; Islam, R.; Alam, A.; Chowdhury, A.F.M.A.; Yamauti, M.; Sano, H. Evaluation of shade matching of a novel supra-nano filled esthetic resin composite employing structural color using simplified simulated clinical cavities. J. Esthet. Restor. Dent. 2021, 33, 874–883. [Google Scholar] [CrossRef]
- Tsubone, M.; Nakajima, M.; Hosaka, K.; Foxton, R.M.; Tagami, J. Color shifting at the border of resin composite restorations in human tooth cavity. Dent. Mater. 2012, 28, 811–817. [Google Scholar] [CrossRef]
- Medeiros, J.A.; Pecho, O.E.; Pérez, M.M.; Carrillo-Pérez, F.; Herrera, L.J.; Della Bona, A. Influence of background color on color perception in dentistry. J. Dent. 2021, 108, 103640. [Google Scholar] [CrossRef]
- Del Mar Perez, M.; Ghinea, R.; Herrera, L.J.; Ionescu, A.M.; Pomares, H.; Pulgar, R.; Paravina, R.D. Dental ceramics: A CIEDE2000 acceptability thresholds for lightness, chroma and hue differences. J. Dent. 2011, 39, 37–44. [Google Scholar] [CrossRef]
- Ghinea, R.; Pérez, M.M.; Herrera, L.J.; Rivas, M.J.; Yebra, A.; Paravina, R.D. Color difference thresholds in dental ceramics. J. Dent. 2010, 38, 57–64. [Google Scholar] [CrossRef]
- Gómez-Polo, C.; Muñoz, M.P.; Luengo, M.C.L.; Vicente, P.; Galindo, P.; Casado, A.M.M. Comparison of the CIELab and CIEDE2000 color difference formulas. J. Prosthet. Dent. 2016, 115, 65–70. [Google Scholar] [CrossRef] [PubMed]
- Paravina, R.D.; Pérez, M.M.; Ghinea, R. Acceptability and perceptibility thresholds in dentistry: A comprehensive review of clinical and research applications. J. Esthet. Restor. Dent. 2019, 31, 103–112. [Google Scholar] [CrossRef] [PubMed]
- Gómez-Polo, C.; Gómez-Polo, M.; Viñuela, A.C.; de Parga, J.A.M.V. A clinical study relating CIELCH coordinates to the color dimensions of the 3D-Master System in a Spanish population. J. Prosthet. Dent. 2015, 113, 185–190. [Google Scholar] [CrossRef] [PubMed]
- Gómez-Polo, C.; Gómez-Polo, M.; Celemin-Viñuela, A.; De Parga, J.A.M.V. Differences between the human eye and the spectrophotometer in the shade matching of tooth color. J. Dent. 2014, 42, 742–745. [Google Scholar] [CrossRef]
- Pecho, O.E.; Pérez, M.M.; Ghinea, R.; Della Bona, A. Lightness, chroma and hue differences on visual shade matching. Dent. Mater. 2016, 32, 1362–1373. [Google Scholar] [CrossRef]
- Del Rio, D.L.; Johnston, W.M. Optical characteristics of experimental dental composite resin materials. J. Dent. 2022, 118, 103949. [Google Scholar] [CrossRef]
- Arimoto, A.; Nakajima, M.; Hosaka, K.; Nishimura, K.; Ikeda, M.; Foxton, R.M.; Tagami, J. Translucency, opalescence and light transmission characteristics of light-cured resin composites. Dent. Mater. 2010, 26, 1090–1097. [Google Scholar] [CrossRef]
- Kamishima, N.; Ikeda, T.; Sano, H. Color and translucency of resin composites for layering techniques. Dent. Mater. J. 2005, 24, 428–432. [Google Scholar] [CrossRef] [Green Version]
- Keyf, F.; Yalcin, F. The weight change of various light-cured restorative materials stored in water. J. Contemp. Dent. Pract. 2005, 6, 72–79. [Google Scholar]
- Yagci, F.; Balkaya, H.; Demirbuga, S. Discoloration Behavior of Resin Cements Containing Different Photoinitiators. Int. J. Periodontics Restor. Dent. 2021, 41, 113–120. [Google Scholar] [CrossRef]
- Mansouri, S.A.; Zidan, A.Z. Effect of Water Sorption and Solubility on Color Stability of Bulk-Fill Resin Composite. J. Contemp. Dent. Pract. 2018, 19, 1129–1134. [Google Scholar] [PubMed]
- Vichi, A.; Ferrari, M.; Davidson, C.L. Color and opacity variations in three different resin-based composite products after water aging. Dent. Mater. 2004, 20, 530–534. [Google Scholar] [CrossRef] [PubMed] [Green Version]
- Poggio, C.; Ceci, M.; Beltrami, R.; Mirando, M.; Wassim, J.; Co-lombo, M. Color stability of esthethic restorative materials: A spectrophotometric analysis. Acta Odontol. Scand. 2016, 2, 95–101. [Google Scholar] [CrossRef] [PubMed]



| Materials | Manufacturer | Shades and Filler Content | Monomer | |
|---|---|---|---|---|
| Paste-Type Composite (Mold) | Estelite Sigma Quick (ESQ) | Tokuyama Dental, Tokyo, Japan | A2, A3, A4 (82 wt%) | Bis-GMA, TEGDMA |
| Gracefil Putty (GP) | GC Corporation, Tokyo, Japan | A2, A3, A4 (82 wt%) | Bis-MEPP, UDMA | |
| Filtek Supreme Ultra (FSU) | 3M ESPE, St Paul, MN, USA | A2, A3, A4 (72.5% wt%) | Bis-EMA, Bis-GMA, UDMA | |
| Flowable composite (Cavity) | OCF-001 (OCF) | Tokuyama Dental, Tokyo, Japan | Universal (71 wt%) | UDMA, Low viscosity monomer |
| Gracefil LoFlo (GLF) | GC Corporation, Tokyo, Japan | Universal (69 wt%) | Bis-MEPP | |
| Supreme Ultra Flowable (SUF) | 3M ESPE, St Paul, MN, USA | A3B (78.5 wt%) | Bis-GMA, TEGDMA |
Publisher’s Note: MDPI stays neutral with regard to jurisdictional claims in published maps and institutional affiliations. |
© 2022 by the authors. Licensee MDPI, Basel, Switzerland. This article is an open access article distributed under the terms and conditions of the Creative Commons Attribution (CC BY) license (https://creativecommons.org/licenses/by/4.0/).
Share and Cite
Chen, F.; Wu, D.; Islam, R.; Toida, Y.; Kawamoto, C.; Yamauti, M.; Sano, H. Evaluation of Color and Spectral Behavior of a Novel Flowable Resin Composite after Water Aging: An In Vitro Study. Materials 2022, 15, 4102. https://doi.org/10.3390/ma15124102
Chen F, Wu D, Islam R, Toida Y, Kawamoto C, Yamauti M, Sano H. Evaluation of Color and Spectral Behavior of a Novel Flowable Resin Composite after Water Aging: An In Vitro Study. Materials. 2022; 15(12):4102. https://doi.org/10.3390/ma15124102
Chicago/Turabian StyleChen, Fei, Di Wu, Rafiqul Islam, Yu Toida, Chiharu Kawamoto, Monica Yamauti, and Hidehiko Sano. 2022. "Evaluation of Color and Spectral Behavior of a Novel Flowable Resin Composite after Water Aging: An In Vitro Study" Materials 15, no. 12: 4102. https://doi.org/10.3390/ma15124102
APA StyleChen, F., Wu, D., Islam, R., Toida, Y., Kawamoto, C., Yamauti, M., & Sano, H. (2022). Evaluation of Color and Spectral Behavior of a Novel Flowable Resin Composite after Water Aging: An In Vitro Study. Materials, 15(12), 4102. https://doi.org/10.3390/ma15124102

