Analysis of the Aggregate Production Process with Different Geometric Properties in the Light Fraction Separator
Abstract
1. Introduction
2. Methodology
2.1. Materials and Methods
2.2. Experiment
3. Results and Discussion
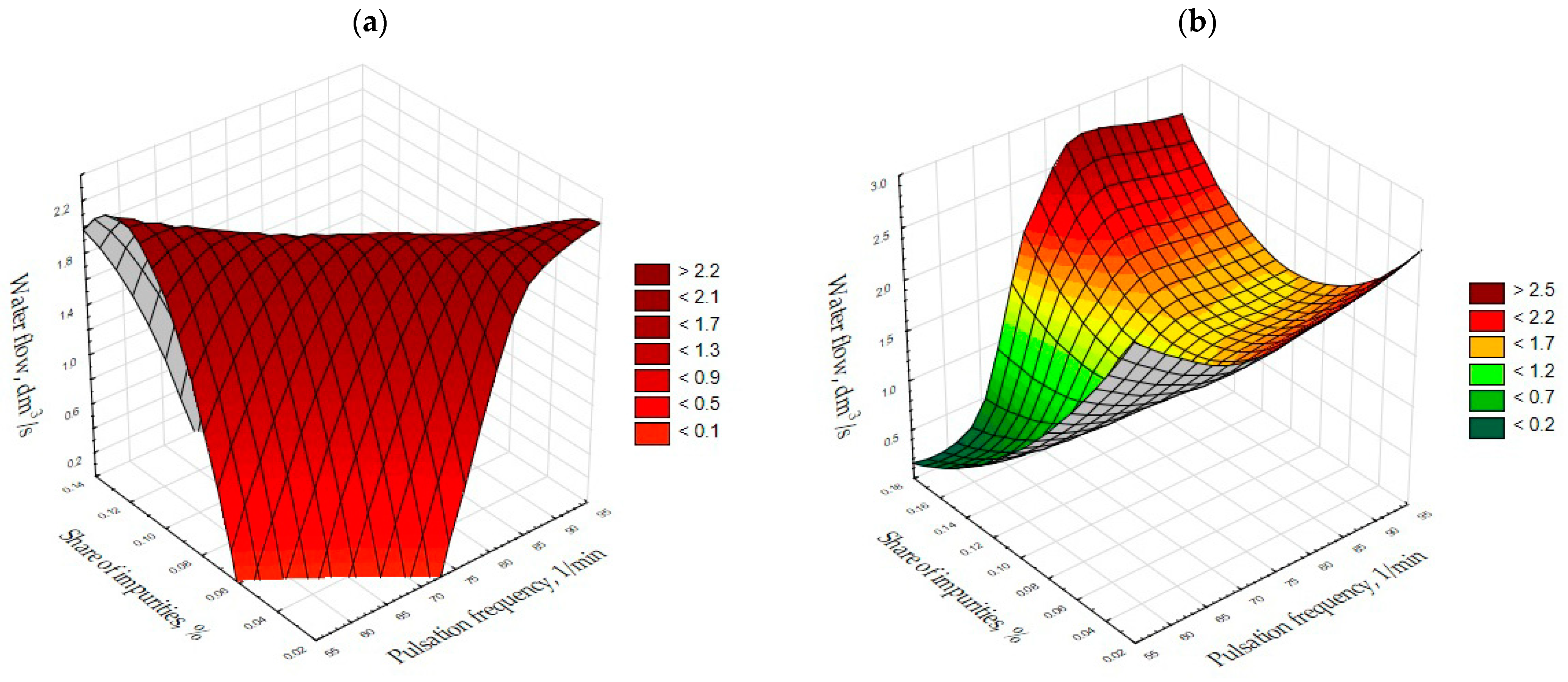
3.1. Multivariate Analysis of the Influence of Variable Parameters on Aggregate Refining Effects
3.2. Influence of SEL Separator Operating Conditions on Process Efficiency
4. Conclusions
- -
- The amplitude and frequency of pulsation should be appropriately selected according to the grain size of the material fed into the separator. As tests showed, coarse grains > 8 mm purify better at a higher amplitude of 8 cm and a pulsation frequency of 60–80 cycles/min, while fine grains < 8 mm reach a better level of purification at an amplitude of 5 cm and a pulsation frequency of 60–80 cycles/min.
- -
- It is important to set the height of the threshold of acceptance for the heavy fraction (No. 2), i.e., purified aggregate. In the case of refining fine grains < 8 mm, better results are obtained by working at a higher aggregate reception threshold (16–18 cm),
- -
- The total water consumption in the case of separation of impurities can be reduced to 1.3 dm3/s. Due to the fact that the size of the water jet does not affect the quality of the purified aggregate in any clear way, it is preferable to work at lower flow rates but with a higher setting of the aggregate reception threshold while maintaining higher pulsation frequencies of 80–90 cycles/min for finer grains. For coarse grains, excessive water flows and a high reception threshold cause turbulence in the reception range of the light product, and under such conditions, the aggregate grains are drawn into the light product, especially at low levels of pulsation frequency.
5. Patents
- Author: Gawenda, T. Title: Układ urządzeń do produkcji kruszyw foremnych, AGH w Krakowie, Patent No. PL233689 granted on 8 July 2019, http://patenty.bg.agh.edu.pl/pelneteksty/PL233689B1.pdf (accessed on 24 April 2022).
- Authors: Gawenda, T.; Saramak, D.; Naziemiec, Z. Title: Układ urządzeń do produkcji kruszyw oraz sposób produkcji kruszyw. AGH w Krakowie, Patent No. PL233318B1 granted on 7 June 2019, http://patenty.bg.agh.edu.pl/pelneteksty/PL233318B1.pdf (accessed on 24 April 2022).
Author Contributions
Funding

Institutional Review Board Statement
Informed Consent Statement
Data Availability Statement
Conflicts of Interest
Appendix A
| Water Flow, dm3/s | Threshold Height, cm | Pulsation Frequency, 1/min | Share of Impurities, % | Throughput, kg/h | |
|---|---|---|---|---|---|
| Irregular grains | |||||
| 1.3 | 18 | 60 | 0.06 | 260,6 | |
| 70 | 0.11 | 328.4 | |||
| 80 | 0.13 | 198.2 | |||
| 90 | 0.07 | 233.7 | |||
| 1.8 | 18 | 60 | 0.31 | 142.8 | |
| 70 | 0.13 | 271.4 | |||
| 80 | 0.10 | 238.9 | |||
| 90 | 0.07 | 330.8 | |||
| 2.1 | 18 | 60 | 0.89 | 193.3 | |
| 70 | 0.78 | 214.5 | |||
| 80 | 0.47 | 233.7 | |||
| 90 | 0.39 | 248.4 | |||
| Regular grains | |||||
| 1.3 | 18 | 60 | 0.02 | 294.8 | |
| 70 | 0.01 | 318.6 | |||
| 80 | 0.02 | 291.2 | |||
| 90 | 0.01 | 332.8 | |||
| 1.8 | 18 | 60 | 0.01 | 291.2 | |
| 70 | 0.02 | 431.0 | |||
| 80 | 0.02 | 363.0 | |||
| 90 | 0.01 | 378.9 | |||
| 2.1 | 18 | 60 | 0.01 | 376.9 | |
| 70 | 0.01 | 418.3 | |||
| 80 | 0.01 | 414.0 | |||
| 90 | 0.01 | 482.4 | |||
| Feed | |||||
| 1.3 | 18 | 60 | 0.03 | 284.4 | |
| 70 | 0.02 | 404.0 | |||
| 80 | 0.05 | 398.1 | |||
| 90 | 0.02 | 402.4 | |||
| 1.8 | 18 | 60 | 0.02 | 371.4 | |
| 70 | 0.02 | 425.6 | |||
| 80 | 0.02 | 416.3 | |||
| 90 | 0.03 | 434.5 | |||
| 2.1 | 18 | 60 | 0.01 | 355.1 | |
| 70 | 0.02 | 505.2 | |||
| 80 | 0.03 | 443.1 | |||
| 90 | 0.02 | 574.6 | |||
| Water Flow, dm3/s | Threshold Height, cm | Pulsation Frequency, 1/min | Share of Impurities, % | Throughput, kg/h |
|---|---|---|---|---|
| Irregular grains | ||||
| 2.1 | 13.5 | 60 | 0.46 | 231.5 |
| 70 | 0.37 | 343.6 | ||
| 80 | 0.39 | 215.5 | ||
| 90 | 0.30 | 345.9 | ||
| 1.8 | 13.5 | 60 | 0.42 | 258.1 |
| 70 | 0.43 | 369.6 | ||
| 80 | 0.37 | 380.0 | ||
| 90 | 0.39 | 357.2 | ||
| 1.8 | 16.5 | 60 | 0.13 | 155.9 |
| 70 | 0.06 | 350.6 | ||
| 80 | 0.08 | 321.8 | ||
| 90 | 0.06 | 353.3 | ||
| 2.1 | 16.5 | 60 | 0.10 | 234.0 |
| 70 | 0.08 | 260.6 | ||
| 80 | 0.05 | 301.0 | ||
| 90 | 0.04 | 374.5 | ||
| Regular grains | ||||
| 2.1 | 16.5 | 60 | 0.04 | 231.7 |
| 70 | 0.03 | 394.5 | ||
| 80 | 0.03 | 285.5 | ||
| 90 | 0.16 | 253.5 | ||
| 1.8 | 16.5 | 60 | 0.05 | 126.3 |
| 70 | 0.04 | 227.6 | ||
| 80 | 0.05 | 311.0 | ||
| 90 | 0.06 | 315.8 | ||
| 1.8 | 13.5 | 60 | 0.13 | 294.6 |
| 70 | 0.16 | 377.4 | ||
| 80 | 0.29 | 432.4 | ||
| 90 | 0.19 | 441.0 | ||
| 2.1 | 13.5 | 60 | 0.35 | 273.0 |
| 70 | 0.46 | 373.4 | ||
| 80 | 0.30 | 469.8 | ||
| 90 | 0.23 | 490.9 | ||
| Feed | ||||
| 2.1 | 13.5 | 60 | 0.18 | 338.8 |
| 70 | 0.37 | 405.1 | ||
| 80 | 0.20 | 401.0 | ||
| 90 | 0.35 | 290.2 | ||
| 1.8 | 13.5 | 60 | 0.64 | 150.2 |
| 70 | 0.30 | 293.5 | ||
| 80 | 0.19 | 363.7 | ||
| 90 | 0.11 | 533.8 | ||
| 1.8 | 16.5 | 60 | 0.09 | 109.7 |
| 70 | 0.03 | 214.4 | ||
| 80 | 0.02 | 223.3 | ||
| 90 | 0.02 | 306.7 | ||
| 2.1 | 16.5 | 60 | 0.02 | 164.1 |
| 70 | 0.02 | 233.9 | ||
| 80 | 0.02 | 316.9 | ||
| 90 | 0.02 | 350.5 | ||
| Water Flow, dm3/s | Threshold Height, cm | Pulsation Frequency, 1/min | Share of Impurities, % | Throughput, kg/h |
|---|---|---|---|---|
| 2.1 | 13.5 | 60 | 0.15 | 425.2 |
| 70 | 0.22 | 385.5 | ||
| 80 | 0.12 | 677.6 | ||
| 90 | 0.36 | 378.0 | ||
| 1.8 | 13.5 | 60 | 0.45 | 335.8 |
| 70 | 0.47 | 383.7 | ||
| 80 | 0.29 | 579.1 | ||
| 90 | 0.18 | 589.8 | ||
| 1.8 | 16.5 | 60 | 0.03 | 272.2 |
| 70 | 0.02 | 329.8 | ||
| 80 | 0.03 | 259.1 | ||
| 90 | 0.03 | 317.3 | ||
| 2.1 | 16.5 | 60 | 0.03 | 249.9 |
| 70 | 0.02 | 314.5 | ||
| 80 | 0.02 | 432.8 | ||
| 90 | 0.02 | 365.9 |
References
- Umar, T.; Egbu, C.; Saidani, M. A modified method for Los Angeles abrasion test. Iran. J. Sci. Technol. Trans. Civ. Eng. 2019, 44, 941–947. [Google Scholar] [CrossRef]
- Umar, T.; Tahir, A.; Egbu, C.; Honnurvali, M.S.; Saidani, M.; Al-Bayati, A.J. Developing a sustainable concrete using ceramic waste powder. In Proceedings of the 11th International Conference on Construction in the 21st Century, London, UK, 9–11 September 2019. [Google Scholar]
- Annual Report UEPG 2020–2021. Available online: https://uepg.eu/mediatheque/media/Final_-_UEPG-AR2020_2021-V05_spreads72dpiLowQReduced.pdf (accessed on 24 May 2022).
- Szuflicki, M.; Malon, A.; Tymiński, M. (Eds.) Bilans Zasobów Złóż Kopalin w Polsce wg Stanu na 31 XII 2020 r; Państwowy Instytut Geologiczny: Warszawa, Poland, 2021. [Google Scholar]
- Cazacliu, B.; Sampaio, C.H.; Miltzarek, G.; Petter, C.; Le Guen, L.; Paranhos, R.; Huchet, F.; Kirchheim, A.P. The potential of using air jigging to sort recycled aggregates. J. Clean. Prod. 2014, 66, 46–53. [Google Scholar] [CrossRef]
- Ambros, W.M.; Cazacliu, B.G.; Sampaio, C.H. Wall effects on particle separation in air jigs. Powder Technol. 2016, 301, 369–378. [Google Scholar] [CrossRef]
- Ambros, W.M.; Sampaio, C.H.; Cazacliu, B.G.; Miltzarek, G.L.; Miranda, L.R. Usage of air jigging for multi-component separation of construction and demolition waste. Waste Manag. 2017, 60, 75–83. [Google Scholar] [CrossRef]
- Sampaio, C.H.; Cazacliu, B.G.; Miltzarek, G.L.; Huchet, F.; le Guen, L.; Petter, C.O.; Paranhos, R.; Ambros, W.M.; Oliveira, M.L.S. Stratification in air jigs of concrete/brick/gypsum particles. Constr. Build. Mater. 2016, 109, 63–72. [Google Scholar] [CrossRef]
- Waskow, R.P.; dos Santos, V.L.G.; Ambros, W.M.; Sampaio, C.H.; Passuello, A.; Tubino, R.M.C. Optimization and dust emissions analysis of the air jigging technology applied to the recycling of construction and demolition waste. J. Environ. Manag. 2020, 266, 110614. [Google Scholar] [CrossRef] [PubMed]
- Saramak, D.; Łagowski, J.; Gawenda, T.; Saramak, A.; Stempkowska, A.; Foszcz, D.; Lubieniecki, T.; Leśniak, K. Modeling of washing effectiveness in a high-pressure washing device obtained for crushed-stone and gravel aggregates. Resources 2020, 9, 119. [Google Scholar] [CrossRef]
- Jungmann, A.; Neumann, T. Alljigs for the separation of impurities out of gravel, sand and recycling material. Aufbereit. Tech. 1991, 32, 18–25. [Google Scholar]
- Osoba, M. Osadzarki wodne pulsacyjne typu KOMAG, maszyny sprawdzone w przeróbce surowców mineralnych. Masz. Górnicze 2005, 23, 56–63. (In Polish) [Google Scholar]
- Kowol, D.; Matusiak, P. Badania skuteczności osadzarkowego oczyszczania kruszywa z ziaren węglanowych. Min. Sci. Miner. Aggreg. 2015, 22, 83–92. (In Polish) [Google Scholar]
- Ito, M.; Saito, A.; Takeuchi, M.; Murase, N.; Phengsaart, T.; Tabelin, C.B.; Hiroyoshi, N. Development of the reverse hybrid jig: Separation of polyethylene and cross-linked polyethylene from eco-cable wire. Miner. Eng. 2021, 174, 107241. [Google Scholar] [CrossRef]
- Theerayut, P.; Ito, M.; Kimura, S.; Azuma, A.; Hori, K.; Tanno, H.; Jeon, S.; Park, I.; Tabelin, C.B.; Hiroyoshi, N. Development of a restraining wall and screw-extractor discharge system for continuous jig separation of mixed plastics. Miner. Eng. 2021, 168, 106918. [Google Scholar]
- Gawenda, T.; Saramak, D.; Stempkowska, A.; Naziemiec, Z. Assessment of selected characteristics of enrichment products for regular and irregular aggregates beneficiation in pulsating jig. Minerals 2021, 11, 777. [Google Scholar] [CrossRef]
- Naziemiec, Z.; Pichniarczyk, P.; Saramak, D. Methods of improvement chalcedonite processing effectiveness with the use of density separation. Gospod. Surowcami Miner. 2017, 33, 163–178. [Google Scholar] [CrossRef][Green Version]
- Surowiak, A. Influence of particle density distributions of their settling velocity for narrow size fractions. Gospod. Surowcami Miner. 2014, 30, 105–122. (In Polish) [Google Scholar] [CrossRef]
- Osoba, M. Osadzarki wodne pulsacyjne typu KOMAG do przeróbki żwiru i piasku. In Proceedings of the Conference Kruszywa Mineralne 2007, Szklarska Poręba, Poland, 18–20 April 2007. (In Polish). [Google Scholar]
- Lutyński, A.; Osoba, M. Dobór technologiczny osadzarek wodnych pulsacyjnych w procesie projektowania. Górnictwo I Geoinżynieria 2009, 33, 259–268. (In Polish) [Google Scholar]
- Osoba, M. Polskie osadzarki wodne pulsacyjne do wzbogacania surowców mineralnych. Inz. Miner. 2014, 34, 287–294. [Google Scholar]
- Neumann, T.; Snoby, R.J.; Strangalies, W. The Fractionized separation of Impurities out of Sand and small Gravel with alljig-fine Grain Jigs. Aufbereit. Tech. 1995, 36, 562–567. [Google Scholar]
- Gawenda, T.; Krawczykowski, D.; Krawczykowska, A.; Saramak, A.; Nad, A. Application of dynamic analysis methods into assessment of geometric properties of chalcedonite aggregates obtained by means of gravitational upgrading operations. Minerals 2020, 10, 180. [Google Scholar] [CrossRef]
- Ito, M.; Saito, A.; Murase, N.; Phengsaart, T.; Kimura, S.; Tabelin, C.B.; Hiroyoshi, N. Development of suitable product recovery systems of continuous hybrid jig for plastic-plastic separation. Miner. Eng. 2019, 141, 105839. [Google Scholar] [CrossRef]
- Phengsaart, T.; Ito, M.; Azuma, A.; Tabelin, C.B.; Hiroyoshi, N. Jig separation of crushed plastics: The effects of particle geometry on separation efficiency. J. Mater. Cycles Waste Manag. 2020, 22, 787–800. [Google Scholar] [CrossRef]
- Stempkowska, A.; Gawenda, T.; Naziemiec, Z.; Ostrowski, K.A.; Saramak, D.; Surowiak, A. Impact of the geometrical parameters of dolomite coarse aggregate on the thermal and mechanic properties of preplaced aggregate concrete. Materials 2020, 13, 4358. [Google Scholar] [CrossRef]
- Fletcher, T.; Chandan, C.; Masad, E.; Sivakumar, K. Aggregate imaging system for characterizing the shape of fine and coarse aggregates. In Proceedings of the 82nd Annual Meeting of the Transportation-Research-Board, Washington, DC, USA, 12–16 January 2003. [Google Scholar]
- Bangaru, R.S.; Das, A. Aggregate shape characterization in frequency domain. Constr. Build. Mater. 2012, 34, 554–560. [Google Scholar] [CrossRef]
- He, H.; Courard, L.; Pirard, E.; Michel, F. Shape analysis of fine aggregates used for concrete. Image Anal. Stereol. 2016, 35, 159–166. [Google Scholar] [CrossRef]
- Kusumawardani, D.M.; Wong, Y.D. The influence of aggregate shape properties on aggregate packing in porous asphalt mixture (PAM). Constr. Build. Mater. 2020, 25, 119379. [Google Scholar] [CrossRef]
- Stempkowska, A.; Gawenda, T. Analiza właściwości cieplnych kruszywa chalcedonitowego na podstawie badań wykorzystujących metody termowizyjne. In Kruszywa Mineralne; Glapa, W., Ed.; Wydział Geoinżynierii, Górnictwa i Geologii Politechniki Wrocławskiej: Wrocław, Poland, 2020; Volume 4, pp. 151–165. (In Polish) [Google Scholar]
- Gawenda, T. Production methods for regular aggregates and innovative developments in Poland. Minerals 2021, 11, 1429. [Google Scholar] [CrossRef]
- Garbarino, E.; Cardu, M.; Mancini, R. New developments of the separation equipments for aggregate beneficiation. In Proceedings of the 20th International Mining Congress and Exhibition of Turkey (IMCET 2007), Ankara, Turkey, 6–8 June 2007. [Google Scholar]
- Zhu, Z.; Chen, H. Aggregate shape effect on the overestimation of interface thickness for spheroidal particles. Powder Technol. 2017, 313, 218–230. [Google Scholar] [CrossRef]
- Chen, H.; Zhu, Z.; Liu, L.; Sun, W.; Miao, C. Aggregate shape effect on the overestimation of ITZ thickness: Quantitative analysis of Platonic particles. Powder Technol. 2016, 289, 1–17. [Google Scholar] [CrossRef]
- Strzałkowski, P.; Duchnowska, M.; Kaźmierczak, U.; Bakalarz, A.; Wolny, M.; Karwowski, P.; Stępień, T. Evaluation of the structure and geometric properties of crushed igneous rock aggregates. Materials 2021, 14, 7202. [Google Scholar] [CrossRef] [PubMed]
- Zhang, S.; Zhao, L.; Wang, X.; Huang, D. Quantifying the effects of elongation and flatness on the shear behavior of realistic 3D rock aggregates based on DEM modeling. Adv. Powder Technol. 2021, 32, 1318–1332. [Google Scholar] [CrossRef]
- Li, W.; Wang, D.; Chen, B.; Hua, K.; Su, W.; Xiong, C.; Zhang, X. Research on three-dimensional morphological characteristics evaluation method and processing quality of coarse aggregate. Buildings 2022, 12, 293. [Google Scholar] [CrossRef]
- Wijeyesekera, D.C.; Siang, A.J.L.M.; Bin Yahaya, A.S. Advanced analysis for relationships between particle morphology (size and shape) and shear (static and dynamic) characteristics of sands. Int. J. Geosci. 2013, 4, 27–36. [Google Scholar] [CrossRef]
- El-Husseiny, A.; Vanorio, T.; Mavko, G. Predicting porosity of binary mixtures made out of irregular nonspherical particles: Application to natural sediments. Adv. Powder Technol. 2019, 30, 1558–1566. [Google Scholar] [CrossRef]
- Diedhiou, A.; Sow, L.; Diop, N.M. Experimental characterization of shape of an aggregate by a numerical value—Application to Senegalese basaltic aggregates for rail transport. Open J. Civ. Eng. 2020, 10, 131–142. [Google Scholar] [CrossRef]
- Kosk, L. Complex management of chalcedonite waste fractions from Inowłódz mine clarifiers in environment prevention and in building material industry. Gospod. Surowcami Miner. 2010, 26, 5–22. (In Polish) [Google Scholar]
- PN-EN 933-3; Badania Geometrycznych Właściwości Kruszyw. Część 3: Oznaczanie Kształtu Ziarn za Pomocą Wskaźnika Płaskości. Polski Komitet Normalizacyjny: Warsaw, Poland, 2012. (In Polish)
- Surowiak, A.; Gawenda, T.; Stempkowska, A.; Niedoba, T.; Nad, A. The influence of selected properties of particles in the jigging process of aggregates on an example of chalcedonite. Minerals 2020, 10, 600. [Google Scholar] [CrossRef]
- PN-EN 1744-1, 31-05-2013; Badania Chemicznych Właściwości Kruszyw—Część 1: Analiza Chemiczna. Polish Standardization Committee: Warsaw, Poland, 2013. (In Polish)
- Brożek, M.; Surowiak, A. Distribution of settling velocity of particles in samples of mineral raw materials. Gospod. Surowcami Miner. 2004, 20, 67–84. [Google Scholar]
- Brożek, M.; Surowiak, A. The dependence of distribution of settling velocity of spherical particles on the distribution of particle sizes and densities. Physicochem. Probl. Miner. Process. 2005, 39, 199–210. [Google Scholar]
- Surowiak, A.; Brożek, M. A physical model of separation process by means of JIGS. Physicochem. Probl. Miner. Process. 2016, 52, 228–243. [Google Scholar]
- Surowiak, A. The analysis of coal fines separation precision exposed to changeable hydrodynamic parameters of jig work. Arch. Min. Sci. 2018, 63, 437–448. [Google Scholar]
- Matusiak, P.; Kowol, D. Pulsatory jig as a proven device for washing of minerals. Min. Sci. 2012, 134, 191–199. (In Polish) [Google Scholar]
- Gschwenter, V.L.S.; Tubino, R.M.C.; Ambrós, W.M.; Miltzarek, G.L.; Sampaio, C.H.; Moncunill, J.O.; Cazacliu, B.G.; Dal Molin, D.C.C. Production of high-quality coarse recycled aggregates through a two-stage jigging process. Minerals 2022, 12, 532. [Google Scholar] [CrossRef]
- Sampaio, C.H.; Ambrós, W.M.; Cazacliu, B.G.; Moncunill, J.O.; Veras, M.M.; Miltzarek, G.L.; Silva, L.F.O.; Kuerten, A.S.; Liendo, M.A. Construction and demolition waste recycling through conventional jig, air jig and sensor-based sorting: A comparison. Minerals 2021, 11, 904. [Google Scholar] [CrossRef]






| Name | Unit | Value |
|---|---|---|
| Maximum throughput | [kg/h] | 2750 |
| Maximum water flow | [dm3/h] | 5500 |
| Frequency of bellow pulsation | [1/min] | 60–90 |
| Bellow jump | [mm] | 50–1400 |
| Nominal power | [kW] | 4.0 |
| Sieve dimensions | [mm] | 150 × 1160 |
| Test Number | Material Type | Particle Type | Particle Size [mm] | Threshold Setting No. 2 [cm] | Amount of Water [dm3/s] | Amplitude/ Stroke [cm] |
|---|---|---|---|---|---|---|
| 1 | chalcedonite | feed | 2.0–4.0 | 18.0 | 1.3 | 5 |
| 1.8 | ||||||
| 2.1 | ||||||
| 2 | chalcedonite | regular | 2.0–4.0 | 18.0 | 1.3 | 5 |
| 1.8 | ||||||
| 2.1 | ||||||
| 3 | chalcedonite | irregular | 2.0–4.0 | 18.0 | 1.3 | 5 |
| 1.8 | ||||||
| 2.1 | ||||||
| 4 | chalcedonite | feed | 8.0–16.0 | 16.5 | 1.8 | 8 |
| 2.1 | ||||||
| 5 | chalcedonite | feed | 8.0–16.0 | 13.5 | 1.8 | 8 |
| 2.1 | ||||||
| 6 | chalcedonite | regular | 8.0–16.0 | 16.5 | 1.8 | 8 |
| 2.1 | ||||||
| 7 | chalcedonite | irregular | 8.0–16.0 | 13.5 | 1.8 | 8 |
| 2.1 | ||||||
| 8 | dolomite | regular | 2.0–16.0 | 13.5 | 1.8 | 8 |
| 2.1 | ||||||
| 9 | dolomite | regular | 2.0–16.0 | 16.5 | 1.8 | 8 |
| 2.1 |
Publisher’s Note: MDPI stays neutral with regard to jurisdictional claims in published maps and institutional affiliations. |
© 2022 by the authors. Licensee MDPI, Basel, Switzerland. This article is an open access article distributed under the terms and conditions of the Creative Commons Attribution (CC BY) license (https://creativecommons.org/licenses/by/4.0/).
Share and Cite
Gawenda, T.; Surowiak, A.; Krawczykowska, A.; Stempkowska, A.; Niedoba, T. Analysis of the Aggregate Production Process with Different Geometric Properties in the Light Fraction Separator. Materials 2022, 15, 4046. https://doi.org/10.3390/ma15124046
Gawenda T, Surowiak A, Krawczykowska A, Stempkowska A, Niedoba T. Analysis of the Aggregate Production Process with Different Geometric Properties in the Light Fraction Separator. Materials. 2022; 15(12):4046. https://doi.org/10.3390/ma15124046
Chicago/Turabian StyleGawenda, Tomasz, Agnieszka Surowiak, Aldona Krawczykowska, Agata Stempkowska, and Tomasz Niedoba. 2022. "Analysis of the Aggregate Production Process with Different Geometric Properties in the Light Fraction Separator" Materials 15, no. 12: 4046. https://doi.org/10.3390/ma15124046
APA StyleGawenda, T., Surowiak, A., Krawczykowska, A., Stempkowska, A., & Niedoba, T. (2022). Analysis of the Aggregate Production Process with Different Geometric Properties in the Light Fraction Separator. Materials, 15(12), 4046. https://doi.org/10.3390/ma15124046
