Strongly Correlated Quantum Spin Liquids versus Heavy Fermion Metals: A Review
Abstract
1. Introduction
2. Universal Scaling Behavior of Quantum Spin Liquid

2.1. Universal Behavior of
2.2. Schematic Phase Diagram of
3. Quasi-One Dimensional Quantum Spin Liquids
4. Experiment versus Theory
5. Phase Diagram of One Dimensional Quantum Spin Liquids
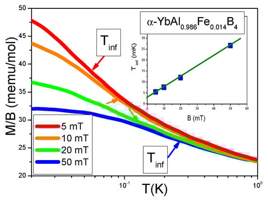
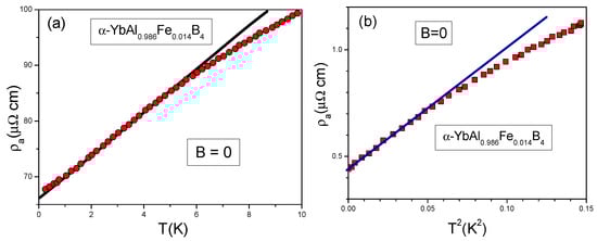
6. Universal Scaling in Heavy Fermion Metals
7. Schematic Temperature—Doping Phase Diagram
8. Summary
Author Contributions
Funding
Institutional Review Board Statement
Informed Consent Statement
Data Availability Statement
Acknowledgments
Conflicts of Interest
References
- Amusya, M.Y.; Shaginyan, V.R. Strongly Correlated Fermi Systems. A New State of Matter; Springer Tracts in Modern Physics; Springer Nature: Cham, Switzerland, 2020; Volume 283. [Google Scholar]
- Shaginyan, V.R.; Msezane, A.Z.; Japaridze, G.S.; Stephanovich, V.A. Violation of the Time-Reversal and Particle-Hole Symmetries in Strongly Correlated Fermi Systems. Symmetry 2020, 12, 1596. [Google Scholar] [CrossRef]
- Khodel, V.A.; Shaginyan, V.R. Superfluidity in systems with fermion condensate. JETP Lett. 1990, 51, 553. [Google Scholar]
- Volovik, G.E. A new class of normal Fermi liquids. JETP Lett. 1991, 53, 222. [Google Scholar]
- Khodel, V.A.; Shaginyan, V.R.; Khodel, V.V. New approach in the microscopic Fermi system theory. Phys. Rep. 1994, 249, 1. [Google Scholar] [CrossRef]
- Shaginyan, V.R.; Amusia, M.Y.; Msezane, A.Z.; Popov, K.G. Scaling behavior of heavy fermion metals. Phys. Rep. 2010, 492, 31. [Google Scholar] [CrossRef]
- Amusia, M.Y.; Popov, K.G.; Shaginyan, V.R.; Stephanovich, V.A. Theory of Heavy–Fermion Compounds; Series in Solid-State Sciences; Springer: Cham, Switzerland; Heidelberg, Germany; New York, NY, USA; Dordrecht, The Netherlands; London, UK, 2014; Volume 182. [Google Scholar]
- Cao, Y.; Fatemi, V.; Fang, S.; Watanabe, K.; Taniguchi, T.; Kaxiras, E.; Jarillo-Herrero, P. Unconventional superconductivity in magic-angle graphene superlattices. Nature 2018, 556, 43. [Google Scholar] [CrossRef]
- Regnault, N.; Xu, Y.; Li, M.-R.; Ma, D.-S.; Jovanovic, M.; Yazdani, A.; Parkin, S.S.P.; Felser, C.; Schoop, L.M.; Ong, N.P.; et al. Catalogue of flat-band stoichiometric materials. Nature 2022, 603, 824. [Google Scholar] [CrossRef]
- Lu, X.; Stepanov, P.; Yang, W.; Xie, M.; Aamir, M.A.; Das, I.; Urgell, C.; Watanabe, K.; Taniguchi, T.; Zhang, G.; et al. Superconductors, orbital magnets and correlated states in magic-angle bilayer graphene. Nature 2019, 574, 653. [Google Scholar] [CrossRef]
- Shaginyan, V.R.; Msezane, A.Z.; Popov, K.G.; Stephanovich, V.A. Universal Behavior of Two-Dimensional 3He at Low Temperatures. Phys. Rev. Lett. 2008, 100, 096406. [Google Scholar] [CrossRef]
- Shaginyan, V.R.; Msezane, A.Z.; Popov, K.G.; Japaridze, G.S.; Khodel, V.A. Common quantum phase transition in quasicrystals and heavy-fermion metals. Phys. Rev. B 2013, 87, 245122. [Google Scholar] [CrossRef]
- Shaginyan, V.R.; Msezane, A.Z.; Amusia, M.Y.; Clark, J.W.; Japaridze, G.S.; Stephanovich, V.A.; Leevik, Y.S. Thermodynamic, Dynamic, and Transport Properties of Quantum Spin Liquid in Herbertsmithite from an Experimental and Theoretical Point of View. Condens. Matter 2019, 4, 75. [Google Scholar] [CrossRef]
- Shaginyan, V.R.; Stephanovich, V.A.; Msezane, A.Z.; Japaridze, G.S.; Clark, J.W.; Amusia, M.Y.; Kirichenko, E.V. Theoretical and experimental developments in quantum spin liquid in geometrically frustrated magnets: A review. J. Mater. Sci. 2020, 55, 2257. [Google Scholar] [CrossRef]
- Anderson, P.W. Resonating valence bonds: A new kind of insulator? Mater. Res. Bull. 1973, 8, 153. [Google Scholar] [CrossRef]
- Helton, J.S.; Matan, K.; Shores, M.P.; Nytko, E.A.; Bartlett, B.M.; Qiu, Y.; Nocera, D.G.; Lee, Y.S. Dynamic scaling in the susceptibility of the spin-1/2 kagomè lattice antiferromagnet herbertsmithite. Phys. Rev. Lett. 2010, 104, 147201. [Google Scholar] [CrossRef] [PubMed]
- Han, T.H.; Helton, J.S.; Chu, S.; Prodi, A.; Singh, D.K.; Mazzoli, C.; Müller, P.; Nocera, D.G.; Lee, Y.S. Synthesis and characterization of single crystals of the spin-1/2 kagomè-lattice antiferromagnets ZnxCu4-x(OH)6Cl2. Phys. Rev. B 2011, 83, 100402. [Google Scholar] [CrossRef]
- Balents, L. Spin liquids in frustrated magnets. Nature 2010, 464, 199. [Google Scholar] [CrossRef]
- Yan, S.; Huse, D.A.; White, S.R. Spin-liquid ground state of the S = 1/2 kagome Heisenberg antiferromagnet. Science 2011, 332, 1173–1176. [Google Scholar] [CrossRef]
- Mendels, P.; Bert, F. Quantum kagomè antiferromagnet: ZnCu3(OH)6Cl2. J. Phys. Conf. Ser. 2011, 320, 012004. [Google Scholar] [CrossRef]
- Han, T.H.; Helton, J.S.; Chu, S.; Nocera, D.G.; Rodriguez-Rivera, J.A.; Broholm, C.; Lee, Y.S. Fractionalized excitations in the spin-liquid state of a kagomè-lattice antiferromagnet. Nature 2012, 492, 406. [Google Scholar] [CrossRef]
- Shaginyan, V.R.; Stephanovich, V.A.; Popov, K.G.; Kirichenko, E.V.; Artamonov, S.A. Magnetic quantum criticality in quasi-one-dimensional Heisenberg antiferromagnet Cu(C4H4N2)(NO 3)2. Ann. Phys. 2016, 528, 483. [Google Scholar] [CrossRef]
- Yang, Y.; Li, X.; Tan, C.; Zhu, Z.H.; Zhang, J.; Ding, Z.F.; Wu, Q.; Chen, C.S.; Shiroka, T.; MacLaughlin, D.E.; et al. Discovery of an ultra-quantum spin liquid. arXiv 2021, arXiv:2102.09271. [Google Scholar]
- Wu, L.S.; Nikitin, S.E.; Wang, Z.; Zhu, W.; Batista, C.D.; Tsvelik, A.M.; Samarakoon, A.M.; Tennant, D.A.; Brando, M.; Vasylechkoll, L.; et al. Tomonaga-Luttinger liquid behavior and spinon confinement in YbAlO3. Nat. Commun. 2019, 10, 698. [Google Scholar] [CrossRef] [PubMed]
- Kono, Y.; Sakakibara, T.; Aoyama, C.P.; Hotta, C.; Turnbull, M.M.; Landee, C.P.; Takano, Y. Field-induced quantum criticality and universal temperature dependence of the magnetization of a spin-1/2 Heisenberg Chain. Phys. Rev. Lett. 2015, 114, 037202. [Google Scholar] [CrossRef] [PubMed]
- Khodel, V.A.; Clark, J.W.; Zverev, M.V. Topological disorder triggered by interaction-induced flattening of electron spectra in solids. Phys. Rev. B 2020, 102, 201108. [Google Scholar] [CrossRef]
- Nozières, P. Properties of Fermi liquids with a finite range interaction. J. Phys. 1992, 2, 443. [Google Scholar] [CrossRef]
- Shaginyan, V.R.; Msezane, A.Z.; Popov, K.G. Thermodynamic properties of the kagomè lattice in herbertsmithite. Phys. Rev. B 2011, 84, 060401. [Google Scholar] [CrossRef]
- Shaginyan, V.R.; Popov, K.G.; Stephanovich, V.A.; Fomichev, V.I.; Ki-richenko, E.V. High-magnetic-fields thermodynamics of the heavy-fermion metal YbRh2Si2. Europhys. Lett. 2011, 93, 17008. [Google Scholar] [CrossRef][Green Version]
- Shaginyan, V.R.; Msezane, A.Z.; Popov, K.G.; Japaridze, G.S.; Stephanovich, V.A. Identification of strongly correlated spin liquid in herbertsmithite. Europhys. Lett. 2012, 97, 56001. [Google Scholar] [CrossRef][Green Version]
- Matsumoto, Y.; Nakatsuji, S.; Kuga, K.; Karaki, Y.; Horie, N.; Shimura, Y.; Sakakibara, T.; Nevidomskyy, A.H.; Coleman, P. Quantum criticality without tuning in the mixed valence compound β-YbAlB4. Science 2011, 331, 316. [Google Scholar] [CrossRef]
- Tomita, T.; Kuga, K.; Uwatoko, Y.; Coleman, P.; Nakatsuji, S. Strange metal without magnetic criticality. Science 2015, 349, 506. [Google Scholar] [CrossRef]
- Sakai, A.; Kitagawa, K.; Matsubayashi, K.; Iwatani, M.; Gegenwart, P. T/B scaling without quasiparticle mass divergence. Phys. Rev. B 2016, 94, 041106. [Google Scholar] [CrossRef]
- Kuga, K.; Matsumoto, Y.; Okawa, M.; Suzuki, S.; Tomita, T.; Sone, K.; Shimura, Y.; Sakakibara, T.; Nishio-Hamane, D.; Karaki, Y.; et al. Quantum valence criticality in a correlated metal. Sci. Adv. 2018, 4, eaao3547. [Google Scholar] [CrossRef] [PubMed]
- Nakatsuji, S.; Kuga, K.; Machida, Y.; Tayama, T.; Sakakibara, T.; Karaki, Y.; Ishimoto, H.; Yonezawa, S.; Maeno, Y.; Pearson, E.; et al. Superconductivity and quantum criticality in the heavy-fermion system β-YbAlB4. Nat. Phys. 2008, 4, 603. [Google Scholar] [CrossRef]
- Matsumoto, Y.; Kuga, K.; Tomita, T.; Karaki, Y.; Nakatsuji, S. Anisotropic heavy-Fermi-liquid formation in valence-fluctuating α-YbAlB4. Phys. Rev. B 2011, 84, 125126. [Google Scholar] [CrossRef]
- Matsumoto, Y.; Nakatsuji, S.; Kuga, K.; Karaki, Y.; Shimura, Y.; Sakakibara, T.; Nevidomskyy, A.H.; Coleman, P. T/B scaling of magnetization in the mixed valent compound β-YbAlB4. J. Phys. Conf. Ser. 2012, 391, 012041. [Google Scholar] [CrossRef]
- Matsumoto, Y.; Kuga, K.; Karaki, Y.; Shimura, Y.; Sakakibara, T.; Tokunaga, M.; Kindo, K.; Nakatsuji, S. Field Evolution of Quantum Critical and Heavy Fermi-Liquid Components in the Magnetization of the Mixed Valence Compound β-YbAlB4. J. Phys. Soc. Jpn. 2015, 84, 024710. [Google Scholar] [CrossRef]
- Nevidomskyy, A.H.; Coleman, P. Layered Kondo Lattice Model for Quantum Critical β-YbAlB4. Phys. Rev. Lett. 2009, 102, 077202. [Google Scholar] [CrossRef]
- Ramires, A.; Coleman, P.; Nevidomskyy, A.H.; Tsvelik, A.M. Evolution of c-f Hybridization and Two-Component Hall Effect in β-YbAlB4. Phys. Rev. Lett. 2012, 109, 176404. [Google Scholar] [CrossRef]
- Watanabe, S.; Miyake, K. Robustness of Quantum Criticality of Valence Fluctuations. J. Phys. Soc. Jpn. 2013, 82, 083704. [Google Scholar] [CrossRef]
- Watanabe, S.; Miyake, K. T/B Scaling in β-YbAlB4. J. Phys. Soc. Jpn. 2014, 83, 103708. [Google Scholar] [CrossRef]
- Shaginyan, V.R.; Msezane, A.Z.; Popov, K.G.; Clark, J.W.; Khodel, V.A.; Zverev, M.V. Topological basis for understanding the behavior of the heavy-fermion metal β-YbAlB4 under application of magnetic field and pressure. Phys. Rev. B 2016, 93, 205126. [Google Scholar] [CrossRef]
- Shaginyan, V.R.; Msezane, A.Z.; Clark, J.W.; Japaridze, G.S.; Leevik, Y.S. Universal T/B scaling behavior of heavy fermion compounds. JETP Lett. 2020, 112, 657. [Google Scholar] [CrossRef]
- Shaginyan, V.R.; Msezane, A.Z.; Artamonov, S.A.; Japaridze, G.S.; Leevik, Y.S. Universal Ultra spin liquid in Lu3Cu2Sb3O14. Europhys. Lett. 2021, 136, 17003. [Google Scholar] [CrossRef]
- Green, D.; Santos, L.; Chamon, C. Isolated flat bands and spin-1 conical bands in two-dimensional lattices. Phys. Rev. B 2010, 82, 075104. [Google Scholar] [CrossRef]
- Heikkilá, T.T.; Kopnin, N.B.; Volovik, G.E. Flat bands in topological media. JETP Lett. 2011, 94, 252. [Google Scholar] [CrossRef]
- Landau, L.D. The theory of a Fermi liquid. Sov. Phys. JETP 1956, 3, 920. [Google Scholar]
- Shaginyan, V.R. Density functional theory of fermion condensation. Phys. Lett. A 1998, 249, 237. [Google Scholar] [CrossRef]
- Clark, J.W.; Khodel, V.A.; Zverev, M.V. Anomalous low-temperature behavior of strongly correlated Fermi systems. Phys. Rev. B 2005, 71, 012401. [Google Scholar] [CrossRef]
- Khodel, V.A.; Clark, J.W.; Zverev, M.V. Topology of the Fermi surface beyond the quantum critical point. Phys. Rev. B 2008, 78, 075120. [Google Scholar] [CrossRef]
- Gegenwart, P.; Tokiwa, Y.; Westerkamp, T.; Weickert, F.; Custers, J.; Ferstl, J.; Krellner, C.; Geibel, C.; Kerschl, P.; Müller, K.H.; et al. High-field phase diagram of the heavy-fermion metal YbRh2Si2. New J. Phys. 2006, 8, 171. [Google Scholar] [CrossRef][Green Version]
- Oeschler, N.; Hartmann, S.; Pikul, A.; Krellner, C.; Geibel, C.; Steglich, F. Low-temperature specific heat of YbRh2Si2. Phys. B 2008, 403, 1254. [Google Scholar] [CrossRef]
- Shaginyan, V.R.; Msezane, A.Z.; Popov, K.G.; Japaridze, G.S.; Khodel, V.A. General properties of phase diagrams of heavy-fermion metals. Europhys. Lett. 2014, 106, 37001. [Google Scholar] [CrossRef][Green Version]
- Yamashita, M.; Sato, Y.; Tominaga, T.; Kasahara, Y.; Kasahara, S.; Cui, H.; Kato, R.; Shibauchi, T.; Matsuda, Y. Presence and absence of itinerant gapless excitations in the quantum spin liquid candidate EtMe3Sb[Pd(dmit)2]2. Phys. Rev. B 2020, 101, 140407. [Google Scholar] [CrossRef]
- Murayama, H.; Sato, Y.; Taniguchi, T.; Kurihara, R.; Xing, X.Z.; Huang, W.; Kasahara, S.; Kasahara, Y.; Kimchi, I.; Yoshida, M.; et al. Effect of quenched disorder on the quantum spin liquid state of the triangular-lattice antiferromagnet 1T-TaS2. Phys. Rev. Res. 2020, 2, 013099. [Google Scholar] [CrossRef]
- Shaginyan, V.R.; Msezane, A.Z.; Popov, K.G.; Japaridze, G.S.; Khodel, V.A. Heat transport in magnetic fields by quantum spin liquid in the organic insulators EtMe3Sb[Pd( dmit )2]2 and κ-(BEDT-TTF)2Cu2(CN)3. Europhys. Lett. 2013, 103, 67006. [Google Scholar] [CrossRef][Green Version]
- Kitaev, A. Anyons in an exactly solved model and beyond. Ann. Phys. 2006, 321, 2. [Google Scholar] [CrossRef]
- Savary, L.; Balents, L. Quantum spin liquids: A review. Rep. Prog. Phys. 2017, 80, 016502. [Google Scholar] [CrossRef]
- Kasahara, Y.; Ohnishi, T.; Mizukami, Y.; Tanaka, O.; Ma, S.; Sugii, K.; Kurita, N.; Tanaka, H.; Nasu, J.; Motome, Y.; et al. Majorana quantization and half-integer thermal quantum Hall effect in a Kitaev spin liquid. Nature 2018, 559, 227. [Google Scholar] [CrossRef]
- Czajka, P.; Gao, T.; Hirschberger, M.; Lampen-Kelley, P.; Banerjee, A.; Yan, J.; Mandrus, D.G.; Nagler, S.E.; Ong, N.P. Oscillations of the thermal conductivity in the spin-liquid state of α-RuCl3. Nat. Phys. 2021, 17, 915. [Google Scholar] [CrossRef]
- Gegenwart, P.; Custers, J.; Geibel, C.; Neumaier, K.; Tayama, T.; Tenya, K.; Trovarelli, O.; Steglich, F. Magnetic-Field Induced Quantum Critical Point in YbRh2Si2. Phys. Rev. Lett. 2002, 89, 056402. [Google Scholar] [CrossRef]
- Schroëder, A.; Aeppli, G.; Coldea, R.; Adams, M.; Stockert, O.; Loèhneysen, H.V.; Bucher, E.; Ramazashvili, R.; Coleman, P. Onset of antiferromagnetism in heavy-fermion metals. Nature 2000, 407, 351. [Google Scholar] [CrossRef] [PubMed]
- Takahashi, D.; Abe, S.; Mizuno, H.; Tayurskii, D.; Matsumoto, K.; Suzuki, H.; Onuki, Y. ac susceptibility and static magnetization measurements of CeRu2Si2 at small magnetic fields and ultralow temperatures. Phys. Rev. B 2003, 67, 180407. [Google Scholar] [CrossRef]
- Shechtman, D.; Blech, I.; Gratias, D.; Cahn, J.W. Metallic phase with long-range orientational order and no translational symmetry. Phys. Rev. Lett. 1984, 53, 1951. [Google Scholar] [CrossRef]
- Mattis, D.C.; Lieb, E.H. Exact solution of a many-fermion system and its associated boson field. J. Math. Phys. 1965, 6, 304. [Google Scholar] [CrossRef]
- Haldane, F.D.M. General relation of correlation exponents and spectral properties of one-dimensional fermi systems: Application to the anisotropic S =1/2 Heisenberg chain. Phys. Rev. Lett. 1980, 45, 1358. [Google Scholar] [CrossRef]
- Haldane, F.D.M. Effective harmonic-fluid approach to low-energy properties of one-dimensional quantum fluids. Phys. Rev. Lett. 1981, 47, 1840. [Google Scholar] [CrossRef]
- Affleck, I. Bose condensation in quasi-one-dimensional antiferromagnets in strong fields. Phys. Rev. B 1991, 43, 3215. [Google Scholar] [CrossRef]
- Müller, G.; Thomas, H.; Beck, H.; Bonner, J.C. Quantum spin dynamics of the antiferromagnetic linear chain in zero and nonzero magnetic field. Phys. Rev. B 1981, 24, 1429. [Google Scholar] [CrossRef]
- Lifshitz, I.M. Anomalies of Electron Characteristics of a Metal in the High Pressure Region. Sov. Phys. JETP 1960, 11, 1130. [Google Scholar]
- Volovik, G.E. From Standard Model of particle physics to room-temperature superconductivity. Phys. Scr. T 2015, 164, 014014. [Google Scholar] [CrossRef]
- Khodel, V.A.; Clark, J.W.; Popov, K.G.; Shaginyan, V.R. Occurrence of Flat Bands in Strongly Correlated Fermi Systems and High-Tc Superconductivity of Electron-Doped Compounds. JETP Lett. 2015, 101, 413. [Google Scholar] [CrossRef]
- Rozhkov, A.V. Fermionic quasiparticle representation of Tomonaga-Luttinger Hamiltonian. Eur. Phys. J. B 2005, 47, 193. [Google Scholar] [CrossRef]
- Krellner, C.; Lausberg, S.; Steppke, A.; Brando, M.; Pedrero, L.; Pfau, H.; Tencé, S.; Rosner, H.; Steglich, F.; Geibel, C. Ferromagnetic quantum criticality in the quasi-one-dimensional heavy fermion metal YbNi4P2. New J. Phys. 2011, 13, 103014. [Google Scholar] [CrossRef]
- Rozhkov, A.V. One-dimensional fermions with neither Luttinger-liquid nor Fermi-liquid behavior. Phys. Rev. Lett. 2014, 112, 106403. [Google Scholar] [CrossRef]
- Lebed, A.G. Non-Fermi-liquid crossovers in a quasione- dimensional conductor in a tilted magnetic field. Phys. Rev. Lett. 2015, 115, 157001. [Google Scholar] [CrossRef]
- Lancaster, T.; Blundell, S.J.; Brooks, M.L.; Baker, P.J.; Pratt, F.L.; Manson, J.L.; Landee, C.P.; Baines, C. Magnetic order in the quasi-one-dimensional spin-1/2 molecular chain compound copper pyrazine dinitrate. Phys. Rev. B 2006, 73, 020410. [Google Scholar] [CrossRef]
- Hammar, P.R.; Stone, M.B.; Reich, D.H.; Broholm, C.; Gibson, P.J.; Turnbull, M.M.; Landee, C.P.; Oshikawa, M. Characterization of a quasi-one-dimensional spin-1/2 magnet which is gapless and paramagnetic for gμBH ≲ J and kBT << J. Phys. Rev. B 1999, 59, 1008. [Google Scholar]
- Holstein, T.; Primakoff, H. Field Dependence of the Intrinsic Domain Magnetization of a Ferromagnet. Phys. Rev. 1940, 58, 1098. [Google Scholar] [CrossRef]
- Stephanovich, V.A.; Zhitomirsky, M.E. Role of dimensionality in spontaneous magnon decay: Easy-plane ferromagnet. Phys. Rev. B 2014, 89, 224415. [Google Scholar] [CrossRef]
- Gutfreund, H.; Schick, M. Momentum Distribution in the Tomonaga Model. Phys. Rev. 1968, 168, 418. [Google Scholar] [CrossRef]
- Maeda, Y.; Hotta, C.; Oshikawa, M. Universal temperature dependence of the magnetization of gapped spin chains. Phys. Rev. Lett. 2007, 99, 057205. [Google Scholar] [CrossRef] [PubMed]
- Sachdev, S.; Senthil, T.; Shankar, R. Finite-temperature properties of quantum antiferromagnets in a uniform magnetic field in one and two dimensions. Phys. Rev. B 1994, 50, 258. [Google Scholar] [CrossRef]
- Nikuni, T.; Oshikawa, M.; Oosawa, A.; Tanaka, H. Bose-Einstein condensation of dilute magnons in TlCuCl3. Phys. Rev. Lett. 2000, 84, 5868. [Google Scholar] [CrossRef] [PubMed]
- Klingner, C.; Krellner, C.; Brando, M.; Geibel, C.; Steglich, F. Magnetic behaviour of the intermetallic compound YbCo2Si2. New J. Phys. 2011, 13, 83024. [Google Scholar] [CrossRef]
- Khodel, V.A.; Schuck, P.Z. Universal behavior of the collision rate in strongly correlated Fermi systems. Z. Phys. B 1997, 104, 505. [Google Scholar] [CrossRef]


















Publisher’s Note: MDPI stays neutral with regard to jurisdictional claims in published maps and institutional affiliations. |
© 2022 by the authors. Licensee MDPI, Basel, Switzerland. This article is an open access article distributed under the terms and conditions of the Creative Commons Attribution (CC BY) license (https://creativecommons.org/licenses/by/4.0/).
Share and Cite
Shaginyan, V.R.; Msezane, A.Z.; Japaridze, G.S.; Artamonov, S.A.; Leevik, Y.S. Strongly Correlated Quantum Spin Liquids versus Heavy Fermion Metals: A Review. Materials 2022, 15, 3901. https://doi.org/10.3390/ma15113901
Shaginyan VR, Msezane AZ, Japaridze GS, Artamonov SA, Leevik YS. Strongly Correlated Quantum Spin Liquids versus Heavy Fermion Metals: A Review. Materials. 2022; 15(11):3901. https://doi.org/10.3390/ma15113901
Chicago/Turabian StyleShaginyan, Vasily R., Alfred Z. Msezane, George S. Japaridze, Stanislav A. Artamonov, and Yulya S. Leevik. 2022. "Strongly Correlated Quantum Spin Liquids versus Heavy Fermion Metals: A Review" Materials 15, no. 11: 3901. https://doi.org/10.3390/ma15113901
APA StyleShaginyan, V. R., Msezane, A. Z., Japaridze, G. S., Artamonov, S. A., & Leevik, Y. S. (2022). Strongly Correlated Quantum Spin Liquids versus Heavy Fermion Metals: A Review. Materials, 15(11), 3901. https://doi.org/10.3390/ma15113901

