Pore Structure Characteristics and Strength Variation of Red Sandstone under Freeze–Thaw Cycles
Abstract
:1. Introduction
2. Test Overview
2.1. Samples of Red Sandstone
2.2. Test Instruments
2.3. Test Design
3. Analysis of Experimental Results
3.1. Mercury Injection Test Results
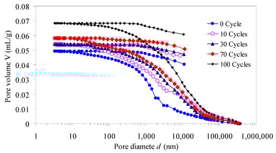
3.1.1. Pore Volume Versus Pore Diameter Curves
3.1.2. Pore Volume Distribution of Red Sandstone
3.1.3. Pore Size Distribution
3.1.4. Porosity of Red Sandstone
3.2. Uniaxial Compression Test of Red Sandstone
3.2.1. Uniaxial Compressive Strength
3.2.2. Failure Modes
4. Strength Prediction Model of Red Sandstone
5. Conclusions
- (1)
- With the increase of freeze–thaw cycles, the total pore volume of red sandstone increases continuously, the continuity of pore size distribution curves increases, macropores show centralized distribution, and the freeze–thaw damage accumulates gradually. Porosity of samples after 10, 30, 70 and 100 freeze–thaw cycles is 1.14 times, 1.17 times, 1.28 times and 1.44 times of that of 0 cycle, and porosity increases obviously.
- (2)
- With the increase of freeze–thaw cycles, cohesion among mineral particles of red sandstone decreases, weak surfaces of cementation mineral particles deteriorate, the porosity increases obviously, the uniaxial compressive strength of samples after 10, 30, 70 and 100 freeze–thaw cycles is 0.68 times, 0.53 times, 0.26 times and 0.17 times of that of 0 cycle, respectively, the uniaxial compressive strength of samples decreases gradually, the failure modes change from the failure surface penetrating along the axial direction to the horizontal and longitudinal failure at the same time, and the transverse failure severity of red sandstone increases.
- (3)
- The change of porosity has a great influence on the uniaxial compressive strength of red sandstone. Taken the change of porosity as a parameter, the exponential relationship between the strength and the change of porosity in red sandstone is established. Through the regression analysis of test data, the strength prediction model of red sandstone after freeze–thaw cycles is modified.
Author Contributions
Funding
Institutional Review Board Statement
Informed Consent Statement
Data Availability Statement
Acknowledgments
Conflicts of Interest
References
- Yamabe, T.; Neaupane, K.M. Determination of some thermo-mechanical properties of Sirahama sandstone under subzero temperature condition. Int. J. Rock Mech. Min. Sci. 2001, 38, 1029–1034. [Google Scholar] [CrossRef]
- Liu, Q.S.; Huang, S.B.; Kang, Y.S.; Cui, X.Z. Advance and review on freeze-thaw damage of fractured rock. Chin. J. Rock Mech. Eng. 2015, 34, 452–471. [Google Scholar] [CrossRef]
- Zhao, J.J.; Xie, M.L.; Yu, J.L.; Zhao, W.H. Experimental study on mechanical properties and damage evolution of fractured rock under freeze-thaw action. J. Eng. Geol. 2019, 27, 1199–1207. [Google Scholar] [CrossRef]
- Peng, J.J.; Zhang, S.; Liu, H.Y. Numerical Predictions Method to Evaluate the Rock Mechanical Property after freeze-thaw Cycles. Min. Res. Dev. 2018, 38, 107–111. [Google Scholar] [CrossRef]
- Ishikawa, T.; Lin, T.S.; Kawabata, S.; Tokoro, T. Effect Evaluation of Freeze-Thaw on Resilient Modulus of Unsaturated Granular Base Course Material in Pavement. Transp. Geotech. 2019, 21, 833–836. [Google Scholar] [CrossRef]
- Zhang, H.M.; Xia, H.J.; Yang, G.S.; Zhang, M.J.; Peng, C.; Ye, W.J.; Shen, Y.J. Experimental research of influences of freeze-thaw cycles and confining pressure on physical-mechanical characteristics of rocks. J. China Coal Soc. 2018, 43, 441–448. [Google Scholar] [CrossRef]
- Wen, L.; Li, X.B.; Tang, H.Y.; Weng, L. Study of physico-mechanical characteristics of rock under different frozen-thawed circle temperature range and its engineering application. Eng. Mech. 2017, 34, 247–257. [Google Scholar] [CrossRef]
- Miao, F.L.; Yao, Z.H.; Zhang, D. Physical and Mechanical Properties and Strength Model of Rocks after Freeze-Thaw Cycles. Water Resour. Power 2021, 39, 151–155. [Google Scholar]
- Khanlari, G.; Abdilor, Y. Influence of wet-dry, freeze-thaw, and heat-cool cycles on the physical and mechanical properties of Upper Red sandstones in central Iran. Bull. Eng. Geol. Environ. 2015, 74, 1287–1300. [Google Scholar] [CrossRef]
- Hou, P.; Su, S.J.; Liang, X. Effect of liquid nitrogen freeze–thaw cycle on fracture toughness and energy release rate of saturated sandstone. Eng. Fract. Mech. 2021, 258, 108066. [Google Scholar] [CrossRef]
- Zhou, S.; Fang, W.; Jiang, N.; Hu, M.; Luo, X. Fractal geometry study on uniaxial compression fracture characteristics of sandstone subjected to freeze-thaw cycles. Bull. Geol. Sci. Technol. 2020, 39, 61–68. [Google Scholar] [CrossRef]
- Wu, Y. Study on Strength, Damage and Creep Characteristics of Rock-like Materials under Freeze-Thaw Cycle. Ph.D. Thesis, Qingdao University of Science and Technology, Qingdao, China, 2018. Full-Text Database. Available online: https://kns.cnki.net/KCMS/detail/detail.aspx?dbname=CDFDLAST2018&filename=1018831444.nh (accessed on 1 January 2020).
- Jia, H.L.; Xian, W.; Tan, L.; Zhang, W.L.; Zeng, W.; Cao, S.; Cheng, C.J. Theoretical analysisand experimental verifications of frost damage mechanism of sand-stone. Chin. J. Rock Mech. Eng. 2016, 35, 879–895. [Google Scholar] [CrossRef]
- Han, T.L.; Chen, Y.S.; Shi, J.P.; Li, Z.H. Experimental study on mechanical properties and damage degradation mechanism of calcareous sandstone subjected to freeze-thaw cycles. Chin. J. Geotech. Eng. 2016, 38, 1802–1812. [Google Scholar] [CrossRef]
- Li, J.L. Experiment Study on Deterioration Mechanism of Rock under the Conditions of Freeze-Thaw Cycles in Cold Regions Based on NMR Technology. Ph.D. Thesis, Central South University, Changsha, China, 2012. Full-Text Database. Available online: https://kns.cnki.net/KCMS/detail/detail.aspx?dbname=CDFD1214&filename=1012475691.nh (accessed on 1 January 2020).
- Zhang, H.M.; Xie, X.M.; Peng, C.; Yang, G.S.; Ye, W.J.; Sheng, Y.J. Constitutive model for damage of freeze-thaw rock under three-dimensional stress. Chin. J. Geotech. Eng. 2017, 39, 1444–1452. [Google Scholar] [CrossRef]
- Huang, S.B.; Liu, Q.S.; Liu, Y.Z.; Cheng, A.P. Frost heaving pressure and characteristics of frost cracking in elliptical cavity(crack) of rock mass under coupled thermal-mechanical condition at low temperature. Chin. J. Geotech. Eng. 2018, 40, 459–467. [Google Scholar] [CrossRef]
- Huang, S.B.; Liu, Q.S.; Cheng, A.P.; Liu, Y.Z. Preliminary experimental study of frost heaving pressure in crack and frost heaving propagation in rock mass under low temperature. Rock Soil Mech. 2018, 39, 78–84. [Google Scholar] [CrossRef]
- Niu, C.Y.; Zhu, Z.M.; Wang, F.; Ying, P.; Deng, S. Effect of water content on dynamic fracture characteristic of rock under impacts. KSCE J. Civ. Eng. 2020, 25, 37–50. [Google Scholar] [CrossRef]
- Niu, C.Y.; Zhu, Z.M.; Zhou, L. Study on the microscopic damage evolution and dynamic fracture properties of sandstone under freeze-thaw cycles. Cold Reg. Sci. Technol. 2021, 191, 103328. [Google Scholar] [CrossRef]
- Yang, N.G.; Zhou, K.P.; Lei, T.; Li, J.L.; Bin, F. Sandstones dynamic mechanical properties and failure characteristics under freeze-thaw cycles. Chin. J. Nonferr. Met. 2016, 26, 2181–2187. [Google Scholar] [CrossRef]
- Li, J.L.; Zhu, L.Y.; Zhou, K.P.; Liu, H.W.; Cao, S.P. Damage characteristics of sandstone pore structure under freeze-thaw cycles. Rock Soil Mech. 2019, 40, 3524–3533. [Google Scholar] [CrossRef]
- Gao, H.M.; Meng, L.Y.; Yang, Y. Microstructure and pore size distribution characteristics of granites under different temperatures. Heilongjiang Univ. Sci. Technol. 2018, 28, 185–189. [Google Scholar]
- Huang, S.B.; Yu, S.L.; Ye, Y.H.; Ye, Z.Y.; Cheng, A.P. Pore structure change and physico-mechanical properties deterioration of sandstone suffering freeze-thaw actions. Constr. Build. Mater. 2022, 330, 127200. [Google Scholar] [CrossRef]
- Zhai, C.; Sun, Y. Experimental study on evolution of pore structure in coal after cyclic cryogenic fracturing. Coal Sci. Technol. 2017, 45, 24–29. [Google Scholar] [CrossRef]
- Yu, E.Y.i.; Jin, A.B.; Sun, H.; Ii, T.L.; Fan, Z.Q. Evolution Characteristics and Attenuation Model of Limestone Compressive Strength and Porosity Under Ultrarlow Temperature Freeze-thaw Cycles. Min. Res. Dev. 2021, 41, 55–60. [Google Scholar] [CrossRef]
- Xu, S.H.; Li, N.; Wang, X.D.; Xu, Z.G.; Yuan, K.K.; Tian, Y.Z.; Wang, L.L. Damage test and degradation model of saturated sandstone due to cyclic freezing and thawing of rock slopes of open-pit coal mine. Chin. J. Rock Mech. Eng. 2016, 35, 2561–2571. [Google Scholar] [CrossRef]
- Gao, F.; Xiong, X.; Zhou, K.P.; Li, J.L.; Shi, W.C. Strength deterioration model of saturated sandstone under freeze-thaw cycles. Rock Soil Mech. 2019, 4, 926–933. [Google Scholar] [CrossRef]
- Pei, X.J.; Meng, M.H.; Yuan, J.K.; Wand, D.P. Freeze-thaw characteristics of fractured rock mass under dry and saturated conditions. Rock Soil Mech. 2017, 38, 1999–2008. [Google Scholar] [CrossRef]
- Jia, H.L.; Ding, S.; Zi, F.; Dong, Y.H.; Shen, Y.J. Evolution in sandstone pore structures with freeze-thaw cycling and interpretation of damage mechanisms in saturated porous rocks. Catena 2020, 195, 104915. [Google Scholar] [CrossRef]
- Rong, H.R.; Gu, J.Y.; Fang, H.J.; Ma, B.; Zhang, J.Y.; Dong, H. Experimental study on strength and microscopic pore variation of single-hole red sandstone under freeze-thaw cycles. Qinghai Transp. Technol. 2018, 5, 86–93. [Google Scholar]
- Huang, Z.M.; Cao, G.Y.; Cheng, H. Correlation Analysis of Porosity and Uniaxial Compressive Strength of Jurassic Frozen Sandstone. Saf. Coal Mines 2020, 51, 227–231. [Google Scholar] [CrossRef]














| Freeze–Thaw Cycles | Volume of Different-Sized Pores (cm3/g) | Total Pore Volume (cm3/g) | |||
|---|---|---|---|---|---|
| Micropores | Transitional-Pores | Mesopores | Macropores | ||
| 0 cycle (No Freeze–thaw) | 0.00071 | 0.00469 | 0.01406 | 0.02963 | 0.04909 |
| 10 cycles | 0.00082 | 0.00580 | 0.01157 | 0.03545 | 0.05364 |
| 30 cycles | 0.00015 | 0.00401 | 0.00896 | 0.04059 | 0.05371 |
| 70 cycles | 0.00027 | 0.00643 | 0.00905 | 0.04231 | 0.05806 |
| 100 cycles | 0.00043 | 0.00287 | 0.01074 | 0.05426 | 0.06830 |
| Freeze–Thaw Cycles | Test Value of Porosity (%) | Average Value of Porosity (%) | ||
|---|---|---|---|---|
| 0 cycle (No Freeze–thaw) | 11.1879 | 11.7110 | 11.9214 | 11.6068 |
| 10 cycles | 13.6653 | 12.8019 | 13.1707 | 13.2126 |
| 30 cycles | 13.0427 | 14.4541 | 13.3515 | 13.6161 |
| 70 cycles | 14.3066 | 15.2926 | 15.0426 | 14.8806 |
| 100 cycles | 17.0975 | 16.1235 | 17.0558 | 16.7589 |
| Freeze–Thaw Cycles | Test Value of Uniaxial Compressive Strength (MPa) | Average Value of Uniaxial Compressive Strength (MPa) | ||
|---|---|---|---|---|
| 0 cycle (No Freeze–thaw) | 41.082 | 41.917 | 38.271 | 40.423 |
| 10 cycles | 29.472 | 24.332 | 28.657 | 27.487 |
| 30 cycles | 23.350 | 21.515 | 19.795 | 21.553 |
| 70 cycles | 13.104 | 8.246 | 10.247 | 10.532 |
| 100 cycles | 8.283 | 5.123 | 7.150 | 6.852 |
Publisher’s Note: MDPI stays neutral with regard to jurisdictional claims in published maps and institutional affiliations. |
© 2022 by the authors. Licensee MDPI, Basel, Switzerland. This article is an open access article distributed under the terms and conditions of the Creative Commons Attribution (CC BY) license (https://creativecommons.org/licenses/by/4.0/).
Share and Cite
Lan, Y.; Gao, H.; Zhao, Y. Pore Structure Characteristics and Strength Variation of Red Sandstone under Freeze–Thaw Cycles. Materials 2022, 15, 3856. https://doi.org/10.3390/ma15113856
Lan Y, Gao H, Zhao Y. Pore Structure Characteristics and Strength Variation of Red Sandstone under Freeze–Thaw Cycles. Materials. 2022; 15(11):3856. https://doi.org/10.3390/ma15113856
Chicago/Turabian StyleLan, Yongwei, Hongmei Gao, and Yanlin Zhao. 2022. "Pore Structure Characteristics and Strength Variation of Red Sandstone under Freeze–Thaw Cycles" Materials 15, no. 11: 3856. https://doi.org/10.3390/ma15113856
APA StyleLan, Y., Gao, H., & Zhao, Y. (2022). Pore Structure Characteristics and Strength Variation of Red Sandstone under Freeze–Thaw Cycles. Materials, 15(11), 3856. https://doi.org/10.3390/ma15113856
