Next Article in Journal
Half Metallic Ferromagnetism and Transport Properties of Zinc Chalcogenides ZnX2Se4 (X = Ti, V, Cr) for Spintronic Applications
Next Article in Special Issue
Flexible Thermoelectric Generator Based on Polycrystalline SiGe Thin Films
Previous Article in Journal
The Effect of the Crucible on the Temperature Distribution for the Growth of a Large Size AlN Single Crystal
Previous Article in Special Issue
Overcoming Asymmetric Contact Resistances in Al-Contacted Mg2(Si,Sn) Thermoelectric Legs
 
 
Font Type:
Arial Georgia Verdana
Font Size:
Aa Aa Aa
Line Spacing:
Column Width:
Background:
Article

The Effect of Reactive Electric Field-Assisted Sintering of MoS2/Bi2Te3 Heterostructure on the Phase Integrity of Bi2Te3 Matrix and the Thermoelectric Properties

1
International Center for Materials Nanoarchitectonics (WPI-MANA), National Institute for Materials Science (NIMS), Namiki 1-1, Tsukuba 305-0044, Japan
2
Graduate School of Pure and Applied Sciences, Tsukuba University, Tennoudai 1-1-1, Tsukuba 305-8671, Japan
3
Materials Research Group, Department of Chemistry, St. Joseph’s College, 36 Lalbagh Road, Bangalore 560027, India
4
Department of Chemistry, Mount Carmel College, 58 Vasanthnagar, Bangalore 560052, India
*
Authors to whom correspondence should be addressed.
These authors contributed equally to this work.
Materials 2022, 15(1), 53; https://doi.org/10.3390/ma15010053
Submission received: 2 November 2021 / Revised: 10 December 2021 / Accepted: 18 December 2021 / Published: 22 December 2021
(This article belongs to the Special Issue New Trends in Thermoelectric Materials and Thin Films)

Abstract

:
In this work, a series of Bi2Te3/X mol% MoS2 (X = 0, 25, 50, 75) bulk nanocomposites were prepared by hydrothermal reaction followed by reactive spark plasma sintering (SPS). X-ray diffraction analysis (XRD) indicates that the native nanopowders, comprising of Bi2Te3/MoS2 heterostructure, are highly reactive during the electric field-assisted sintering by SPS. The nano-sized MoS2 particles react with the Bi2Te3 plates matrix forming a mixed-anion compound, Bi2Te2S, at the interface between the nanoplates. The transport properties characterizations revealed a significant influence of the nanocomposite structure formation on the native electrical conductivity, Seebeck coefficient, and thermal conductivity of the initial Bi2Te3 matrix. As a result, enhanced ZT values have been obtained in Bi2Te3/25 mol% MoS2 over the temperature range of 300–475 K induced mainly by a significant increase in the electrical conductivity.

Graphical Abstract

1. Introduction

Thermoelectric (TE) materials can convert heat to electricity or vice versa and the efficiency of the conversion is characterized by the dimensionless figure of merit ZT, ZT = S2σT/κ, wherein the Seebeck coefficient (S), the electrical conductivity (σ), and the thermal conductivity (κ, including electronic component κe, lattice component κl, and bipolar component κb) are three interdependent properties which depend on the absolute temperature (T) [1,2,3]. It represents that, at a given temperature, a ‘good’ TE material should be characterized simultaneously by a large value of power factor (PF = S2σ) and a low value of κ. However, the tight trade-off due to the interdependence between S, σ, and κ makes the enhancement of the ZT values challenging. In order to develop high-performance TE materials, several efficient concepts have been employed, such as nano structuring [4,5,6], doping [7,8], solid solutions [9], energy filtering [10], band convergence [11], and magnetic enhancement [12,13]. Recently, developing composites for tuning the TE characteristics materials appear promising and constitute a striking strategy to improve the performance of TE materials [14,15,16,17,18].
Among the state-of-the-art TE materials, Bi2Te3-based compounds are well known as the best materials for near room-temperature applications and the research on nanostructured Bi2Te3-based compounds is increasing [19,20,21,22,23,24,25,26]. As the most popular candidate for TE power generation and refrigeration [19], quintuple-layered Bi2Te3 is also known as a topological insulator (TI), with an insulating bulk and metallic surface states protected by time-reversal symmetry [27,28], meaning charge carriers are not backscattered by nonmagnetic impurities and defects.
Bi2Te3/MoS2 nanocomposites have exhibited attractive properties in the field of catalysis due to the conductive interfaces between Bi2Te3 and MoS2 [29]. MoS2, a graphene-analogue, is known for its reasonable TE performance [30,31,32,33] because of its physical properties [34], such as discretized density of states and high carrier mobilities. Based on these studies, exploring the TE properties of Bi2Te3/MoS2 appears to be interesting. To the best of our knowledge, until now, there are very few studies on this system. Keshavar et al. [35] fabricated p-type MoS2/(Bi0.2Sb0.8)2Te3 composites by a top-down approach and found that the addition of MoS2 nanoparticles can reduce the thermal conductivity due to additional scattering of phonons resulting in an enhanced ZT at temperatures higher than 370 K. More recently, Tang et al. [23] used a bottom-up method to prepare n-type MoS2/Bi2Te3 nanocomposites, which demonstrated a power factor of 1.83 mW m−1K−2 at ~319 K that is 30% higher than that of the pristine Bi2Te3. However, the thermal conductivity, as well as the ZT of the samples, were not reported in their work despite an expected positive influence of the nanocomposite interface to create some phonon barriers. Thus, systematic studies on Bi2Te3/MoS2 composites should go further. In Bi2Te3/MoS2 composites, Bi2Te3 is expected to act as a template that controls the growth and loading of MoS2 which connects the Bi2Te3 nanoplates to promote electron transfer and assist the formation of heterostructures with well-defined interfaces leading to enhanced phonon scattering. Moreover, the contact between the Bi2Te3 and the MoS2 phase would be a tunable interface to significantly enhance the electronic transport of the final nanocomposite materials.
In this study, layered Bi2Te3/MoS2 nanocomposites of varying compositions were synthesized through a hydrothermal reaction followed by the spark plasma sintering (SPS) process. The influence of MoS2 content combined with an atypical synthesis approach on the transport behavior of nanocomposites was explored.

2. Materials and Methods

2.1. Synthesis of Hexagonal Nanoplatelets of Bi2Te3 and Bi2Te3/MoS2 Heterostructures

Hexagonal nanoplatelets of Bi2Te3 and Bi2Te3/MoS2 heterostructures were synthesized as described previously [29]. Bi2Te3 hexagonal nanoplatelets were prepared by adding Bi2O3 (0.5515 g, 1.18 mmol), TeO2 (0.5745 g, 3.60 mmol), and 4 M NaOH solution (6 mL) into a solution of PVP (0.96 g) in ethylene glycol (42 mL). The mixed yellow suspension was stirred vigorously for 30 min and transferred into a 50 mL Teflon-lined autoclave and sealed in a stainless-steel canister. The autoclave was heated at 200 °C for 4 h. The grey colored product was washed by centrifugation several times using distilled water followed by acetone, and dried in air at room temperature.
Bi2Te3/MoS2 heterostructure with 75 mol% MoS2 was prepared as follows. The obtained hexagonal nanoplatelets of Bi2Te3 (0.205 g, 2.56 × 10−4 mol) was added into 45 mL water and stirred for 30 min to get a dispersion. Ammonium tetrathiomolybdate (0.2 g, equivalent to 7.68 × 10−4 mol of MoS2) was added to this dispersion following 15 min of stirring. Hydrazine hydrate (5 mL) was added to the mixture and the stirring continued for another 15 min. The mixture was then transferred into a Teflon-lined autoclave, sealed, and heated in a hot air oven at 200 °C for 24 h. The black solid obtained was separated by centrifugation, washed several times with distilled water followed by acetone, and dried under ambient conditions. Bi2Te3/X mol% MoS2 heterostructures with X = 0, 25, 50 were also synthesized. In all cases, the mass of ammonium tetrathiomolybdate used was kept constant (200 mg).

2.2. Synthesis of Bi2Te3/X mol%MoS2 Bulk Samples

The powders obtained by the hydrothermal synthesis were loaded into a graphite die ( Φ 10 mm) and sintered by spark plasma sintering (Dr. Sinter, SPS-322Lx, Osaka, Japan) under a uniaxial pressure of 50 MPa. The sintering was performed in a partial argon atmosphere at 623 K for 5 min (heating and cooling rate of 100 K min−1). The sintered pellets were then cut and polished to the required shapes and dimensions for the different characterizations. All properties were measured on the same specimen along the in-plane axis perpendicular to the SPS uniaxial pressure. The densities measured by Archimedes’ method were 6.58, 6.28, 5.74, and 4.64, respectively, for X = 0, 25, 50, and 75 mol% MoS2.

2.3. Chemical and Structural Characterization

The phase compositions were characterized by powder X-ray diffraction (Rigaku, Ultima III, Tokyo, Japan) with Cu Κ α   radiation. Data were collected over a 2θ range of 10–90° with a step size of 0.02° and a scan rate of 3°/min. Microstructural and composition analysis of the samples were performed by a field-emission ultra-high resolution scanning electron microscope (SEM; SU4800 Hitachi) and a mini-SEM (TM3000, Hitachi, Tokyo, Japan) equipped with an energy-dispersive spectrometer (EDS).

2.4. Physical Property Measurements

The thermal diffusivity α and heat capacity Cp were measured using LFA-467 Hyperflash (Netzsch, Burlington, MA, USA) under a flowing argon atmosphere (50 mL/min). The thermal conductivity κ was derived as a product of the sample’s density (measured by Archimedes’ method), thermal diffusivity, and heat capacity Cp. The sintered disks were cut into rectangular bars for simultaneous electrical conductivity and Seebeck coefficient measurements using a commercial instrument (ZEM-2, ULVAC Shinku-Riko, Yokkaichi, Japan) with a standard four-probe configuration under a partial helium atmosphere. All property measurements were performed on the same specimen. Taking into account the strong preferred orientation of the layered structure, S, ρ, and κ measurements were all measured along a plane perpendicular to the SPS pressure direction, namely, ‘in-plane axis’. Hall Effect measurement were carried out using a physical properties measurement system (PPMS; Quantum Design, San Diego, CA, USA), in a magnetic field of −7 T to 7 T at 300 K.

3. Results and Discussion

Microstructure and Chemical Composition

The powder X-ray diffraction (PXRD) patterns of the Bi2Te3/X mol%MoS2 (X = 0, 25, 50) nanocomposites after SPS and the typical native powder of Bi2Te3/75 mol%MoS2 are shown in Figure 1 and Figure S1, respectively. While the SEM image of the pristine Bi2Te3 (Figure S1b) shows hexagonal platelets with smooth surfaces, Bi2Te3/75 mol%MoS2 heterostructure (Figure S1c) shows the hexagons of Bi2Te3 with a rough surface due to the growth of MoS2 layers. The diffraction peaks of the pristine sample X = 0 are in good agreement with the standard data for Bi2Te3 (JCPDS no. 89-2009) and the phase purity is confirmed through the Rietveld refinement (Figure S2a and Table S1), which highlight low-reliability factors attesting to the non-degradation of the native powder during the sintering process at the select temperature (T = 623 K). However, despite the low sintering temperature, the presence of MoS2 nanoflake on the Bi2Te3 matrix induces the formation of the Bi2Te2S-tetradymite phases as visible in the X = 25 and 50 PXRD patterns (Figure 1) and further confirmed by pattern matching (Figure S2b,c), which suggests a reaction/degradation occurred during the sintering process. The tetradymite phase (Bi2Te2S) is likely obtained by the reaction of the metastable 1T-MoS2 nanoparticle with the Bi2Te3 main matrix surface, affecting the respective microstructure of the sample as further discussed in the next section with the scanning electron microscopy (SEM) images (Figure 2). In the native powder (X > 0), the surface of the Bi2Te3 nanoplatelets is uniformly covered with layers of metallic 1T-MoS2 [29], which is schematically depicted in Figure 2d and the corresponding typical SEM image is shown in Figure S1c. It is well known that the chemical reactivity of nanoparticles is enhanced on account of the far larger surface areas than similar masses of larger-scale materials. A combination of the enhanced reactivity and the high energy available during electric-field assisted sintering by SPS makes the surface ionic exchange between MoS2/Bi2Te3 nanoplatelets become propitious leading to the formation of tetradymite phase as well as off-stoichiometric MoS2−x nanoplates and/or Mo2S3 phase at the interface [36]. It can be pointed out that there is a possibility of partial Mo doping in Bi2Te3 according to a recent theoretical report [37]. Besides, the role of the electric field-assisted sintering in the reactive densification is obvious considering the report of Bi2Te3-MoS2 composite realized by the hot-pressing (HP) method, wherein there was no reaction between the two phases [23]. However, further investigations are required to fully understand the mechanism of the reaction. It can be noticed that for the low content of MoS2 (25 mol%), the Bi2Te3 phase remained the main phase according to the intensities of the major peaks (Figure 1). In contrast, the Bi2Te2S dominates the matrix while the native Bi2Te3 main peaks are reduced significantly for the 50 mol% sample. The different phases have been confirmed by the SEM composition analysis using energy dispersive spectroscopy (EDS) (Figure 2e and Figures S3–S5) and the results are in line with the PXRD observation. The Bi2Te3/75 mol% MoS2 nanocomposite was investigated but the PXRD pattern (Figure S6) revealed a plethora of secondary phases that are difficult to identify with the conventional PXRD resolution revealing the limit in the MoS2/Bi2Te3 ratio, which can be mixed to be able to control a constructive nanocomposite formation. Considering the resulting poor transport properties (Figures S7 and S8), this composition has not been further developed in the study and discussion.
Figure 2a–c depicts the SEM images of freshly fractured surfaces of Bi2Te3/X mol% MoS2 (X = 0, 25, 50) samples which show the archetypal plate-shaped particles for the X = 0 and 25 samples as expected for these layered nanocomposite materials. The high-magnification image (Figure 2a, inset) shows that the pristine Bi2Te3 has an obvious typical hexagonal lamellar structure with a smooth surface and a preserved particle size ranging around ~500 nm. The shape of the native nanoplates of Bi2Te3 becomes ill-defined in the composite with 25 mol%MoS2 (Figure 2b, inset), and the plates do not present the characteristic rough surface that indicates the MoS2 presence on the surface of the Bi2Te3 platelets (cf. Figure S1c). This is in agreement with the merging/reaction of the MoS2 and platelets of Bi2Te3 to form the Bi2Te2S interface as observed through the PXRD analysis (Figure 1) and confirmed by EDS analysis (Figure 2e). Notably, the microstructure of the composite with 50 mol% MoS2 is far different from that of the 25 mol%. The shape of the crystals became blurry due to the extensive merging of nanoplates promoted by the high content of MoS2.
To further understand the effect of the nanocomposite formation, the electrical and thermal transport properties of samples were characterized and compared in the in-plane direction. Due to the plate shape nature of these layered structures, the SPS will promote a certain degree of texturing along the ‘in-plane’ direction perpendicular to the SPS load axis. Thus, texturing will be favorable to a large charge carrier mobility as well as a longer relaxation time of the phonon scattering. Consequently, the electrical and thermal conductivity will be higher in the ‘in-plane’ axis as reported extensively in the literature [38,39,40].
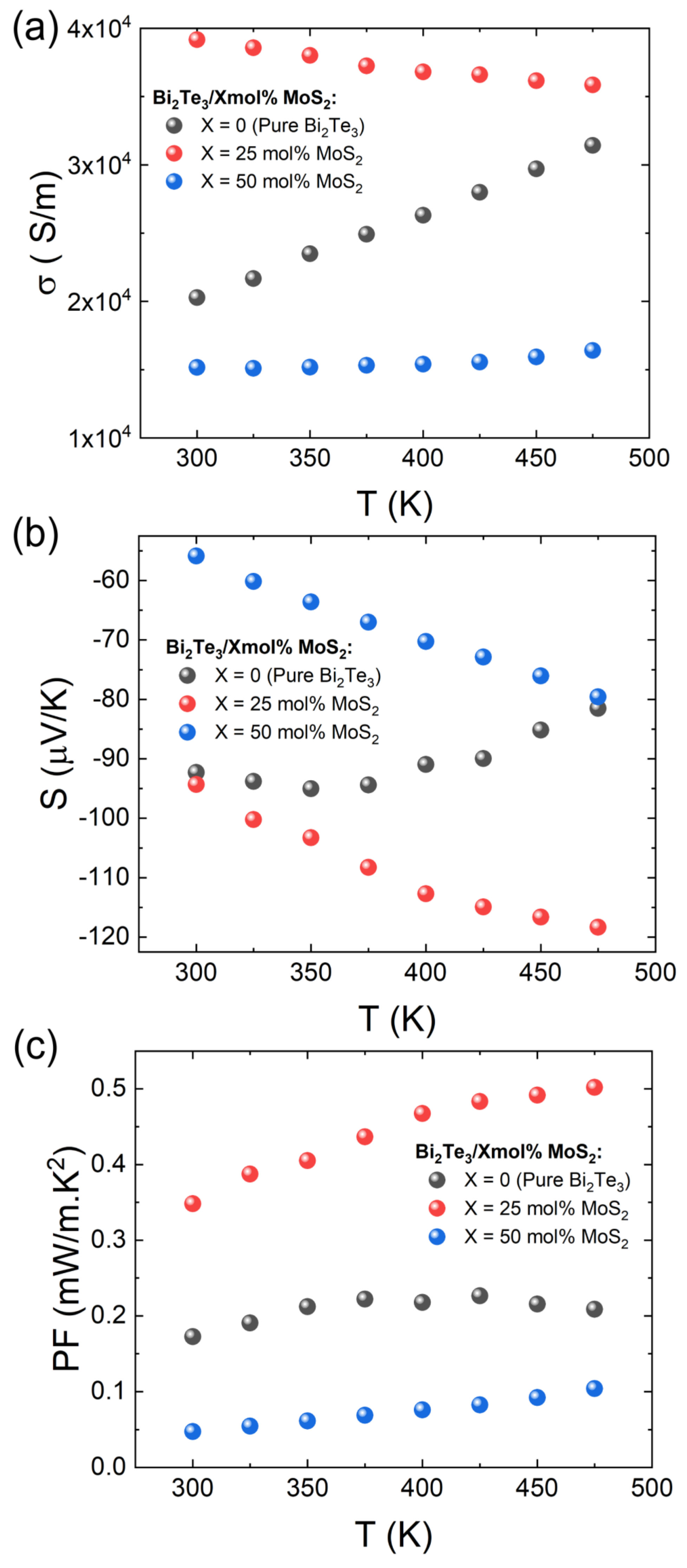
As displayed in Figure 3, the sample of Bi2Te3 produced using hydrothermal method followed by SPS has a relatively low electrical conductivity caused by the reduction of crystal size and the relatively low sample density (about 85%), which induced much more scattering interfaces at the grain boundaries and/or the pores [41]. The resulting combination of both features will affect significantly the charge carrier mobility as it has been confirmed through the Hall effect measurement (Table 1) wherein the carrier mobility of the X = 0 sample is estimated with a low value of μe = 10.90 cm2 V−1s−1. Additionally, it is observed that the Bi2Te3/0 mol%MoS2 is characterized by a non-degenerate n-type semiconducting behavior (positive dσ/dT) with T increasing (Figure 3a), likely due to a slight Te-rich composition (Figure S3) and a moderate carrier concentration in the ≈1019 cm−3 range (Table 1) [42]. Compared with the Bi2Te3/0 mol%MoS2 sample, the nanocomposite formation in the Bi2Te3/25 mol%MoS2 sample induces a constructive effect leading to a substantial enhancement of the electrical conductivity, especially in the room temperature range. It is interpreted that the formation of Bi2Te2S between the nanoplates leads to a superior electrical contact by comparison with the Bi2Te3 sample wherein the nanoplates are not fully connected (Figure 2a,b). Consequently, the carrier mobility is improved, mainly in the out-of-plane axis, and therefore promoting an overall higher electrical conductivity. It is sustained experimentally by the Hall effect measurement, which highlighted a largely improved mobility in the X = 25 sample with a five times improved carrier mobility up to μe = 51.50 cm2 V−1s−1 (Table 1). However, the σ of the nanocomposite sample with 50 mol% MoS2 is drastically reduced in consistence with the dominant presence of the tetradymite phase (Figure 1) which reduced the overall carrier concentration of the nanocomposite. Indeed, the tetradymite phase is known to have a wider bandgap (Eg ≈ 0.3 eV) and a lower electrical conductivity than Bi2Te3 [43,44]. In addition, the influence of the fractured microstructure (Figure 2c) cannot be ruled out, which could be the major contribution of the large reduction of the σ in the Bi2Te3/75 mol%MoS2 composite by reducing the carrier mobility.
The Seebeck coefficient (S) behavior has been investigated as an effective indicator of prevalent carrier type as well as the effect of nanocomposite formation on the electrical transport properties. As shown in Figure 3b, all the samples show a negative S indicating that the predominant carriers are the electrons (n-type). The Seebeck coefficient in the Bi2Te3/25 mol% MoS2 sample is comparable with the pristine sample in the near room temperature range, agreeing with the fact that Bi2Te3 is the main phase in Bi2Te3/25 mol% MoS2 composite. The S values do not saturate over the whole temperature range likely due to the proficient influence of the tetradymite minor phase. The Smax (−118.3 μV K−1 at 475 K) is about 1.47 times larger than the pristine Bi2Te3 (−81 μV K−1 at 475 K). This larger |S| is in consistence with the reduced carrier concentration compared with the pristine Bi2Te3 sample (Table 1). Further increase in mol% of MoS2 dilapidates the value of |S| to around 40% lower in the Bi2Te3/50 mol% MoS2 sample. Contrary to the electrical transport tendency moving to a ‘semiconductor-like’ behavior with increasing MoS2 molar ratio, the decreasing of |S| suggests a more ‘metal-like’ behavior that is not representative of the tetradymite main phase, which will be represented by a higher |S| (≈−190 μV K−1 at 300 K) [43,44]. However, this Seebeck value appears consistent with the report of the MoS2/Mo2S3 nanocomposite [45], which gives us an insight into the non-negligible role of the S-deficient MoS2 phases observed in the EDS mapping analysis (Figures S4 and S5). Therefore, further investigations with higher accuracy than PXRD and EDS are required to fully confirm the presence of this latter phase and its contribution to the nanocomposites’ transport properties. Based the things considered above, the 25 mol% MoS2 content is the optimum value to massively improve the electrical conductivity as well as preserve a large Seebeck coefficient in this typical bulk synthesis approach. Ultimately, the highest power factor (S2 σ ) at room temperature was obtained for the 25 mol% MoS2 sample with PF = 0.35 mW m−1K−2 at 300 K that increases to 0.5 mW m−1K−2 at 475 K, as shown in Figure 3c.
The thermal properties of the nanocomposites were characterized to probe the influence of the nanocomposite formation on the thermal transport behavior. The thermal conductivity κ is expressed by κ = κe + κl + κb. The κe can be estimated from the Wiedemann–Franz law:
κe = L × T × σ,
where L is the Lorentz number, calculated by the equation:
L = 1.5 + exp[−|S|/116]
The temperature dependence of κ and κ-κe are shown in Figure 4a,b, respectively. The average thermal conductivities of ~1.37, 1.27, and 1.19 W m−1 K−1 were correspondingly determined for 0 mol%, 25 mol%, and 50 mol% MoS2 composites. It should be noted that the κ of the pristine sample (1.1 W/m.K at 300 K) is in the lower range of values reported for Bi2Te3, likely due to the relatively low density of the sample, which leads to an enhanced effective phonon scattering by the pores. The bipolar thermal conductivity at high temperatures (sharp upturn on both κ and κ-κe) is marked in pristine Bi2Te3 and becomes negligible with the formation of the nanocomposite [46]. Interestingly, the decrease in the bipolar contribution in the Bi2Te3/MoS2 nanocomposite appears to be a consequence of interface creation between the Bi2Te3 matrix and the tetradymite Bi2Te2S formation, where the energy barrier was produced because of the mismatched bandgap. Thus, the minor carriers will be scattered preferentially and consequently suppress the κb [47]. As revealed in Figure 4b, the κl predominates in the heat transport process in the Bi2Te3/X mol% MoS2 nanocomposites. Except in the pristine Bi2Te3, the κl of nanocomposites (X = 25 and 50) has a negative temperature dependence. Moreover, the interfaces produced by the different phases in composites play the role of a phonon scattering center and thus slightly decreases the κ. Besides, the Bi2Te2S, reported with an intrinsic low thermal transport thanks to the mixed anion occupancy, plays a non-negligible role in enhancing phonon scattering and therefore suppresses the κl, which is commonly related to a structural distortion induced by the bonding heterogeneity induced by the mixed anion occupancy in this compound [48,49]. Therefore, compositing MoS2 in Bi2Te3 matrix not only effectively decreases the thermal conductivity but also suppresses the bipolar conduction κb.
The temperature-dependent ZT values of the nanocomposites are plotted in Figure 4c. It is revealed that the Bi2Te2S formation (X = 25) has a beneficial effect to enhance the global ZT of the Bi2Te3/MoS2 nanocomposite, mainly due to the significant improvement of the electrical conductivity. However, the constructive effect is limited to a narrow MoS2 loading. The promotion of the tetradymite as the main phase and the S-deficient MoS2 byproduct rise conflicting transport mechanisms compared with the mechanisms in the nanocomposites of X = 0, 50, and 75, thus, the lower ZT values are observed for composites with X = 0, 50, and 75 (Figure 4c and Figure S8).

4. Conclusions

Novel n-type Bi2Te3/X mol% MoS2 nanocomposites were prepared by hydrothermal reaction combined with reactive electric field-assisted sintering. This unconventional approach led to the formation of additional phases in the nanocomposite samples due to the reaction between Bi2Te3 and MoS2. The optimum TE properties of the nanocomposites were obtained for the low MoS2 content of 25 mol% due to the interplanar contact improvement, produced by the tetradymite (Bi2Te2S) phase formation, which led to a substantial electrical conductivity improvement without affecting the Seebeck coefficient. As a result, the Bi2Te3/25 mol% MoS2 gives an enhanced ZT of 0.18 at 475 K, which is three times higher than the reference nanostructured Bi2Te3. This atypical approach gives an insight for further enhancement in the TE performance of nanoscale material by using constructive composite interface engineering.

Supplementary Materials

The following are available online at https://www.mdpi.com/article/10.3390/ma15010053/s1, Figure S1: XRD pattern (a) and SEM image of the precursor powder of pristine Bi2Te3 (b) and Bi2Te3−MoS2 (25:75) heterostructure (c), Figure S2: Refinement of the PXRD pattern of the Bi2Te3/X mol% MoS2 nanocomposite for (a) X = 0, (b) X = 25, (c) X = 50, and (d) schematic structural representation of the Bi2Te3, Bi2Te2S, and 2H-MoS2, Table S1: Cell parameters, reliability factors, and atomic coordination obtained from Rietveld refinement of PXRD patterns of the pure Bi2Te3, Figure S3: The elemental mapping, EDS spectrum, and composition of pure Bi2Te3 (x = 0) sample, Figure S4: Line analysis of the chunk and the elemental mapping of Bi2Te3/25 mol% MoS2 sample, Figure S5: (a) The elemental mapping, EDS spectrum, and composition of Bi2Te3/50 mol% MoS2 sample as well as the line analysis of black chunk in Bi2Te3/50 mol% MoS2 sample, Figure S6: PXRD pattern of the Bi2Te3/75 mol% MoS2 nanocomposite, Figure S7: Temperature dependence of electrical conductivity σ, Seebeck coefficient S and power factor PF of the Bi2Te3/75% mol%MoS2 nanocomposite after spark plasma sintering, Figure S8: Temperature dependence of thermal conductivity κ and figure of merit ZT of the Bi2Te3/75% mol%MoS2 nanocomposite.

Author Contributions

Conceptualization, C.N. and T.M.; methodology, Y.W., C.B., R.R. and M.R.; software, Y.W. and C.B.; validation, R.R. and M.R.; formal analysis, Y.W. and C.B.; investigation, Y.W., C.B., R.R., and M.R.; resources, C.N. and T.M.; Visualization, Y.W. and C.B.; data curation, Y.W. and C.B.; writing—original draft preparation, Y.W. and C.B.; writing—review and editing, Y.W., C.B., R.R., M.R., C.N. and T.M.; supervision, C.N. and T.M.; funding acquisition, T.M. All authors have read and agreed to the published version of the manuscript.

Funding

This research was funded by JST Mirai Program grant nos. JPMJMI19A1 and JSPS KAKENHI JP19H00833; and SERB, DST, India, grant number EMR/2015/001982.

Institutional Review Board Statement

Not applicable.

Informed Consent Statement

Not applicable.

Data Availability Statement

The data presented in this research study are available in this article.

Acknowledgments

Y.W. acknowledges financial support from the China Scholarship Council. The authors would like to thank Namiki foundry (NIMS, Tsukuba, Japan) for the use of the SEM facilities.

Conflicts of Interest

The authors declare no conflict of interest.

References

  1. Mori, T.; Priya, S. Materials for energy harvesting: At the forefront of a new wave. MRS Bull. 2018, 43, 176–180. [Google Scholar] [CrossRef] [Green Version]
  2. Bell, L.E. Cooling, Heating, Generating Power, and Recovering Waste Heat with Thermoelectric Systems. Science 2008, 321, 1457–1461. [Google Scholar] [CrossRef] [PubMed] [Green Version]
  3. Liu, Z.; Sato, N.; Gao, W.; Yubuta, K.; Kawamoto, N.; Mitome, M.; Kurashima, K.; Owada, Y.; Nagase, K.; Lee, C.-H.; et al. Demonstration of Ultrahigh Thermoelectric Efficiency of ∼7.3% in Mg3Sb2/MgAgSb Module for Low-Temperature Energy Harvesting. Joule 2021, 5, 1196–1208. [Google Scholar] [CrossRef]
  4. Mori, T. Novel Principles and Nanostructuring Methods for Enhanced Thermoelectrics. Small 2017, 13, 1702013. [Google Scholar] [CrossRef] [PubMed] [Green Version]
  5. Biswas, K.; He, J.; Blum, I.D.; Wu, C.I.; Hogan, T.P.; Seidman, D.N.; Dravid, V.P.; Kanatzidis, M.G. High-Performance Bulk Thermoelectrics with All-Scale Hierarchical Architectures. Nature 2012, 489, 414–418. [Google Scholar] [CrossRef] [PubMed]
  6. Xie, W.; Tang, X.; Yan, Y.; Zhang, Q.; Tritt, T.M. Unique Nanostructures and Enhanced Thermoelectric Performance of Melt-spun BiSbTe alloys. Appl. Phys. Lett. 2009, 94, 102111. [Google Scholar] [CrossRef]
  7. Jaworski, C.M.; Kulbachinskii, V.; Heremans, J.P. Resonant Level formed by Tin in Bi2Te3 and the Enhancement of Room-Temperature Thermoelectric Power. Phys. Rev. B 2009, 80, 233201. [Google Scholar] [CrossRef]
  8. Sawicki, B.; Karolewicz, M.; Tomaszewicz, E.; Oboz, M.; Gron, T.; Kukula, Z.; Pawlus, S.; Nowok, A.; Duda, H. Effect of Gd3+ Substitution on Thermoelectric Power Factor of Paramagnetic Co2+-Doped Calcium Molybdato-Tungstates. Materials 2021, 14, 3692. [Google Scholar] [CrossRef] [PubMed]
  9. Poudeu, P.F.; D’Angelo, J.; Downey, A.D.; Short, J.L.; Hogan, T.P.; Kanatzidis, M.G. High Thermoelectric Figure of Merit and Nanostructuring in Bulk p-type Na1-xPbmSbyTem+2. Angew. Chem. Int. Ed. Engl. 2006, 45, 3835–3839. [Google Scholar] [CrossRef] [PubMed]
  10. Pakdel, A.; Guo, Q.; Nicolosi, V.; Mori, T. Enhanced thermoelectric performance of Bi–Sb–Te/Sb2O3 nanocomposites by energy filtering effect. J. Mater. Chem. A 2018, 6, 21341–21349. [Google Scholar] [CrossRef]
  11. Pei, Y.; Shi, X.; LaLonde, A.; Wang, H.; Chen, L.; Snyder, G.J. Convergence of Electronic Bands for High Performance Bulk Thermoelectrics. Nature 2011, 473, 66–69. [Google Scholar] [CrossRef]
  12. Vaney, J.B.; Aminorroaya Yamini, S.; Takaki, H.; Kobayashi, K.; Kobayashi, N.; Mori, T. Magnetism-Mediated Thermoelectric Performance of the Cr-doped Bismuth Telluride Tetradymite. Mater. Today Phys. 2019, 9, 100090. [Google Scholar] [CrossRef]
  13. Naohito, T.; Akinori, N.; Jun, H.; Takao, M. Observation of Enhanced Thermopower due to Spin Fluctuation in Weak Itinerant Ferromagnet. Sci. Adv. 2019, 5, eaat5935. [Google Scholar]
  14. Liu, W.; Yan, X.; Chen, G.; Ren, Z. Recent Advances in Thermoelectric Nanocomposites. Nano Energy 2012, 1, 42–56. [Google Scholar] [CrossRef]
  15. Mori, T.; Hara, T. Hybrid Effect to Possibly Overcome the Trade-off Between Seebeck Coefficient and Electrical Conductivity. Scr. Mater. 2016, 111, 44–48. [Google Scholar] [CrossRef]
  16. Zianni, X. The annealed-nanograin phase: A Route to Simultaneous Increase of the Conductivity and the Seebeck Coefficient and High Thermoelectric Performance. J. Appl. Phys. 2019, 126, 194301. [Google Scholar] [CrossRef]
  17. Nandihalli, N.; Liu, C.-J.; Mori, T. Polymer Based Thermoelectric Nanocomposite Materials and Devices: Fabrication and Characteristics. Nano Energy 2020, 78, 105186. [Google Scholar] [CrossRef]
  18. Madavali, B.; Sharief, P.; Park, K.-T.; Song, G.; Back, S.-Y.; Rhyee, J.-S.; Hong, S.-J. Development of High-Performance Thermoelectric Materials by Microstructure Control of P-Type BiSbTe Based Alloys Fabricated by Water Atomization. Materials 2021, 14, 4870. [Google Scholar] [CrossRef]
  19. Hines, M.; Lenhardt, J.; Lu, M.; Jiang, L.; Xiao, Z. Cooling Effect of Nanoscale Bi2Te3/Sb2Te3 Multilayered Thermoelectric Thin Films. J. Vac. Sci. Technol. A 2012, 30, 041509. [Google Scholar] [CrossRef]
  20. Saleemi, M.; Toprak, M.S.; Li, S.; Johnsson, M.; Muhammed, M. Synthesis, Processing, and Thermoelectric Properties of Bulk Nanostructured Bismuth Telluride (Bi2Te3). J. Mater. Chem. 2012, 22, 725–730. [Google Scholar] [CrossRef]
  21. Goldsmid, H.J. Bismuth Telluride and Its Alloys as Materials for Thermoelectric Generation. Materials 2014, 7, 2577–2592. [Google Scholar] [CrossRef] [PubMed] [Green Version]
  22. Poudel, B.; Hao, Q.; Ma, Y.; Lan, Y.; Minnich, A.; Yu, B.; Yan, X.; Wang, D.; Muto, A.; Vashaee, D.; et al. High-Thermoelectric Performance of Nanostructured Bismuth Antimony Telluride Bulk Alloys. Science 2008, 320, 634–638. [Google Scholar] [CrossRef] [PubMed] [Green Version]
  23. Tang, G.; Cai, K.; Cui, J.; Yin, J.; Shen, S. Preparation and Thermoelectric Properties of MoS2/Bi2Te3 Nanocomposites. Ceram. Int. 2016, 42, 17972–17977. [Google Scholar] [CrossRef]
  24. Keshavarz, M.K.; Vasilevskiy, D.; Masut, R.A.; Turenne, S. Synthesis and Characterization of Bismuth Telluride-based Thermoelectric Nanocomposites Containing MoS2 Nano-inclusions. Mater. Charact. 2014, 95, 44–49. [Google Scholar] [CrossRef]
  25. Grasso, S.; Tsujii, N.; Jiang, Q.; Khaliq, J.; Maruyama, S.; Miranda, M.; Simpson, K.; Mori, T.; Reece, M.J. Ultra Low Thermal Conductivity of Disordered Layered P-Type Bismuth Telluride. J. Mater. Chem. C 2013, 1, 2362. [Google Scholar]
  26. Kim, C.; Lopez, D.H. Effects of the Interface between Inorganic and Organic Components in a Bi2Te3-Polypyrrole Bulk Composite on Its Thermoelectric Performance. Materials 2021, 14, 3080. [Google Scholar] [CrossRef]
  27. Kou, L.; Ma, Y.; Sun, Z.; Heine, T.; Chen, C. Two-Dimensional Topological Insulators: Progress and Prospects. J. Phys. Chem. Lett. 2017, 8, 1905–1919. [Google Scholar] [CrossRef] [PubMed]
  28. Moore, J.E. The Birth of Topological Insulators. Nature 2010, 464, 194–198. [Google Scholar] [CrossRef] [PubMed]
  29. Nethravathi, C.; Dattatreya Manganahalli, A.; Rajamathi, M. Bi2Te3–MoS2 Layered Nanoscale Heterostructures for Electron Transfer Catalysis. ACS Appl. Nano Mater. 2019, 2, 2005–2012. [Google Scholar] [CrossRef]
  30. Babaei, H.; Khodadadi, J.M.; Sinha, S. Large theoretical Thermoelectric Power Factor of Suspended Single-Layer MoS2. Appl. Phys. Lett. 2014, 105, 193901. [Google Scholar] [CrossRef]
  31. Wickramaratne, D.; Zahid, F.; Lake, R.K. Electronic and Thermoelectric Properties of Few-layer Transition Metal Dichalcogenides. J. Chem. Phys. 2014, 140, 124710. [Google Scholar] [CrossRef] [Green Version]
  32. Huang, H.; Cui, Y.; Li, Q.; Dun, C.; Zhou, W.; Huang, W.; Chen, L.; Hewitt, C.A.; Carroll, D.L. Metallic 1T Phase MoS2 Nanosheets for High-Performance Thermoelectric Energy Harvesting. Nano Energy 2016, 26, 172–179. [Google Scholar] [CrossRef]
  33. Bourgès, C.; Rajamathi, R.; Nethravathi, C.; Rajamathi, M.; Mori, T. Induced 2H-Phase Formation and Low Thermal Conductivity by Reactive Spark Plasma Sintering of 1T-Phase Pristine and Co-Doped MoS2 Nanosheets. ACS Omega 2021, 48, 32783–32790. [Google Scholar] [CrossRef]
  34. Tang, Q.; Zhou, Z. Graphene-Analogous Low-Dimensional Materials. Prog. Mater. Sci. 2013, 58, 1244–1315. [Google Scholar] [CrossRef]
  35. Keshavarz, M.K.; Vasilevskiy, D.; Masut, R.A.; Turenne, S. Effect of Suppression of Grain Growth of Hot Extruded (Bi0.2Sb0.8)2Te3 Thermoelectric Alloys by MoS2 Nanoparticles. J. Electron. Mater. 2014, 43, 2239–2246. [Google Scholar] [CrossRef]
  36. Gangwar, P.; Kumar, S.; Khare, N. Ultrahigh Thermoelectric Performance of 2H–MoS2 Nanosheets with Incorporated Conducting Secondary Phase. Mater. Res. Express. 2019, 6, 105062. [Google Scholar] [CrossRef]
  37. Kim, I.; Sangwan, V.; Jariwala, D.; Wood, J.; Park, S.; Chen, K.; Shi, F.; Ruiz-Zepeda, F.; Ponce, A.; Jose-Yacaman, M.; et al. Influence of Stoichiometry on the Optical and Electrical Properties of Chemical Vapor Deposition Derived MoS2. ACS Nano 2014, 8, 10551–10558. [Google Scholar] [CrossRef] [Green Version]
  38. Shen, J.; Hu, L.; Zhu, T.; Zhao, X. The texture related anisotropy of thermoelectric properties in bismuth telluride based polycrystalline alloys. Appl. Phys. Lett. 2011, 99, 124102. [Google Scholar] [CrossRef]
  39. Zhao, L.; Zhang, B.; Li, J.; Zhang, H.; Liu, W. Enhanced thermoelectric and mechanical properties in textured n-type Bi2Te3 prepared by spark plasma sintering. Solid State Sci. 2008, 10, 651–658. [Google Scholar] [CrossRef]
  40. Bao, D.; Chen, J.; Yu, Y.; Liu, W.; Huang, L.; Han, G.; Tang, J.; Zhou, D.; Yang, L.; Chen, Z. Texture-dependent thermoelectric properties of nano-structured Bi2Te3. Chem. Eng. J. 2020, 388, 124295. [Google Scholar] [CrossRef]
  41. Solomon, G.; Song, E.; Gayner, C.; Martinez, J.A.; Amouyal, Y. Effects of Microstructure and Neodymium Doping on Bi2Te3 Nanostructures: Implications for Thermoelectric Performance. ACS Appl. Nano Mater. 2021, 4, 4419–4431. [Google Scholar] [CrossRef]
  42. Witting, I.T.; Chasapis, T.C.; Ricci, F.; Peters, M.; Heinz, N.A.; Hautier, G.; Snyder, G.J. The Thermoelectric Properties of Bismuth Telluride. Adv. Electron. Mater. 2019, 5, 1800904. [Google Scholar] [CrossRef]
  43. Grauer, D.C.; Hor, Y.S.; Williams, A.J.; Cava, R.J. Thermoelectric Properties of the Tetradymite-type Bi2Te2S–Sb2Te2S Solid Solution. Mater. Res. Bull. 2009, 44, 1926–1929. [Google Scholar] [CrossRef]
  44. Joo, S.-J.; Ryu, B.; Son, J.-H.; Lee, J.E.; Min, B.-K.; Kim, B.-S. Highly Anisotropic Thermoelectric Transport Properties Responsible for Enhanced Thermoelectric Performance in The Hot-deformed Tetradymite Bi2Te2S. J. Alloys Compd. 2019, 783, 448–454. [Google Scholar] [CrossRef]
  45. Fagerquist, R.L.; Kirby, R.D. Metastable conduction states in Mo2S3: Pulse Conductivity and Thermoelectric Power. Phys. Rev. B 1988, 38, 3973–3985. [Google Scholar] [CrossRef]
  46. Zhang, G.; Kirk, B.; Jauregui, L.A.; Yang, H.; Xu, X.; Chen, Y.P.; Wu, Y. Rational Synthesis of Ultrathin N-Type Bi2Te3 Nanowires with Enhanced Thermoelectric Properties. Nano Lett. 2012, 12, 56–60. [Google Scholar] [CrossRef]
  47. Zhang, C.; Ng, H.; Li, Z.; Khor, K.A.; Xiong, Q. Minority Carrier Blocking to Enhance the Thermoelectric Performance of Solution-Processed BixSb2-xTe3 Nanocomposites via a Liquid-Phase Sintering Process. ACS Appl. Mater. Interfaces 2017, 9, 12501–12510. [Google Scholar] [CrossRef] [PubMed]
  48. Sato, N.; Kuroda, N.; Nakamura, S.; Katsura, Y.; Kanazawa, I.; Kimura, K.; Mori, T. Bonding Heterogeneity in Mixed-Anion-compounds Realizes Ultralow Lattice Thermal Conductivity. J. Mater. Chem. A 2021, 9, 22660–22669. [Google Scholar] [CrossRef]
  49. Tao, Q.; Meng, F.; Zhang, Z.; Cao, Y.; Tang, Y.; Zhao, J.; Su, X.; Uher, C.; Tang, X. The Origin of Ultra-low Thermal Conductivity of the Bi2Te2S Compound and Boosting the Thermoelectric Performance Via Carrier Engineering. Mater. Today Phys. 2021, 20, 100472. [Google Scholar]
Figure 1. PXRD patterns of the Bi2Te3/X mol% MoS2 heterostructures (X = 0, 25, 50) after SPS.
Figure 1. PXRD patterns of the Bi2Te3/X mol% MoS2 heterostructures (X = 0, 25, 50) after SPS.
Materials 15 00053 g001
Figure 2. Fracture surface SEM images of Bi2Te3/X mol% MoS2 after spark plasma sintering with (a) X = 0, (b) X = 25, and (c) X = 50; the insets correspond to the higher magnification images of the fracture surfaces; (d) schematic depiction of Bi2Te3/MoS2 heterostructure before and after SPS; and (e) representative elemental mapping of two distinct areas of the X = 25 sample with their corresponding atomic compositions.
Figure 2. Fracture surface SEM images of Bi2Te3/X mol% MoS2 after spark plasma sintering with (a) X = 0, (b) X = 25, and (c) X = 50; the insets correspond to the higher magnification images of the fracture surfaces; (d) schematic depiction of Bi2Te3/MoS2 heterostructure before and after SPS; and (e) representative elemental mapping of two distinct areas of the X = 25 sample with their corresponding atomic compositions.
Materials 15 00053 g002
Figure 3. Temperature dependence of (a) electrical conductivity σ, (b) Seebeck coefficient S, and (c) power factor PF of the Bi2Te3/X mol%MoS2 (X = 0, 25, 50) nanocomposites.
Figure 3. Temperature dependence of (a) electrical conductivity σ, (b) Seebeck coefficient S, and (c) power factor PF of the Bi2Te3/X mol%MoS2 (X = 0, 25, 50) nanocomposites.
Materials 15 00053 g003
Figure 4. Temperature dependence of (a) total thermal conductivity κ; (b) κ-κe; and (c) ZT of Bi2Te3/X mol%MoS2.
Figure 4. Temperature dependence of (a) total thermal conductivity κ; (b) κ-κe; and (c) ZT of Bi2Te3/X mol%MoS2.
Materials 15 00053 g004
Table 1. Carrier concentrations and mobility of the Bi2Te3/X mol MoS2 nanocomposites.
Table 1. Carrier concentrations and mobility of the Bi2Te3/X mol MoS2 nanocomposites.
Bi2Te3/X mol MoS2 Nanocomposite—Hall Effect at 300 K
X = 0X = 25X = 50
n (cm−3)8.94 × 10194.75 × 10193.20 × 1019
μe (cm2 V−1s−1)10.9051.5029.58
Publisher’s Note: MDPI stays neutral with regard to jurisdictional claims in published maps and institutional affiliations.

Share and Cite

MDPI and ACS Style

Wang, Y.; Bourgès, C.; Rajamathi, R.; Nethravathi, C.; Rajamathi, M.; Mori, T. The Effect of Reactive Electric Field-Assisted Sintering of MoS2/Bi2Te3 Heterostructure on the Phase Integrity of Bi2Te3 Matrix and the Thermoelectric Properties. Materials 2022, 15, 53. https://doi.org/10.3390/ma15010053

AMA Style

Wang Y, Bourgès C, Rajamathi R, Nethravathi C, Rajamathi M, Mori T. The Effect of Reactive Electric Field-Assisted Sintering of MoS2/Bi2Te3 Heterostructure on the Phase Integrity of Bi2Te3 Matrix and the Thermoelectric Properties. Materials. 2022; 15(1):53. https://doi.org/10.3390/ma15010053

Chicago/Turabian Style

Wang, Yanan, Cédric Bourgès, Ralph Rajamathi, C. Nethravathi, Michael Rajamathi, and Takao Mori. 2022. "The Effect of Reactive Electric Field-Assisted Sintering of MoS2/Bi2Te3 Heterostructure on the Phase Integrity of Bi2Te3 Matrix and the Thermoelectric Properties" Materials 15, no. 1: 53. https://doi.org/10.3390/ma15010053

APA Style

Wang, Y., Bourgès, C., Rajamathi, R., Nethravathi, C., Rajamathi, M., & Mori, T. (2022). The Effect of Reactive Electric Field-Assisted Sintering of MoS2/Bi2Te3 Heterostructure on the Phase Integrity of Bi2Te3 Matrix and the Thermoelectric Properties. Materials, 15(1), 53. https://doi.org/10.3390/ma15010053

Note that from the first issue of 2016, this journal uses article numbers instead of page numbers. See further details here.

Article Metrics

Back to TopTop