Half Metallic Ferromagnetism and Transport Properties of Zinc Chalcogenides ZnX2Se4 (X = Ti, V, Cr) for Spintronic Applications
Abstract
:1. Introduction
2. Method of Calculations
3. Results and Discussion
3.1. Structure Behavior and Thermodynamically Stability
3.2. Band Structure and Density of States
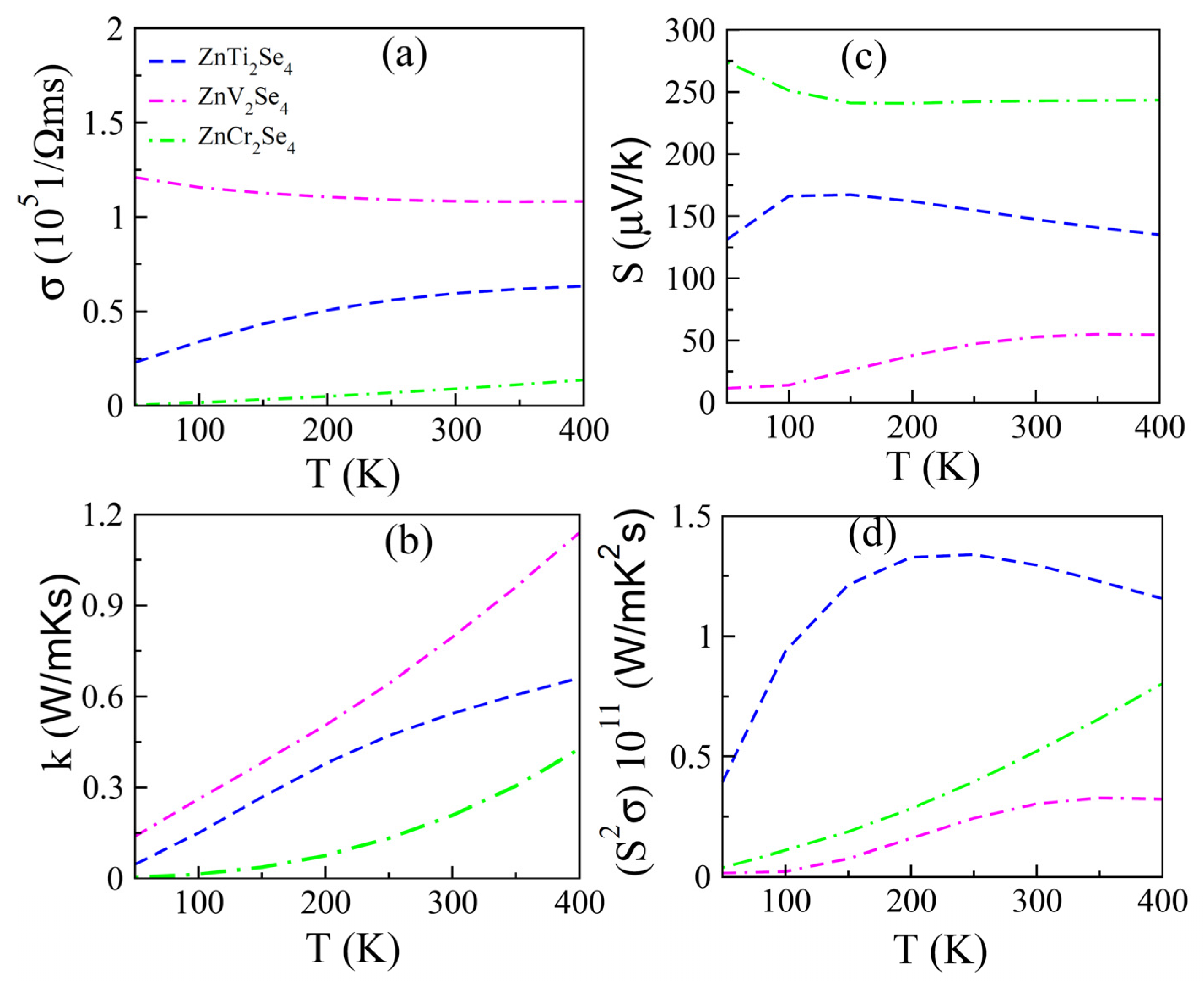
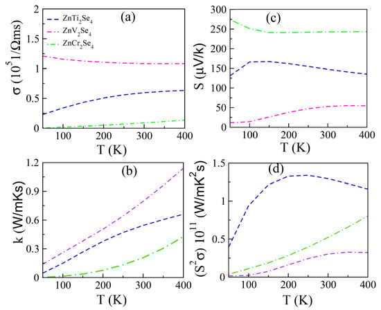
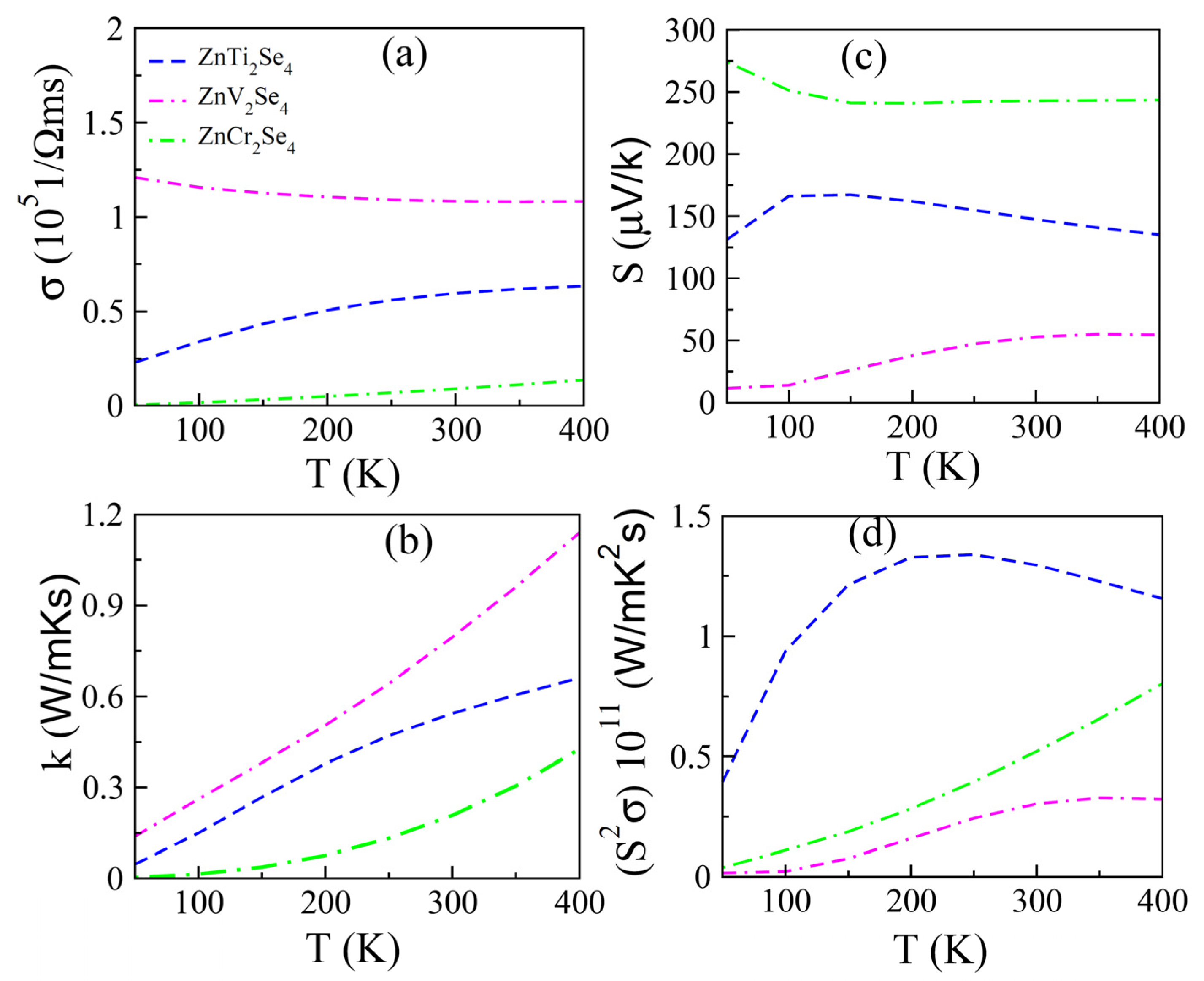
3.3. Transport Properties
4. Conclusions
Author Contributions
Funding
Institutional Review Board Statement
Informed Consent Statement
Data Availability Statement
Acknowledgments
Conflicts of Interest
References
- Cid, A.; Simal-Gandara, J. Synthesis, characterization, and potential applications of transition metal nanoparticles. J. Inorg. Organomet. Polym. Mater. 2020, 30, 1011–1032. [Google Scholar] [CrossRef]
- Alkathy, M.S.; Lente, M.H.; Eiras, J. Bandgap narrowing of Ba0.92Na0. 04Bi0. 04TiO3 ferroelectric ceramics by transition metals doping for photovoltaic applications. J. Mater. Chem. Phys. 2021, 257, 123791. [Google Scholar] [CrossRef]
- Aravindh, S.A.; Schwingenschloegl, U.; Roqan, I.S. Ferromagnetism in Gd doped ZnO nanowires: A first principles study. J. Appl. Phys. 2014, 116, 233906. [Google Scholar] [CrossRef] [Green Version]
- Zhang, Z.; Schwingenschlogl, U.; Roqan, I.S. Possible mechanism for d 0 ferromagnetism mediated by intrinsic defects. RSC Adv. 2014, 4, 50759–50764. [Google Scholar] [CrossRef]
- Roqan, I.S.; Venkatesh, S.; Zhang, Z.; Hussain, S.; Bantounas, I.; Franklin, J.B.; Flemban, T.H.; Zou, B.; Lee, J.-S.; Schwingenschlogl, U.; et al. Obtaining strong ferromagnetism in diluted Gd-doped ZnO thin films through controlled Gd-defect complexes. J. Appl. Phys. 2015, 117, 073904. [Google Scholar] [CrossRef]
- Mahmood, Q.; Haq, B.U.; Rashid, M.; Noor, N.; AlFaify, S.; Laref, A. First-principles study of magnetic and thermoelectric properties of SnFe2O4 and SnCo2O4 spinels. J. Solid State Chem. 2020, 286, 121279. [Google Scholar] [CrossRef]
- Mahmood, Q.; Noor, N.; Jadan, M.; Addasi, J.S.; Mahmood, A.; Ramay, S.M. First-principle investigation of ferromagnetism and thermoelectric characteristics of MgCr2X4 (X = S, Se) spinels. J. Solid State Chem. 2020, 285, 121261. [Google Scholar] [CrossRef]
- Zhang, R.L.; Damewood, L.; Fong, C.Y.; Yang, L.H.; Peng, R.; Felser, C. A half-metallic half-Heusler alloy having the largest atomic-like magnetic moment at optimized lattice constant. AIP Adv. 2016, 6, 115209. [Google Scholar] [CrossRef]
- De Groot, R.A.; Mueller, F.M.; Van Engen, P.G.; Buschow, K.H.J. New Class of Materials: Half-Metallic Ferromagnets. Phys. Rev. Lett. 1983, 50, 2024. [Google Scholar] [CrossRef] [Green Version]
- Muz, I.; Goktaş, F.; Kurban, M. 3d-transition metals (Cu, Fe, Mn, Ni, V and Zn)-doped pentacene π-conjugated organic molecule for photovoltaic applications: DFT and TD-DFT calculations. Theor. Chem. Acc. 2020, 139, 23. [Google Scholar] [CrossRef]
- Elhorri, A.M. Theoretical study of new push–pull molecules based on transition metals for NLO applications and determination of ICT mechanisms by DFT calculations. J. Theo. Comp. Chem. 2020, 19, 2050026. [Google Scholar] [CrossRef]
- Mahmood, Q.; Hassan, M.; Bhamu, K.; Yaseen, M.; Ramay, S. Density functional theory-based study of the magnetic and optical properties of PbMO3 (M = Cr, Fe) using the modified Becke Johnson mBJ functional. J. Phys. Chem. Solids 2021, 158, 110225. [Google Scholar] [CrossRef]
- Gueddida, S.; Lebegue, S.; Badawi, M. Interaction between transition metals (Co, Ni, and Cu) systems and amorphous silica surfaces: A DFT investigation. Appl. Surf. Sci. 2020, 533, 147422. [Google Scholar] [CrossRef]
- Khandy, S.A.; Chai, J.-D. Novel half-metallic L21 structured full-Heusler compound for promising spintronic applications: A DFT-based computer simulation. J. Magn. Magn. Mater. 2019, 487, 165289. [Google Scholar] [CrossRef]
- Kapuria, N.; Ghorpade, U.V.; Zubair, M.; Mishra, M.; Singh, S.; Ryan, K.M. Metal chalcogenide semiconductor nanocrystals synthesized from ion-conducting seeds and their applications. J. Mater. Chem. C 2020, 8, 13868–13895. [Google Scholar] [CrossRef]
- Cui, X.; Soon, A.; Phillips, A.; Zheng, R.; Liu, Z.; Delley, B.; Ringer, S.; Stampfl, C. First principles study of 3d transition metal doped Cu3N. J. Magn. Magn. Mater. 2012, 324, 3138–3143. [Google Scholar] [CrossRef]
- Vaipolin, A.A.; Nikolaev, Y.A.; Polushina, I.K.; Rud’, V.Y.; Rud’, Y.V.; Terukov, E.I.; Fernelius, N. Fabrication and Properties of ZnFe2S4 Single Crystals and Structures Based on Them. Semiconductors 2003, 37, 656–660. [Google Scholar] [CrossRef]
- Efthimiopoulos, I.; Lochbiler, T.; Tsurkan, V.; Loidl, A.; Felea, V.; Wang, Y. Structural Behavior of ZnCr2S4 Spinel under Pressure. J. Phys. Chem. C 2017, 121, 769–777. [Google Scholar] [CrossRef] [Green Version]
- Gudwański, A.; Malicka, E.; Groń, T.; Karolus, M.; Oboz, M.; Sawicki, B.; Nowok, A.; Pawlus, S.; Duda, H. Electrical and magnetic properties of ZnCr2S4 nanoparticles. J. Alloy. Compd. 2021, 861, 157973. [Google Scholar] [CrossRef]
- Jendrzejewska, I.; Gro, T.; Kwapulinski, P.; Kusz, J.; Pietrasik, E.; Goryczka, T.; Sawicki, B.; Slebarski, A.; Fijalkowski, M.; Jampilek, J.; et al. Study of the Structure, Magnetic, Thermal and Electrical Characterization of ZnCr2Se4: Ta Single Crystals Obtained by Chemical Vapour Transport. Materials 2021, 14, 2749. [Google Scholar] [CrossRef]
- Elahmar, M.H.; Rached, H.; Rached, D. The half metallic feature at high temperature of the novel half-Heusler alloys and their [100] oriented layered superlattices: A DFT investigations. Mater. Chem. Phys. 2021, 267, 124712. [Google Scholar] [CrossRef]
- Koller, D.; Tran, F.; Blaha, P. Improving the modified Becke-Johnson exchange potential. Phys. Rev. B 2012, 85, 155109. [Google Scholar] [CrossRef] [Green Version]
- Madsen, G.K.H.; Singh, D.J. A code for calculating band-structure dependent quantities. Comput. Phys. Commun. 2006, 175, 67–71. [Google Scholar] [CrossRef] [Green Version]
- Jendrzejewska, I.; Zajdel, P.; Maciążek, E.; Sozańska, M. Growth, structure and magnetic properties of ZnCr2Se4-single crystals doped by dysprosium. J. Cryst. Growth 2014, 401, 697–701. [Google Scholar] [CrossRef]
- Shakerzadeh, E. Electro-optical properties of bowl-like B36 cluster doped with the first-row transition metals: A DFT insight. Phys. E Low-Dimens. Syst. Nanostruct. 2019, 114, 113599. [Google Scholar] [CrossRef]
- Zhang, R.; Wang, Q.; Liang, J.; Li, Q.; Dai, J.; Li, W. Optical properties of N and transition metal R (R= V, Cr, Mn, Fe, Co, Ni, Cu, and Zn) codoped anatase TiO2. Phys. B Condens. Matter 2012, 407, 2709–2715. [Google Scholar] [CrossRef]
- Guo, J.; Liao, X.; Lee, M.-H.; Hyett, G.; Huang, C.-C.; Hewak, D.W.; Mailis, S.; Zhou, W.; Jiang, Z. Experimental and DFT insights of the Zn-doping effects on the visible-light photocatalytic water splitting and dye decomposition over Zn-doped BiOBr photocatalysts. Appl. Catal. B Environ. 2019, 243, 502–512. [Google Scholar] [CrossRef] [Green Version]
- She, A.Q.; Gupta, D.C. Comprehensive DFT investigation of transition-metal-based new quaternary Heusler alloys CoNbMnZ (Z = Ge, Sn): Compatible for spin-dependent and thermoelectric applications. RSC Adv. 2020, 10, 43870–43881. [Google Scholar]
- Laref, A.; Madkhali, N.; Alqahtani, H.; Wu, X.; Laref, S. Electronic structures and optical spectroscopies of 3d-transition metals-doped melanin for spintronic devices application. J. Magn. Magn. Mater. 2019, 491, 165513. [Google Scholar] [CrossRef]
- Woods-Robinson, R.; Han, Y.; Zhang, H.; Ablekim, T.; Khan, I.; Persson, K.A.; Zakutayev, A. Wide band gap chalcogenide semiconductors. Chem. Rev. 2020, 120, 4007–4055. [Google Scholar] [CrossRef] [PubMed]
- Islam, M.; Sarker, M.; Nakamura, T.; Khan, M.; Khan, F.; Rahman, M.; Sato, S. Structural, electronic and magnetic properties of L10 ordered CoPt nanoparticles: An experimental and DFT study. Mater. Chem. Phys. 2021, 269, 124727. [Google Scholar] [CrossRef]
- Hossain, A.; Sarker, M.; Khan, M.; Rahman, M. Spin effect on electronic, magnetic and optical properties of spinel CoFe2O4: A DFT study. Mater. Sci. Eng. B 2020, 253, 114496. [Google Scholar] [CrossRef]
- Jia, T.-T.; Feng, Z.; Guo, S.; Zhang, X.; Zhang, Y. Screening Promising Thermoelectric Materials in Binary Chalcogenides through High-Throughput Computations. ACS Appl. Mater. Interfaces 2020, 12, 11852–11864. [Google Scholar] [CrossRef]
- Vu, D.V.; Le, D.H.; Nguyen, C.X.; Trinh, T.Q. Comparison of structural and electric properties of ZnO-based n-type thin films with different dopants for thermoelectric applications. J. Sol-Gel Sci. Technol. 2019, 91, 146–153. [Google Scholar]
- Zahra, R.; Jacob, J.; Bano, N.; Ali, A.; Mahmood, K.; Ikram, S.; Hussain, S. Effect of secondary phases on the thermoelectric properties of Zn2GeO4 nanocrystals grown by thermal evaporation on Au coated Si substrate. Phys. B Condens. Matter 2019, 564, 143–146. [Google Scholar] [CrossRef]
- Seh, A.Q.; Gupta, D.C. Exploration of highly correlated Co-based quaternary Heusler alloys for spintronics and thermoelectric applications. Int. J. Energy Res. 2019, 43, 8864–8877. [Google Scholar] [CrossRef]
- Huma, M.; Rashid, M.; Mahmood, Q.; Algrafy, E.; Kattan, N.A.; Laref, A.; Bhatti, A.S. Physical properties of lead free double perovskites A2SnI6 (A= Cs, Rb) using ab-initio calculations for solar cell applications. Mater. Sci. Semicond. Process. 2012, 121, 105313. [Google Scholar] [CrossRef]
- Sabir, B.; Murtaza, G.; Mahmood, Q.; Ahmad, R.; Bhamu, K. First principles investigations of electronics, magnetic, and thermoelectric properties of rare earth based PrYO3 (Y = Cr, V) perovskites. Curr. Appl. Phys. 2017, 17, 1539–1546. [Google Scholar] [CrossRef]
- Mahmood, Q.; Hassan, M.; Noor, N.A. Systematic study of room temperature ferromagnetism and optical response of Zn1-xTMxS/Se (TM = Mn, Fe, Co, Ni) ferromagnets: First principle approach. J. Phys. Condn. Matt. Phys. 2016, 28, 506001. [Google Scholar] [CrossRef] [PubMed]
- Zhang, C.W.; Yan, S. Nonvolatile, reversible electric-field controlled switching of remanent magnetization in multifunctional ferromagnetic/ferroelectric hybrids. J. Appl. Phys. 2010, 107, 043913. [Google Scholar] [CrossRef]
- Saini, H.S.; Singh, M.; Reshak, A.H.; Kashyap, M.K. A first principles study of half-metallic ferromagnetism in In1-xTixP (x = 0.06) diluted magnetic semiconductor. J. Magn. Magn. Mater. 2013, 331, 130007. [Google Scholar]
- Bai, Z.Q.; Lu, Y.H.; Shen, L.; Ko, V.; Han, G.C.; Feng, Y.P. Transport properties of high-performance all-Heusler Co2CrSi/Cu2CrAl/Co2CrSi giant magnetoresistance device. J. Appl. Phys. 2012, 111, 093911. [Google Scholar] [CrossRef]
- Choi, H.C.; Shim, J.H.; Min, B.I. Electronic structures, and magnetic properties of spinel Zn Mn2O4 under high pressure. Phys. Rev. B 2006, 74, 172103. [Google Scholar] [CrossRef] [Green Version]
- Leoni, S.; Yaresko, A.N.; Perkins, N.; Rosner, H.; Craco, L. Orbital-spin order and the origin of structural distortion in MgTi2O4. Phys. Rev. B 2008, 78, 125105. [Google Scholar] [CrossRef] [Green Version]
- Walsh, A.; Wei, S.-H.; Yan, Y.; Al-Jassim, M.M.; Turner, J.A.; Woodhouse, M.; Parkinson, B.A. Structural, magnetic, and electronic properties of the Co-Fe-Al oxide spinel system: Density-functional theory calculations. Phys. Rev. B 2007, 76, 165119. [Google Scholar] [CrossRef]
- Dalpian, G.M.; Wei, S.H. Electron-mediated ferromagnetism, and negative s−d exchange splitting in semiconductors. Phys. Rev. B 2006, 73, 245204. [Google Scholar] [CrossRef]
- Mahmood, Q.; Hassan, M.; Ahmad, S.; Bhamu, K.; Mahmood, A.; Ramay, S.M. Study of electronic, magnetic, and thermoelectric properties of AV2O4 (A = Zn, Cd, Hg) by using DFT approach. J. Phys. Chem. Solids 2019, 128, 283–290. [Google Scholar] [CrossRef]
- Mahmood, Q.; Hassan, M.; Algrafy, E.; Haq, B.U.; Kattan, N.A.; Murtaza, G.; Laref, A. Theoretical investigations of optoelectronic and thermoelectric properties of the XIn2O4 (X = Mg, Zn, Cd) spinel oxides. J. Phys. Chem. Solids 2020, 144, 109481. [Google Scholar] [CrossRef]
- Liu, C.; Morelli, D.T. The Theoretical Investigation of Electronic, Magnetic, and Thermoelectric Behavior of LiZ2O4 (Z = Mn, Fe, Co, and Ni) by Modified Becke and Johnson Approach. J. Elect. Mat. 2011, 40, 678. [Google Scholar] [CrossRef]
- Singh, S.; Maurya, R.K.; Pandey, S.K. Investigation of thermoelectric properties of ZnV2O4 compound at high temperatures. J. Phys. D Appl. Phys. 2016, 49, 425601. [Google Scholar] [CrossRef] [Green Version]
- Ramachandran, T.; Rajeevan, N.E.; Pradyumnan, P.P. Enhanced Thermoelectric Properties of BiCoO3 by Nickel Substitution. Mater. Sci. Appl. 2013, 4, 816. [Google Scholar]





| Composition | a (Å) | B (GPa) | Ecoh | ΔHf (eV) | Tc (K) |
|---|---|---|---|---|---|
| ZnX2Se4 | |||||
| X = Ti | 10.69 | 69.81 | 4.20 | −1.69 | 250 |
| X = V | 10.61 | 75.48 | 3.18 | −1.32 | 290 |
| X = Cr | 10.57, 10.48 [24] | 78.40 | 2.70 | −1.21 | 305 |
| Composition | (ΔEcrystal) eV | Δx(d) eV | Δx(pd) eV | Noα | Noβ |
|---|---|---|---|---|---|
| ZnX2Se4 | |||||
| X = Ti | 1.44 | 2.51 | −0.338 | 1.041 | −1.069 |
| X = V | 2.62 | 3.50 | −0.195 | 0.182 | 0.210 |
| X = Cr | 1.69 | 2.08 | −0.379 | 0.531 | −0.306 |
| Compound | Magnetic Moments (in Terms of Bohr Magnetron, µB) | |||
|---|---|---|---|---|
| Total | Zn-Site | X-Site | S/Se-Site | |
| ZnX2Se4 | ||||
| X = Ti | 2.000 | 0.017 | 0.875 | −0.015 |
| X = V | 3.000 | 0.008 | 1.964 | −0.068 |
| X = Cr | 4.000, 5.47 [24] | 0.004 | 2.970 | −0.057 |
Publisher’s Note: MDPI stays neutral with regard to jurisdictional claims in published maps and institutional affiliations. |
© 2021 by the authors. Licensee MDPI, Basel, Switzerland. This article is an open access article distributed under the terms and conditions of the Creative Commons Attribution (CC BY) license (https://creativecommons.org/licenses/by/4.0/).
Share and Cite
Al-Qhtani, M.; Mustafa, G.M.; Mazhar, N.; Bouzgarrou, S.; Mahmood, Q.; Mera, A.; Zaki, Z.I.; Mostafa, N.Y.; Alotaibi, S.H.; Amin, M.A. Half Metallic Ferromagnetism and Transport Properties of Zinc Chalcogenides ZnX2Se4 (X = Ti, V, Cr) for Spintronic Applications. Materials 2022, 15, 55. https://doi.org/10.3390/ma15010055
Al-Qhtani M, Mustafa GM, Mazhar N, Bouzgarrou S, Mahmood Q, Mera A, Zaki ZI, Mostafa NY, Alotaibi SH, Amin MA. Half Metallic Ferromagnetism and Transport Properties of Zinc Chalcogenides ZnX2Se4 (X = Ti, V, Cr) for Spintronic Applications. Materials. 2022; 15(1):55. https://doi.org/10.3390/ma15010055
Chicago/Turabian StyleAl-Qhtani, Mohsen, Ghulam M. Mustafa, Nasheeta Mazhar, Sonia Bouzgarrou, Qasim Mahmood, Abeer Mera, Zaki I. Zaki, Nasser Y. Mostafa, Saad H. Alotaibi, and Mohammed A. Amin. 2022. "Half Metallic Ferromagnetism and Transport Properties of Zinc Chalcogenides ZnX2Se4 (X = Ti, V, Cr) for Spintronic Applications" Materials 15, no. 1: 55. https://doi.org/10.3390/ma15010055
APA StyleAl-Qhtani, M., Mustafa, G. M., Mazhar, N., Bouzgarrou, S., Mahmood, Q., Mera, A., Zaki, Z. I., Mostafa, N. Y., Alotaibi, S. H., & Amin, M. A. (2022). Half Metallic Ferromagnetism and Transport Properties of Zinc Chalcogenides ZnX2Se4 (X = Ti, V, Cr) for Spintronic Applications. Materials, 15(1), 55. https://doi.org/10.3390/ma15010055

