Structure and Magnetic Properties of Intermetallic Rare-Earth-Transition-Metal Compounds: A Review
Abstract
1. Introduction
2. Overview of Synthesis Methods for Improved Magnetic Properties
2.1. Methods for Synthesis of Intermetallic Compounds
2.2. Methods for Insertion of Light Elements in the Intermetallics
- (i)
- (ii)
- (iii)
- high-energy ball milling from metallic elements, and reaction with a gaseous hydrocarbon [54].
3. Structure Analysis
3.1. ThZn-Type Structure
3.2. ThMn-Type Structure
4. Intrinsic Magnetic Properties
4.1. Curie Temperature
- – () exchange interaction between the magnetic moments of the transition-metal atom sublattice;
- –() exchange between – magnetic moments of Sm lattice atoms;
- – () exchange between the two – sublattices.
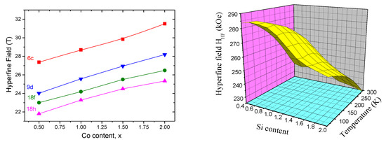
4.2. Hyperfine Parameters
4.3. DFT Calculation
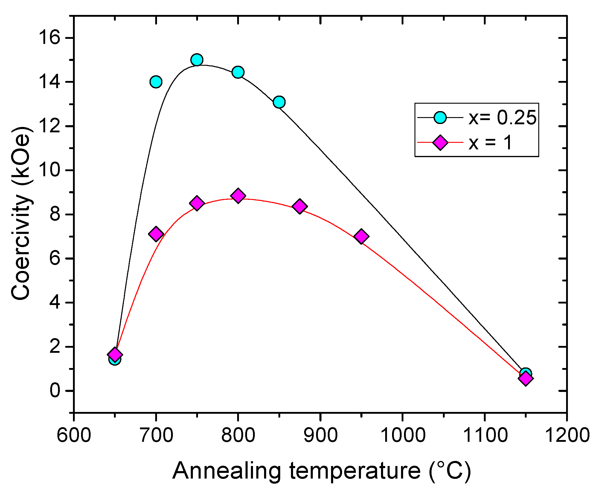
5. Extrinsic Magnetic Properties
6. Conclusions
Funding
Institutional Review Board Statement
Informed Consent Statement
Data Availability Statement
Acknowledgments
Conflicts of Interest
Abbreviations
| DFT | Density Functional Theory |
| Isomer shift | |
| HEBM | High-energy ball milling |
| HRTEM | High-resolution transmission electron microscopy |
| Hyperfine field | |
| Coercivity | |
| Remanent magnetization | |
| Saturation magnetization | |
| R | Rare-earth |
| Annealing temperature | |
| Curie temperature | |
| WSC | Wigner-Seitz cell |
| XRD | X-ray Diffraction |
References
- Buschow, K.H.J. New developments in hard magnetic materials. Rep. Prog. Phys. 1991, 54, 1123. [Google Scholar] [CrossRef]
- Burzo, E. Exchange Interactions and Transition Metal Moments in Rare-Earth Compounds. J. Synchrotron Investig. 2018, 12, 431–435. [Google Scholar] [CrossRef]
- Zhang, Y. Review of the structural, magnetic and magnetocaloric properties in ternary rare earth RE2T2X type intermetallic compounds. J. Alloys Compd. 2019, 787, 1173–1186. [Google Scholar] [CrossRef]
- Wang, Y.; Guo, D.; Wu, B.; Geng, S.; Zhang, Y. Magnetocaloric effect and refrigeration performance in RE60Co20Ni20 (RE = Ho and Er) amorphous ribbons. J. Magn. Magn. Mater. 2020, 498, 166179. [Google Scholar] [CrossRef]
- Li, L.; Yan, M. Recent progresses in exploring the rare earth based intermetallic compounds for cryogenic magnetic refrigeration. J. Alloys Compd. 2020, 823, 153810. [Google Scholar] [CrossRef]
- Yin, L.; Parker, D.S. Effect of atom substitutions on the magnetic properties in Ce2Fe17: Toward permanent magnet applications. J. Appl. Phys. 2021, 129, 103902. [Google Scholar] [CrossRef]
- Givord, D.; Lemaire, R. Magnetic Tranition and Anomalous Thermal-Expansion in R2Fe17 Compounds. IEEE Trans. Magn. 1974, MAG-10, 109. [Google Scholar] [CrossRef]
- Coey, J.M.D.; Sun, H. Improved Magnetic Properties by Treatment of Iron-Based Rare-Earth Intermetallic Compounds in Ammonia. J. Magn. Magn. Mater. 1990, 87, L251–L254. [Google Scholar] [CrossRef]
- Rodríguez-Carvajal, J.; Fernandez-Diaz, M.T.; Martinez, J.L. Neutron-Diffraction Study on Structural and Magnetic Properties of La2NiO4. J. Phys. Condens. Matter 1991, 3, 3215. [Google Scholar] [CrossRef]
- Wang, Z.; Dunlap, R.A. Effects of Al Substitutions on the Magnetic Anisotropy of Sm2Fe17 Compounds. J. Phys. Condens. Matter 1993, 5, 2407. [Google Scholar] [CrossRef]
- Valeanu, M.; Plugaru, N.; Burzo, E. Effect of Nitrgenation on the Magnetic Properties of Y2Fe17−xMx Compounds, with M = Al, Ga or Si. Solid State Commun. 1994, 89, 519–522. [Google Scholar] [CrossRef]
- Shen, B.G.; Liang, B.; Wang, F.W.; Cheng, Z.H.; Gong, H.Y.; Zhang, S.Y.; Zhang, J.X. Magnetic Properties of Sm2Fe17−xSix and Sm2Fe17−xSixC Compounds. J. Appl. Phys. 1995, 77, 2637. [Google Scholar] [CrossRef]
- Shen, B.G.; Cheng, Z.H.; Liang, B.; Guo, H.Q.; Zhang, J.X.; Gong, H.Y.; Wang, F.W.; Yan, Q.W.; Zhan, W.S. Structure and Magnetocrystalline Anisotropy of R2Fe17−xGax Compounds with Higher Ga Concentration. Appl. Phys. Lett. 1995, 67, 1621. [Google Scholar] [CrossRef]
- Middleton, D.P.; Mishra, S.R.; Long, G.J.; Pringle, O.A.; Hu, Z.; Yelon, W.B.; Grandjean, F.; Buschow, K.H.J. Magnetic, Neutron Diffraction, and Mossbauer Spectral Study of the Ce2Fe17−xSix Solid Solutions. J. Appl. Phys. 1995, 78, 5568–5576. [Google Scholar] [CrossRef]
- Sabirianov, R.F.; Jaswal, S.S. Electronic structure and magnetism in Sm2Fe17−xAx (A=Al,Ga,Si). J. Appl. Phys. 1996, 79, 5942. [Google Scholar] [CrossRef]
- Yelon, W.B.; Hu, Z.; James, W.J.; Marasinghe, G.K. Site affinity of substituents in Nd2Fe17?xTx (T=Cu,Zr,Nb,Ti,V) alloys. J. Appl. Phys. 1996, 79, 5939. [Google Scholar] [CrossRef]
- Koch, E.; Fischer, W. DIDO95 and VOID95-Programs for the calculation of Dirichlet domains and coordination polyhedra. Z. Kristallogr. 1996, 211, 251. [Google Scholar] [CrossRef]
- Dunlap, R.A.; MacKay, G.R.; Wang, Z. A Mossbauer effect investigation of site preferences and Fe environments in Ga-substituted Sm2Fe17 compounds. J. Alloys Compd. 1997, 260, 28–31. [Google Scholar] [CrossRef]
- Girt, E.; Altounian, Z.; Yang, J. Structural and magnetic properties of Nd2Fe17−δCrδ (δ = 0, 0.5, 1, 1.9). J. Appl. Phys. 1997, 8, 5118. [Google Scholar] [CrossRef]
- Burzo, E. Permanent magnets based on R-Fe-B and R-Fe-C alloys. Rep. Prog. Phys. 1998, 61, 1099. [Google Scholar] [CrossRef]
- Forker, M.; Julius, A.; Shulte, M.; Best, D. Mossbauer study of the hyperfine interaction of Fe-57 in Y1−sCo5+2s and related compounds. Phys. Rev. B 1998, 57, 11565. [Google Scholar] [CrossRef]
- Givord, D.; Courtois, D. Exchange interactions in R-M intermetallics. J. Magn. Magn. Mater. 1999, 196, 684. [Google Scholar] [CrossRef]
- Djega-Mariadassou, C.; Bessais, L. Emergence of order in nanocrystalline SmFe9. J. Magn. Magn. Mater. 2000, 210, 81. [Google Scholar] [CrossRef]
- Teresiak, A.; Kubis, M.; Mattern, N.; Müller, K.H.; Wolf, B. Crystal structure of Sm2Fe17−yMy compounds with M = Al, Si, Ga. J. Alloys Compd. 2001, 319, 168. [Google Scholar] [CrossRef]
- Bessais, L.; Djega-Mariadassou, C. Structure and magnetic properties of nanocrystalline Sm(Fe1−xCox)11Ti (x≤2). Phys. Rev. B 2001, 63, 54412. [Google Scholar] [CrossRef]
- Bessais, L.; Djega-Mariadassou, C.; Koch, E. Structural and Mossbauer spectral study of the metastable phase Sm(Fe, Co, Ti)10. J. Phys. Condens. Matter 2002, 14, 8111. [Google Scholar] [CrossRef]
- Bessais, L.; Djega-Mariadassou, C.; Nandra, A.; Appay, M.D.; Burzo, E. Hard magnetic Sm(Fe,Si)9 carbides: Structured and magnetic properties. Phys. Rev. B 2004, 69, 64402. [Google Scholar] [CrossRef]
- Bessais, L.; Djega-Mariadassou, C.; Tung, D.K.; Hong, V.V.; Phuc, N.X. A 57Fe Mossbauer study of nanostructured Sm2Fe17−xCoxC3. J. Alloys Compd. 2008, 455, 35. [Google Scholar] [CrossRef]
- Khazzan, S.; Mliki, N.; Bessais, L. Structure and magnetic properties of nanocrystalline Sm1−s(Fe,Mo)5+2s. J. Appl. Phys. 2009, 105, 103904. [Google Scholar] [CrossRef]
- Khazzan, S.; Mliki, N.; Bessais, L.; Djega-Mariadassou, C. Rare-earth iron-based intermetallic compounds and their carbides: Structure and magnetic behaviors. J. Magn. Magn. Mater. 2010, 322, 224–229. [Google Scholar] [CrossRef]
- Galler, A.; Ener, S.; Maccari, F.; Dirba, I.; Skokov, K.P.; Gutfleisch, O.; Biermann, S.; Pourovskii, L.V. Intrinsically weak magnetic anisotropy of cerium in potential hard-magnetic intermetallics. NPJ Quantum Mater. 2021, 2, 6. [Google Scholar] [CrossRef]
- Opelt, K.; Ahmad, T.; Diehl, O.; Schonfeldt, M.; Brouwer, E.; Vogel, I.; Rossa, J.D.; Gassmann, J.; Ener, S.; Gutfleisch, O. Upscaling the 2-Powder Method for the Manufacturing of Heavy Rare-Earth-Lean Sintered didymium-Based Magnets. Adv. Eng. Mater. 2021, 23, 2100459. [Google Scholar] [CrossRef]
- Dirba, I.; Sepehri-Amin, H.; Skokov, K.; Skourski, Y.; Hono, K.; Gutfleisch, O. Magnetic properties and microstructure of Sm5Fe17-based composite magnets. Acta Mater. 2021, 212, 116912. [Google Scholar] [CrossRef]
- Hosokawa, A.; Suzuki, K.; Yamaguchi, W.; Takagi, K. Mechanism of anomalous α-Fe formation from stoichiometric Sm2Fe17 jet-milled powder during post-pulverization annealing. Acta Mater. 2021, 213, 116981. [Google Scholar] [CrossRef]
- Ener, S.; Skokov, K.P.; Palanisamy, D.; Devillers, T.; Fischbacher, J.; Eslava, G.G.; Maccari, F.; Schafer, L.; Diop, L.V.B.; Radulov, I.; et al. Twins—A weak link in the magnetic hardening of ThMn12-type permanent magnets. Acta Mater. 2021, 214, 116968. [Google Scholar] [CrossRef]
- Schafer, L.; Skokov, K.; Liu, J.; Maccari, F.; Braun, T.; Riegg, S.; Radulov, I.; Gassmann, J.; Merschroth, H.; Harbig, J.; et al. Design and Qualification of Pr-Fe-Cu-B Alloys for the Additive Manufacturing of Permanent Magnets. Adv. Funct. Mater. 2021, 31, 2102148. [Google Scholar] [CrossRef]
- Coey, J.M.D. Novel Permanent Magnetic Materials. Phys. Scr. 1991, T39, 21–28. [Google Scholar] [CrossRef]
- Coey, J.M.D. Perspective and Prospects for Rare Earth Permanent Magnets. Engineering 2020, 6, 119–131. [Google Scholar] [CrossRef]
- Kovacs, A.; Fischbacher, J.; Gusenbauer, M.; Oezelt, H.; Herper, H.C.; Vekilova, O.Y.; Nieves, P.; Arapan, S.; Schrefl, T. Computational Design of Rare-Earth Reduced Permanent Magnets. Engineering 2020, 6, 148–153. [Google Scholar] [CrossRef]
- Onoue, M.; Kobayashi, R.; Mitsui, Y.; Umetsu, R.Y.; Uwatoko, Y.; Koyama, K. Magnetic field-induced nitridation of Sm2Fe17. J. Alloys Compd. 2020, 835, 155193. [Google Scholar] [CrossRef]
- Liu, K.; Wang, S.H.; Feng, Y.L.; Zhang, Y.K. Research on Phases and Morphology of Sm2Fe17 Melt-Spun Ribbon. Rare Met. Mat. Eng. 2020, 49, 3796–3802. [Google Scholar]
- Dahal, J.N.; Ali, K.S.S.; Mishra, S.R.; Neupane, D. Effect of Ga and Zr Substitution on the Properties of Dy2Fe17−xZrx and Dy2Fe16Ga1−xZrx (0 ≤ x ≤ 1) Intermetallic Compounds Prepared via Arc Melting Process. Magnetochemistry 2020, 6, 9. [Google Scholar] [CrossRef]
- Chrobak, A.; Bajorek, A.; Chełkowska, G.; Haneczok, G.; Kwiencien, M. Magnetic properties and magnetocaloric effect of the Gd(Ni1−xFex)3 crystalline compound and powder. Phys. Stat. Sol. 2009, 206, 731–737. [Google Scholar]
- Phejar, M.; Paul-Boncour, V.; Bessais, L. Investigation on structural and magnetocaloric properties of LaFe13−xSix(H,C)y compounds. J. Solid State Chem. 2016, 233, 95–102. [Google Scholar] [CrossRef]
- Bajorek, A.; Berger, C.; Pruzik, K.; Zubko, M.K.; Wojtyniak, M.; Chełkowska, G. Novel Ho(Ni0.8Co0.2)3 nanoflakes produced by high energy ball-milling. Mater. Charcterisation 2017, 128, 45–53. [Google Scholar]
- Łopadczak, P.; Bajorek, A.; Prusik, K.; Zubko, M.; Chełkowska, G. Magnetic hardening induced in RCo5 (R = Y, Gd, Sm) by short HEBM. Acta Phyica Pol. A 2018, 55, 2100904. [Google Scholar]
- Bajorek, A.; Łopadczak, P.; Prusik, K.; Zubko, M.; Chełkowska, G. The comparison of magnetic properties at room temperature in RCo5 (R = Y, Sm, Gd) nanoflakes synthesized via time-staged HEBM. IEEE Trans. Magn. 2019, 55, 2100904. [Google Scholar]
- Bajorek, A.; Łopadczak, P.; Prusik, K.; Zubko, M. Correlation between Microstructure and Magnetism in Ball-Milled SmCo5/α-Fe (5%wt. α-Fe) Nanocomposite Magnets. Materials 2021, 14, 502. [Google Scholar] [CrossRef] [PubMed]
- Veselova, S.; Tereshina, I.; Verbetsky, V.; Neznakhin, D.; Tereshina-Chitrova, E.; Kaminskaya, T.; Karpenkov, A.; Akimova, O.; Gorbunov, D.; Savchenko, A. Structure and magnetic properties of (Sm,Ho)2Fe17Nx (x = 0; 2.4). J. Magn. Magn. Mater. 2020, 502, 166549. [Google Scholar] [CrossRef]
- Shen, B.G.; Wang, F.W.; Gong, H.Y.; Cheng, Z.H.; Liang, B.; Zhang, J.X.; Zhang, S.Y. Magnetic properties of Sm2Fe17−xGaxC2 compounds. J. Phys. Condens. Matter 1995, 7, 883. [Google Scholar] [CrossRef]
- van Lier, J.; Kubis, M.; Grünberger, W.; Shultz, L.; Kronmüller, H. High performance Sm2+δFe15Ga2C2 permanent magnets made by melt spinning and hot pressing. J. Appl. Phys. 1998, 83, 5549. [Google Scholar] [CrossRef]
- Kubis, M.; Eckert, D.; Gebel, B.; Müller, K.H.; Schultz, L. Intrinsic magnetic properties of Sm2Fe17−xMxNy/Cy (M = Al, Ga or Si). J. Magn. Magn. Mater. 2000, 217, 14. [Google Scholar] [CrossRef]
- Cao, L.; Handstein, A.; Gebel, B.; Schäfer, R.; Müller, K.H. Thermostability of Sm2(FeGa)17Cy prepared by gas-solid reaction (GSR). J. Appl. Phys. 1997, 81, 4539. [Google Scholar] [CrossRef]
- Schultz, L.; Schnitzke, K.; Wecker, J.; Katter, M.; Kuhrt, C. Permanent magnets by mechanical alloying. J. Appl. Phys. 1991, 70, 6339. [Google Scholar] [CrossRef]
- Christodoulou, C.N.; Takeshita, T. Preparation, structural and magnetic properties and stability of interstitial Sm2Fe17-carbonitrohydrides. J. Alloys Compd. 1993, 198, 1–24. [Google Scholar] [CrossRef]
- Mao, O.; Altounian, Z.; Yang, J.; Strom-Olsen, O. Thermal stability of nanostructured Sm2Fe17Cx compounds prepared by ball milling. J. Appl. Phys. 1996, 79, 5536. [Google Scholar] [CrossRef]
- Fersi, R.; Cabie, M.; Mliki, N.; Bessais, L. Impact of carbon insertion on the microstructure and magnetic properties of nanocrystalline Pr2Co7 alloys. J. Alloys Compd. 2013, 576, 415–423. [Google Scholar] [CrossRef]
- Bouzidi, W.; Mliki, N.; Bessais, L. Effect of carbonation on the structural, magnetic and magnetocaloric properties of uniaxial nanocrystalline Pr5Co19Cx compound. J. Magn. Magn. Mater. 2018, 466, 411–419. [Google Scholar] [CrossRef]
- Yamkane, Z.; Fersi, R.; Rachid, F.Z.; Moubah, R.; Lassri, H.; Mliki, N.; Alleg, S.; Sajieddine, M.; Bessais, L. Law of approach to magnetic saturation in nanocrystalline Pr2Co7Cx (x ≤ 1): Effects of carbonation. SPIN 2020, 10, 2050016. [Google Scholar] [CrossRef]
- Buschow, K.H.J.; Goot, A.S.V.D. Intermetallic compounds in the system samarium-cobalt. J. Less-Common. Met. 1968, 14, 323. [Google Scholar] [CrossRef]
- Givord, D.; Laforest, J.; Scweizer, J.; Tasset, F. Temperature dependence of the samarium magnetic form factor in SmCo5. J. Appl. Phys. 1979, 50, 2008. [Google Scholar] [CrossRef]
- Bartoli, T.; Joubert, J.M.; Provost, K.; Elkaim, E.; Paul-Boncour, V.; Monnier, J.; Moscovici, J.; Bessais, L. Site Occupancy Determination in Th2Zn17- and TbCu7-types Sm2Fe17−xCox Compounds using Synchrotron Resonant Diffraction. Inorg. Chem. 2021, 60, 1533–1541. [Google Scholar] [CrossRef] [PubMed]
- Shield, J.; Meacham, B.E. Phase formation in hypostoichiometric Sm2Fe17 alloys modified with Ti and C. J. Appl. Phys. 2000, 87, 2055. [Google Scholar] [CrossRef][Green Version]
- Meacham, B.E.; Shieldm, J.; Branagan, D. Order-disorder effects in nitrided Sm-Fe permanent magnets. J. Appl. Phys. 2000, 87, 6707. [Google Scholar] [CrossRef]
- Zheng, C.; Yu, D.; Li, K.; Luo, Y.; Jin, J.; Lu, S.; Li, H.; Mao, Y.; Quan, N. Effect of boron additions on phase formation and magnetic properties of TbCu7-type melt spun SmFe ribbons. J. Magn. Magn. Mater. 2016, 412, 89–94. [Google Scholar] [CrossRef]
- Yang, W.; Zha, L.; Lai, Y.; Qiao, G.; Du, H.; Liu, S.; Wang, C.; Han, J.; Yang, Y.; Hou, Y.; et al. Structural and magnetic properties of the R10Fe90−xSix alloys with R=Y, Ce,Pr, Nd, Sm, Gd, Tb, Dy, Ho, and Er. Intermetallics 2018, 90, 8–17. [Google Scholar] [CrossRef]
- Saito, T.; Miyoshi, H.; Nishio-Hamane, D. Magnetic properties of Sm-Fe-Ti nanocomposite magnets with a ThMn12 structure. J. Alloys Compd. 2012, 519, 144–148. [Google Scholar] [CrossRef]
- Luo, Y.; Zhang, K.; Li, K.S.; Yu, D.B.; Ling, J.J.; Men, K.; Dou, Q.Y.; Yan, W.L.; Xie, J.J.; Yang, Y.F. Structure and magnetic behaviors of melt-spun SmFeSiB ribbons and their nitrides. J. Magn. Magn. Mater. 2018, 405, 214–218. [Google Scholar] [CrossRef]
- Takagi, K.; Jinno, M.; Ozaki, K. Preparation of TbCu7-type Sm-Fe powders by low-temperature HDDR treatment. J. Magn. Magn. Mater. 2018, 454, 170–175. [Google Scholar] [CrossRef]
- Wu, G.; Li, H.; Yu, D.; Li, K.; Yan, W.; Yuan, C.; Sun, L.; Luo, Y.; Zhang, K. Effect of niobium substitution on microstructures and thermalstability of TbCu7-type Sm-Fe-N magnets. J. Rare Earths 2018, 36, 281–286. [Google Scholar] [CrossRef]
- Yan, W.; Quan, N.; Luo, Y.; Yu, D.; Wang, Z.; Wu, G.; Zhang, K. Structure and hard magnetic properties of TbCu7-type SmFe8.95−xGa0.26Nbx nitrides. J. Rare Earths 2018, 36, 165–169. [Google Scholar] [CrossRef]
- Saito, T.; Watanabe, F.; Nishio-Hamane, D. Magnetic properties of SmFe12-based magnets produced by sparkplasma sintering method. J. Alloys Compd. 2019, 773, 1018–1022. [Google Scholar] [CrossRef]
- de Mooij, D.B.; Buschow, K.H.J. Some novel ternary ThMn12-type compounds. J. Less-Common. Met. 1988, 136, 207. [Google Scholar] [CrossRef]
- Teatum, E.T.; Gschneidner, K.A.; Waber, J.T. Rep. LA-4003; Los Alamos Scientific Lab: Los Alamos, NM, USA, 1968. [Google Scholar]
- Nehdi, I.; Bessais, L.; Djega-Mariadassou, C.; Abdellaoui, M.; Zarrouk, H. X-ray and Mössbauer studies of Sm2Fe17−xCrx materials synthesized by 2 172x xmechanical alloying followed by an appropriate short annealing. J. Alloys Compd. 2003, 351, 24–30. [Google Scholar] [CrossRef]
- Schramm, L.; Acker, J.; Wetzig, K. Structural effects of Zr substitution in the 1:7- and 2:17-type structure. J. Alloys Compd. 2006, 414, 158–168. [Google Scholar] [CrossRef]
- Cadieu, F.J.; Hegde, H.; Navarathna, A.; Rani, R.; Chen, K. High-energy product ThMn12 Sm-Fe-T and Sm-Fe permanent magnets synthesized as oriented sputtered films. Appl. Phys. Lett. 1991, 59, 875. [Google Scholar] [CrossRef]
- Wang, D.; Liou, S.; He, P.; Sellmyer, D.; Hadjipanayis, G.; Zhang, Y. SmFe12 and SmFe12Nx films fabricated by sputtering. J. Magn. Magn. Mater. 1993, 124, 62. [Google Scholar] [CrossRef]
- Verhoef, R.; de Boer, F.; Zhi-dong, Z.; Buschow, K.H.J. Moment reduction in RFe12−xTx compounds (R=Gd, Y and T=Ti, Cr, V, Mo, W). J. Magn. Magn. Mater. 1988, 75, 319. [Google Scholar] [CrossRef]
- Buschow, K.H.J. Permanent magnet materials based on tetragonal rare earth compounds of the type RFe12−xMx. J. Magn. Magn. Mater. 1991, 100, 79. [Google Scholar] [CrossRef]
- Cizmas, C.B.; Djega-Mariadassou, C.; Bessais, L. Effect of Si content on magnetic properties and intersublattice exchange interactions in GdFe11−xSixTi compounds. J. Magn. Magn. Mater. 2001, 226–230, 1171–1173. [Google Scholar] [CrossRef]
- Bessais, L.; Sab, S.; Djega-Mariadassou, C.; Greneche, J.M. Crystallographic and hyperfine parameters of PrTi(Fe,Co)11 and their carbides. Phys. Rev. B 2002, 66, 054430. [Google Scholar] [CrossRef]
- Bouzidi, W.; Bartoli, T.; Sedek, R.; Bouzidi, A.; Moscovici, J.; Bessais, L. Low Field Magnetocaloric Effect of NdFe11Ti and SmFe10V2 Compounds. J. Mater. Sci. Mater. Electron. 2021, 32, 10579–10586. [Google Scholar] [CrossRef]
- Bouhbou, M.; Moubah, R.; Hlil, E.; Lassri, H.; Bessais, L. Electronic structure, hyperfine parameters and magnetic properties of RFe11Ti intermetallic compounds (R = Y, Pr): Ab initio calculations, SQUIDmagnetometry and Mössbauer studies. J. Magn. Magn. Mater. 2021, 518, 167362. [Google Scholar] [CrossRef]
- Khazzan, S.; Bessais, L.; Tendeloo, G.V.; Mliki, N. Correlation of nanocrystalline Sm(Fe,Mo)12 and its out of equilibrium phase Sm(Fe,Mo)10. J. Magn. Magn. Mater. 2014, 363, 125–132. [Google Scholar] [CrossRef]
- Saidi, M.; Walha, S.; Hlil, E.; Bessais, L.; Jemmali, M. Effect of chromium substitution on structural, magnetic and magnetocaloric properties of GdFe12−xCrx intermetallic compounds, Mössbauerspectrometry and ab initio calculations. J. Solid State Chem. 2021, 297, 122019. [Google Scholar] [CrossRef]
- de Boer, F.R.; Huang, Y.K.; de Mooij, D.B.; Buschow, K.H.J. Magnetic properties of a series of novel ternary intermetallics (RFe10V2). J. Less-Common. Met. 1987, 135, 139. [Google Scholar] [CrossRef]
- Nan-xian, C.; Shi-qiang, H.; Yu, W.; Jiang, S. Phase stability and site preference of Sm(Fe,T)12. J. Magn. Magn. Mater. 2001, 233, 169–180. [Google Scholar] [CrossRef]
- Buschow, K.H.J. Structure and properties of some novel ternary Fe-rich rare-earth intermetallics. J. Appl. Phys. 1988, 63, 3130–3135. [Google Scholar] [CrossRef]
- Tang, S.L.; Yang, C.P.; Wang, B.W.; Jin, X.M.; Zhang, S.Y.; Du, Y.W. Structure and magnetic properties of PrFe11.5−xVxTi0.5 compounds and their nitrides. J. Magn. Magn. Mater. 1998, 189, 341–345. [Google Scholar] [CrossRef]
- Tang, S.L.; Yin, J.H.; Jin, Z.Q.; Zhang, J.R.; Zhang, S.Y.; Du, Y.W. Structure and magnetic properties of PrFe10VxMo2−x compounds and their nitrides. J. Appl. Phys. 1999, 85, 4687–4689. [Google Scholar] [CrossRef]
- Tomey, E.; Bacmann, M.; Fruchart, D.; Soubeyroux, J.L.; Gignoux, D. Influence of hydrogen on the structural and magnetic properties of the RFe10.5Mo1.5 compounds (R=rare earth). J. Alloys Compd. 1995, 231, 195–200. [Google Scholar] [CrossRef]
- Cizmas, C.B.; Djega-Mariadassou, C.; Bessais, L. Magnetic properties of GdFe11−xSixTi. J. Alloys Compd. 2002, 345, 27–35. [Google Scholar] [CrossRef]
- Li, Z.W.; Morrish, A.H. Negative exchange interactions and Curie temperatures for Sm2Fe17−x and Sm2Fe17−xNy. Phys. Rev. B 1997, 55, 3670. [Google Scholar] [CrossRef]
- Burzo, E.; Laforest, J.; Plugaru, N.; Valeanu, M.; Stanciu, L. Magnetic properties of Gd2Fe14−xMx compounds with M= Ni, Si, Cu or V. IEEE Trans. Magn. 1994, 30, 625. [Google Scholar] [CrossRef]
- Djega-Mariadassou, C.; Bessais, L.; Nandra, A.; Grenèche, J.M.; Burzo, E. Structure and hyperfine properties of Sm2(Fe,Si)17. Phys. Rev. B 2001, 65, 14419. [Google Scholar] [CrossRef]
- Bessais, L.; Dorolti, E.; Djega-Mariadassou, C. Correlation between Sm2(Fe,Ga)17 and its precursor Sm(Fe,Ga)9. J. Appl. Phys. 2005, 87, 013902. [Google Scholar] [CrossRef]
- Bessais, L.; Younsi, K.; Khazzan, S.; Mliki, N. X-ray and intrinsic magnetic properties of nanocrystalline Sm2(Fe,M)17 (M = Si,Ga, Co, Cr, Zr or Mo). Intermetallics 2011, 19, 997–1004. [Google Scholar] [CrossRef]
- Hu, B.P.; Li, H.S.; Sun, H.; Coey, J.M.D. A 57Fe Mossbauer study of a new series of rare-earth iron nitrides: R2Fe17N3-δ. J. Phys. Condens. Matter 1991, 3, 3983–3995. [Google Scholar] [CrossRef]
- Bouchaala, N.; Jemmali, M.; Bartoli, T.; Nouri, K.; Hentech, I.; Walha, S.; Bessais, L.; Salah, A.B. Influence of Fe-substitution on structural, magnetic and magnetocaloric properties of Nd2Fe17−xCox solid solutions. J. Solid State Chem. 2018, 258, 501–509. [Google Scholar] [CrossRef]
- Saidi, M.; Nouri, K.; Walha, S.; Dhahri, E.; Kabadou, A.; Jemmali, M.; Bessais, L. Structural, Magnetic, Magnetocaloric and Mossbauer Spectrometry Study of Gd2Fe17−xCux (x = 0, 0.5, 1 and 1.5) Compounds. J. Electron. Mater. 2019, 48, 2242–2253. [Google Scholar] [CrossRef]
- Charfeddine, S.; Zehani, K.; Bessais, L.; Korchef, A. Structural, magnetic, magneto-caloric and Mössbauer spectral study of Tb2Fe17 compound synthesized by arc melting. J. Solid State Chem. 2016, 238, 15–20. [Google Scholar] [CrossRef]
- Grandjean, F.; Isnard, O.; Long, G.J. Magnetic and Mossbauer spectral evidence for the suppression of the magnetic spin reorientationin Tm2Fe17 by deuterium. Phys. Rev. B 2002, 65, 064429. [Google Scholar] [CrossRef]
- Grandjean, F.; Isnard, O.; Hautot, D.; Long, G.J. Structural, magnetic, and Mossbauer spectral study of Er2Fe17 and its hydrides. Phys. Rev. B 2000, 63, 014406. [Google Scholar] [CrossRef]
- Sanchez, H.M.; Salazar, D.; Zamora, L.E.; Hernandez, J.S.T.; Tabares, J.A.; Alcazar, G.A.P. Mössbauer spectroscopy in the system (Nd1−xCex)1.1Fe10CoTi with ThMn12 structure. Hyperfine Interact. 2020, 241, 44. [Google Scholar] [CrossRef]
- Gjoka, M.; Psycharis, V.; Devlin, E.; Niarchos, D.; Hadjipanayis, G. Effect of Zr substitution on the structural and magnetic properties of the series Nd1−xZrxFe10Si2 with the ThMn12 type structure. J. Alloys Compd. 2016, 687, 240–245. [Google Scholar] [CrossRef]
- Aubert, A.; Madugundo, R.; Schönhöbel, A.M.; Salazar, D.; Garitaonandia, J.S.; Barandiaran, J.M.; Hadjipanayis, G. Structural and magnetic properties of Nd-Fe-Mo-(N) melt-spun ribbons with ThMn12 structure. Acta Mater. 2020, 195, 519–526. [Google Scholar] [CrossRef]
- Harashima, Y.; Terakura, K.; Kino, H.; Ishibashi, S.; Miyake, T. First-principles study on stability and magnetism of NdFe11M and NdFe11MN for M = Ti, V, Cr, Mn, Fe, Co, Ni, Cu, Zn. J. Appl. Phys. 2016, 120, 203904. [Google Scholar] [CrossRef]
- Harashima, Y.; Fukazawa, T.; Kino, H.; Miyake, T. Effect of R-site substitution and the pressure on stability of RFe12: A first-principles study. J. Appl. Phys. 2018, 124, 163902. [Google Scholar] [CrossRef]
- Yamashita, S.; Suzuki, D.; Yoshioka, T.; Tsuchiura, H.; Novak, P. Finite-temperature magnetic properties of Sm2Fe17Nx using an ab initio effective spin model. Phys. Rev. B 2020, 102, 214439. [Google Scholar] [CrossRef]
- Ogura, M.; Mashiyama, A.; Akai, H. Role of N in the Permanent Magnet Material Sm2Fe17Nx. J. Phys. Soc. Jpn. 2015, 84, 084702. [Google Scholar] [CrossRef]
- Moze, O.; Buschow, K.H.J. Magnetic structure and preferred site occupation of Cr in the compound YFe10Cr2. J. Alloys Compd. 1996, 233, 165. [Google Scholar] [CrossRef]
- Dirba, I.; Harashima, Y.; Sepehri-Amin, H.; Ohkubo, T.; Miyake, T.; Hirosawa, S.; Hono, K. Thermal decomposition of ThMn12-type phase and its optimum stabilizing elements in SmFe12-based alloys. J. Alloys Compd. 2020, 813, 152224. [Google Scholar] [CrossRef]
- Sikora, M.; Bajorek, A.; Chrobak, A.; Deniszczyk, J.; Ziółkowski, G.; Chełkowska, G. Magnetic Properties and the Electronic Structure of the Gd0.4Tb0.6Co2 Compound. Materials 2020, 13, 5481. [Google Scholar] [CrossRef]
- Ma, H.F.; Huang, Z.; Chen, B.; Qiang, W.R.; Pan, M. The stabilization effect of substituted atoms and magnetism for intermetallic compounds YFe12−xCrx. Chin. Phys. B 2009, 18, 1991–2005. [Google Scholar]
- Ma, H.F.; Huang, Z.; Chen, B.; Qiang, W.R.; Sun, G.A. The stabilization effect of the substituted atoms and the magnetism for intermetallic compounds YFe12−xVx. Sci. China 2010, 53, 1239–1243. [Google Scholar]
- Pal, A.; Gabay, A.; Hadjipanayis, G.C. Mechanochemical synthesis of Nd2Fe14B alloy with high coercivity. J. Alloys Compd. 2012, 543, 31–33. [Google Scholar] [CrossRef]
- Zhong, Y.; Chaudhary, V.; Tan, X.; Parmar, H.; Ramanujan, R. Kinetic study of the mechanochemical synthesis of Nd2(Fe,Co)14B hardmagnetic nanoparticles. J. Alloys Compd. 2018, 747, 755–763. [Google Scholar] [CrossRef]
- Zhu, K.; Xu, J.; Wang, X.; Li, W.; Tian, K.; Hou, Y. Chemical synthesis and coercivity enhancement of Nd2Fe14B nanostructures mediated by non-magnetic layer. Nano Res. 2020, 13, 1141–1148. [Google Scholar] [CrossRef]
- Younsi, K.; Russier, V.; Bessais, L. Structure and magnetic properties of nanocrystalline PrCo3. J. Appl. Phys. 2010, 107, 083916. [Google Scholar] [CrossRef]
- Fersi, R.; Mliki, N.; Bessais, L.; Guetari, R.; Russier, V.; Cabié, M. Effect of annealing on structural and magnetic properties of Pr2Co7 compounds. J. Alloys Compd. 2012, 522, 14–18. [Google Scholar] [CrossRef]
- Bouzidi, W.; Mliki, N.; Bessais, L. Structural and magnetic properties of new uniaxial nanocrystallinePr5Co19 compound. J. Magn. Magn. Mater. 2017, 441, 566–571. [Google Scholar] [CrossRef]












| Atomic | Occup. | |||||
|---|---|---|---|---|---|---|
| Position | CaCu | 2/17 | 1/12 | |||
| R() 0,0,0 | 1 | 0.97 | 0.66 | 0.5 | ||
| T() | 2 | 2 | 1.92 | 0 | 0 | 0 |
| T() | 6s | 0 | 0.18 | 2 | 2 | 2 |
| T() | 3 | 3 | 3 | 3 | 3 | 3 |
| T() | 2s | 0 | 0.06 | 0.66 | 2s | 1 |
| Atom | Wyckoff Position |
|---|---|
| Sm | (0,0,z) |
| Fe1 | (0,0,z) |
| Fe2 | (,0,) |
| Fe3 | (x,0,0) |
| Fe4 | (x,x,z) |
| Alloy | a(Å) | c(Å) | Sm | Fe | V(Å) | R | ||||
|---|---|---|---|---|---|---|---|---|---|---|
| SmFe | 8.558 | 12.441 | 0.291 | 0.501 | 0.342 | 0.094 | 0.156 | 789 | 5.05 | 1.30 |
| SmFeSi | 8.547 | 12.437 | 0.291 | 0.501 | 0.341 | 0.095 | 0.156 | 787 | 4.62 | 2.10 |
| SmFeSi | 8.542 | 12.436 | 0.291 | 0.501 | 0.342 | 0.096 | 0.157 | 786 | 6.01 | 1.80 |
| SmFeSi | 8.527 | 12.428 | 0.291 | 0.501 | 0.342 | 0.095 | 0.157 | 782 | 4.40 | 2.40 |
| SmFeSi | 8.520 | 12.428 | 0.292 | 0.501 | 0.342 | 0.096 | 0.157 | 781 | 5.69 | 2.20 |
| SmFeGa | 8.567 | 12.457 | 0.289 | 0.502 | 0.343 | 0.096 | 0.156 | 791 | 4.25 | 1.40 |
| SmFeGa | 8.582 | 12.483 | 0.290 | 0.502 | 0.342 | 0.094 | 0.156 | 796 | 6.11 | 2.50 |
| SmFeGa | 8.598 | 12.510 | 0.290 | 0.502 | 0.342 | 0.097 | 0.156 | 801 | 5.63 | 2.70 |
| SmFeGa | 8.619 | 12.540 | 0.291 | 0.502 | 0.342 | 0.097 | 0.156 | 807 | 5.55 | 2.50 |
| SmFeCo | 8.550 | 12.450 | 0.289 | 0.501 | 0.343 | 0.096 | 0.156 | 788 | 4.56 | 1.61 |
| SmFeCo | 8.548 | 12.456 | 0.290 | 0.502 | 0.343 | 0.096 | 0.157 | 788 | 4.73 | 1.58 |
| SmFeCo | 8.545 | 12.463 | 0.291 | 0.501 | 0.343 | 0.096 | 0.156 | 788 | 4.05 | 1.40 |
| SmFeCo | 8.544 | 12.467 | 0.291 | 0.502 | 0.343 | 0.095 | 0.156 | 788 | 3.58 | 1.76 |
| SmFeZr | 8.541 | 12.449 | 0.289 | 0.502 | 0.343 | 0.096 | 0.157 | 786 | 4.53 | 1.34 |
| SmFeZr | 8.532 | 12.465 | 0.290 | 0.502 | 0.343 | 0.096 | 0.157 | 786 | 5.10 | 1.42 |
| SmFeZr | 8.527 | 12.457 | 0.289 | 0.501 | 0.344 | 0.096 | 0.157 | 784 | 4.33 | 1.52 |
| SmFeCr | 8.549 | 12.445 | 0.289 | 0.502 | 0.343 | 0.096 | 0.157 | 787 | 6.91 | 1.26 |
| SmFeCr | 8.542 | 12.450 | 0.290 | 0.502 | 0.343 | 0.096 | 0.157 | 787 | 5.75 | 1.26 |
| SmFeCr | 8.535 | 12.442 | 0.289 | 0.501 | 0.344 | 0.096 | 0.157 | 785 | 4.06 | 1.57 |
| SmFeCr | 8.533 | 12.442 | 0.291 | 0.501 | 0.343 | 0.092 | 0.156 | 784 | 4.49 | 1.16 |
| SmFeMo | 8.558 | 12.472 | 0.289 | 0.502 | 0.342 | 0.096 | 0.157 | 791 | 4.61 | 1.10 |
| Atom | Symmetry | Wyckoff Position |
|---|---|---|
| R | (0,0,0) | |
| Fe1 | (,,) | |
| Fe2 | (x,0,0) | |
| Fe3 | (x,,0) |
| Alloy | a(Å) | c(Å) | Ref. |
|---|---|---|---|
| YFeTi | 8.503(3) | 4.789(4) | [84] |
| SmFeTi | 8.555(3) | 4.794(3) | [25] |
| YFeMo | 8.527(2) | 4.784(2) | [92] |
| CeFeMo | 8.535(1) | 4.769(2) | [92] |
| PrFeMo | 8.600(2) | 4.785(3) | [92] |
| NdFeMo | 8.584(1) | 4.780(2) | [92] |
| SmFeMo | 8.565(2) | 4.786(2) | [29] |
| GdFeMo | 8.553(2) | 4.795(1) | [92] |
| TbFeMo | 8.562(2) | 4.782(1) | [92] |
| DyFeMo | 8.523(1) | 4.782(1) | [92] |
| HoFeMo | 8.518(3) | 4.786(3) | [92] |
| ErFeMo | 8.515(2) | 4.783(1) | [92] |
| LuFeMo | 8.483(3) | 4.770(2) | [92] |
| SmFeV | 8.528(6) | 4.770(3) | [83] |
| PrFeTi | 8.594(2) | 4.789(2) | [84] |
| NdFeTi | 8.579(3) | 4.795(2) | [83] |
| GdFeTi | 8.533(3) | 4.789(3) | [93] |
| GdFeCr | 8.480(6) | 4.755(3) | [86] |
| Alloy | (K) | References |
|---|---|---|
| SmFe | 420 | [97] |
| SmFeSi | 460 | [96] |
| SmFeSi | 497 | |
| SmFeSi | 510 | |
| SmFeSi | 525 | |
| SmFeGa | 439 | [97] |
| SmFeGa | 484 | |
| SmFeGa | 527 | |
| SmFeGa | 591 | |
| SmFeGa | 596 | |
| SmFeCo | 696 | [28] |
| SmFeCo | 707 | |
| SmFeCo | 717 | |
| SmFeCo | 732 | |
| SmFeZr | 440 | [76] |
| SmFeZr | 447 | |
| SmFeZr | 424 | |
| SmFeCr | 447 | [75] |
| SmFeCr | 447 | |
| SmFeCr | 441 | |
| SmFeCr | 424 | |
| SmFeMo | 434 | [29] |
| Ref | ||
|---|---|---|
| YFe | 9.4(2) | [99] |
| NdFe | 15.9(1) | [100] |
| SmFe | 22.1(2) | [38] |
| GdFe | 27.2(2) | [101] |
| TbFe | 24.4(1) | [102] |
| DyFe | 21.5(4) | [42] |
| HoFe | 20.1(2) | [99] |
| TmFe | 17.1(1) | [103] |
| ErFe | 9.8(1) | [104] |
| Fe | Fe | Fe | Ref. | ||
|---|---|---|---|---|---|
| YFeTi | [84] | ||||
| (T) | 26.8 | 22.7 | 20.1 | 23.2 | |
| (mm/s) | −0.09 | −0.12 | −0.17 | −0.13 | |
| (mm/s) | 0.08 | 0.07 | 0.04 | 0.06 | |
| PrFeTi | [84] | ||||
| (T) | 27.1 | 23.8 | 21.8 | 24.2 | |
| (mm/s) | −0.08 | −0.10 | −0.12 | −0.09 | |
| (mm/s) | 0.09 | 0.09 | 0.04 | 0.08 | |
| NdFeTi | [105] | ||||
| (T) | 32.6 | 29.6 | 25.2 | 28.1 | |
| (mm/s) | 0.01 | −0.02 | −0.15 | −0.09 | |
| (mm/s) | 0.03 | 0.10 | 0.02 | 0.08 | |
| SmFeTi | [25] | ||||
| (T) | 27.2 | 23.5 | 25.8 | 28.1 | |
| (mm/s) | 0.01 | −0.02 | −0.15 | −0.09 | |
| (mm/s) | 0.03 | 0.10 | 0.02 | 0.08 | |
| GdFeTi | [86] | ||||
| (T) | 26.9 | 25.1 | 23.9 | 25.1 | |
| (mm/s) | −0.06 | −0.11 | −0.13 | 0.14 | |
| (mm/s) | 0.05 | 0.04 | 0.04 | 0.04 |
| Compound | Ref. | |||
|---|---|---|---|---|
| GdFeCr | −104,440.2439 | −104,440.2112 | −104,440.2026 | [86] |
| YFeCr | −36,874.7094 | −36,874.6956 | −36,874.6966 | [115] |
| YFeTi | −36,480.6233 | −36,480.6114 | −36,480.6025 | [84] |
| YFeV | −36,671.7028 | −36,671.6735 | −36,671.6745 | [116] |
| YFeTi | ||||
| Mössbauer | 1.98 | 1.77 | 1.56 | 1.77 |
| Calculated | 2.49 | 2.07 | 1.88 | 1.90 |
| PrFeTi | ||||
| Mössbauer | 2.00 | 1.84 | 1.69 | 1.82 |
| Calculated | 2.53 | 2.16 | 1.91 | 2.12 |
| GdFeCr | ||||
| Mössbauer | 2.10 | 2.04 | 1.98 | 2.03 |
| Calculated | 2.46 | 2.36 | 2.12 | 2.28 |
Publisher’s Note: MDPI stays neutral with regard to jurisdictional claims in published maps and institutional affiliations. |
© 2021 by the author. Licensee MDPI, Basel, Switzerland. This article is an open access article distributed under the terms and conditions of the Creative Commons Attribution (CC BY) license (https://creativecommons.org/licenses/by/4.0/).
Share and Cite
Bessais, L. Structure and Magnetic Properties of Intermetallic Rare-Earth-Transition-Metal Compounds: A Review. Materials 2022, 15, 201. https://doi.org/10.3390/ma15010201
Bessais L. Structure and Magnetic Properties of Intermetallic Rare-Earth-Transition-Metal Compounds: A Review. Materials. 2022; 15(1):201. https://doi.org/10.3390/ma15010201
Chicago/Turabian StyleBessais, Lotfi. 2022. "Structure and Magnetic Properties of Intermetallic Rare-Earth-Transition-Metal Compounds: A Review" Materials 15, no. 1: 201. https://doi.org/10.3390/ma15010201
APA StyleBessais, L. (2022). Structure and Magnetic Properties of Intermetallic Rare-Earth-Transition-Metal Compounds: A Review. Materials, 15(1), 201. https://doi.org/10.3390/ma15010201
