Experimental Investigation on Bending Behavior of Existing RC Beam Retrofitted with SMA-ECC Composites Materials
Abstract
:1. Introduction
2. Test Overview
2.1. Specimen Design
2.2. Material Test of Specimens
2.2.1. Shape Memory Alloy
- (1)
- With the increase of strain amplitude, the phase transformation stress of the hyper-elastic SMA bar gradually decreases, the recovery stress gradually increases, and finally tends to be stable with the decrease of strain amplitude. Therefore, the SMA bar is stretched under circulation of loading and unloading is conducive to the stability of its material properties before it is used.
- (2)
- The phase transformation stress and recovery stress tend to be stable with the increase of loading cycle; the residual strain gradually increases during the loading process, and the variation range becomes smaller and smaller. Therefore, SMA bars are stretched under circulation of loading and unloading before use, which is also conducive to improve the super-elasticity of SMA.
- (3)
- As the strain amplitude increases, the residual strain of SMA gradually increases, and the maximum residual strain is only 0.003, indicating that the SMA bars used in the material tests have good recovery ability. With the increasing loading cycle, the increasing rate of residual strain gradually slows down, and the residual strain tends to be stable.
2.2.2. ECC and Ordinary Concrete
2.3. Monotonic Cycle Loading Test
2.3.1. Test Device and Loading System
2.3.2. Loading Protocol
3. Test Results and Analysis
3.1. Failure Process
- (1)
- SJ-1 (Strengthened by Steel reinforced concrete)
- (2)
- SJ-2 (Strengthened by SMA reinforced concrete)
- (3)
- SJ-3 (Strengthened by SMA reinforced ECC)
- (4)
- SJ-4 (Strengthened by steel reinforced ECC)
3.2. Load–Displacement Curves
- (1)
- Comparing the number of loading cycles of the load–displacement curves of the four specimen, it can be found that the number of loading cycles of beams strengthened by ECC is more than that of beams strengthened by concrete, indicating that strengthening with ECC can significantly improve the ductility of specimens. Among all tested members, the ductility of SJ-3 is the best, followed by SJ-4, and the ductility of SJ-1 and SJ-2 are the worst.
- (2)
- The ultimate bearing capacities of SJ-1 and SJ-4 are higher than that of the other two specimens, because both SJ-1 and SJ-4 are reinforced by steel bars. The total tensile capacity of steel reinforcements is slightly greater than that of SMA bars, and the bond strength of ribbed steel bar in concrete or ECC is better than that of the SMA bar.
- (3)
- The residual deformation of SJ-2 and SJ-3 after unloading is smaller than the other two specimens. However, the self-recovery performances of SJ-2 and SJ-3 are still not obvious, and the super-elasticity of SMA is not significantly displayed while strengthening beams.
3.3. Skeleton Curves
- (1)
- All the test processes of the four specimens have gone through three stages, respectively, which are elastic stage, elastic-plastic stage, and failure stage.
- (2)
- Replacing the steel bars in the concrete enlarged section by SMA bars with equivalent strength, the ultimate bearing capacity of the beam reduces by 15.5%. If the concrete is replaced by ECC, the ultimate bearing capacity decreases by about 6%. However, the number of loading cycles of ECC specimen is significantly more that of the concrete specimen, which shows that ECC can improve the ductility of specimens.
- (3)
- After reaching the ultimate bearing capacity, the bearing capacity of SJ-3 decreases significantly slower than that of the other three members, followed by SJ-4, and SJ-1 decreases the fastest. It indicates that the ductility of SJ-3 and SJ-4 is significantly improved while being strengthened by ECC.
3.4. Maximum Crack Width
- (1)
- As the number of loading cycle increases, the cracks continue to develop and the crack width becomes wider. After unloading, the values of maximum crack width for all specimens reduce, but the reductions are quite different.
- (2)
- By comparing the maximum crack width before and after unloading, it can be seen that the reduction of the maximum crack width of SJ-1 and SJ-4 after unloading is very small and can be basically ignored. The maximum crack width of SJ-2 and SJ-3 decreases obviously after unloading, the decreasing rates are 19.2% and 31.8%, which indicates that the self-recovery performances of specimens can be improved while strengthening with SMA. Due to the use of plain SMA bars as the reinforcement, the bond strength between SMA bars and concrete/ECC is small. Therefore, the super-elasticity of SMA cannot be fully utilized in the deformation process of the specimen. That is the reason why the specimens of SJ-2 and SJ-3 can only be partially recovered after unloading.
- (3)
- By comparing the values of maximum crack width for all specimens, the maximum crack widths of SJ-3 and SJ-4 are much smaller than the other 2 specimens, which are less than 500μm before the 16th loading cycle. Due to its good ductility, the specimen of SJ-3 can be continuously loaded until the vertical displacement in mid-span reaches 42 mm (the 28th loading cycle). The maximum crack width of SJ-3 at this time is only 1078 μm, which is still less than the maximum crack widths of SJ-1 and SJ-2. It proves that using ECC as reinforcement layer can effectively control the development of crack width in the tensile zone of the beam section.
3.5. Number of Cracks
- (1)
- For specimens strengthened with ECC, the number of cracks in the tensile area of beam section is significantly more than that of concrete specimens. With the increase of loading cycles, ECC strengthened specimens will quickly produce new cracks, but the crack width does not increase significantly. However, after the cracking of concrete specimens, the crack width increases with the increasing load in order to form obvious main cracks, and the number of cracks does not increase significantly in the later cycles of loading.
- (2)
- By comparing the curves of number of cracks of SJ-2 and SJ-3, it can be seen that the number of cracks of SJ-2 does not reduce significantly after unloading, but the number of cracks of SJ-2 decreases significantly after unloading. It indicates that the development of fine cracks is conducive to the shape memory effect and super-elasticity of SMA. The self-recovery performance of beams can be better realized by strengthening beams with SMA reinforced ECC layer.
- (3)
- By comparing the curves of number of cracks of SJ-1 and SJ-2, two curves are basically the same, and the number of cracks after unloading does not decrease. This is because the bonding performance between SMA and concrete is poor, so the super-elasticity of SMA is not effective under this situation.
3.6. Mid-Span Deflection
3.7. Energy Consumption Capacity
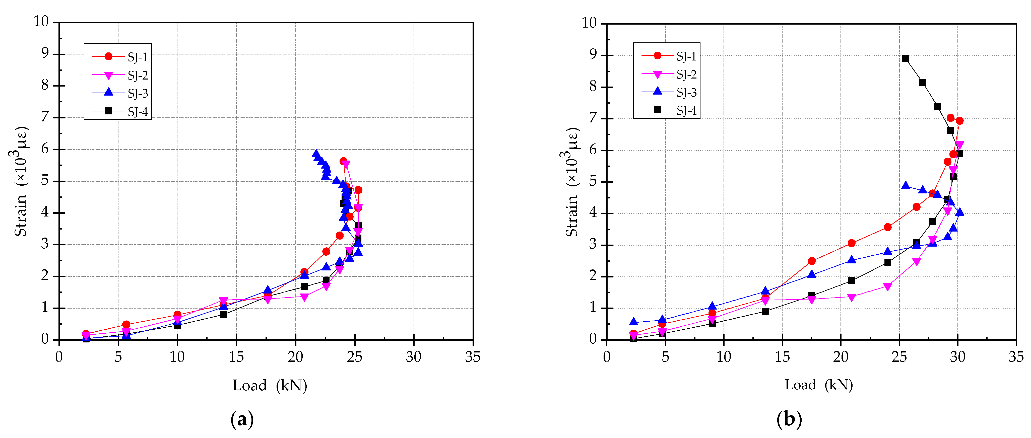
3.8. Mechanical Performance of Reinforcements
4. Flexural Capacity Formula
4.1. Basic Formula
- M—Design value of bending moment after strengthening of member (kN·m)
- αs—Strength utilization factor of reinforcements in enlarged section, taken as αs = 0.9
- fy—Design value of tensile strength of reinforcements in enlarged section (N/mm2)
- As—The cross-sectional area of the reinforcements in enlarged section (mm2), as shown in Figure 17.
- h0, h01—Effective height of section after strengthening and before strengthening (mm), as shown in Figure 17.
- x—Height of compression zone of the section concrete (mm)
- fy0, f’y0—Design value of tensile and compressive strength of steel bars in existing structure member (N/mm2)
- As0, A’s0—The cross-sectional area of the tensile reinforcements and compressive reinforcements (mm2), as shown in Figure 17.
- a’—The distance from the resultant force point of longitudinal compressive reinforcements to the edge of compression zone of the beam (mm), as shown in Figure 17.
4.2. Flexural Capacity of ECC Reinforced Beams
4.3. Verification of the Revised Formula
5. Conclusions
- (1)
- The effects of heat treatment, strain amplitude, and number of loading cycle on the mechanical properties of SMA were studied. The results show that the mechanical properties of SMA can be improved by heat treatment significantly; the stability of mechanical properties of SMA can be significantly improved by increasing the strain amplitude and loading cycle.
- (2)
- The reinforced concrete beam strengthened with increasing section of ECC have good toughness, the cracking characteristics of the strengthened beam is the fine cracks when it fails. The strengthened beam can continue to bear the load beyond the ultimate bearing capacity, and the bearing capacity decreases slowly, indicating that the beam strengthening with increasing section of ECC has good energy dissipation capacity.
- (3)
- The total tensile capacity of steel reinforcements is slightly greater than that of SMA bars, and the bond strength of ribbed steel bar in concrete or ECC is better than that of SMA bar. Therefore, the bearing capacity of specimens strengthened with steel is better than that of SMA bar.
- (4)
- The crack width, number of cracks, and recovery performance of concrete beams strengthened with SMA bars are better than those of ordinary reinforced concrete beams. In order to give full play to shape memory effect and super-elasticity of SMA, the bond strength between SMA and concrete/ECC should be improved. The effect of temperature on the material properties of SMA cannot be ignored.
- (5)
- The combination of SMA and ECC gives full play to their own respective advantages, respectively. ECC provides good toughness and cracking characteristics, and SMA provides excellent recovery ability. These two materials working together can significantly improve the reliability of the structure.
- (6)
- Based on the design formula of bending capacity recommended by the design code and considering the tensile capacity provided by ECC in the strengthened section, a revised design formula for the bending bearing capacity of RC beams strengthened with increasing section of ECC is proposed. The revised design formula are well demonstrated by the test results, indicating that the revised formula can be well applied to the beam strengthening with increasing section of ECC.
Author Contributions
Funding
Conflicts of Interest
References
- Pan, Y. Durability Analysis of Concrete Structure. Appl. Mech. Mater. 2013, 2382, 312. [Google Scholar] [CrossRef]
- Tabrizikahou, A.; Kuczma, M.; Nowotarski, P.; Kwiatek, M.; Javanmardi, A. Sustainability of Civil Structures through the Application of Smart Materials: A Review. Materials 2021, 14, 4824. [Google Scholar] [CrossRef] [PubMed]
- Qiu, C.X.; Zhu, S.Y. Shake table test and numerical study of self-centering steel frame with SMA braces. Earthq. Eng. Struct. Dyn. 2017, 46, 117–137. [Google Scholar] [CrossRef]
- Qiu, C.X.; Zhu, S.Y. Performance-based seismic design of self-centering steel frames with SMA-based braces. Eng. Struct. 2017, 130, 67–82. [Google Scholar] [CrossRef]
- Mirzai, N.M.; Mansouri, I.; Tezcan, J.; Awoyera, P.O.; Hu, J.W. Estimating optimum parameters of a new SMA damper under different earthquake ground motions. Structures 2021, 33, 2700–2712. [Google Scholar] [CrossRef]
- Mirzai, N.M.; Cho, H.M.; Hu, J.W. Experimental study of new axial recentering dampers equipped with shape memory alloy plates. Struct. Control. Health Monit. 2020, 28, e2680. [Google Scholar] [CrossRef]
- Wang, W.; Tang, Y.C.; Xu, W.K. Experimental and FEA Studies of a New Type SMA Viscous Damper. Appl. Mech. Mater. 2013, 2545, 353–356. [Google Scholar] [CrossRef]
- Wang, B.; Zhu, S. Super-elastic SMA U-shaped dampers with self-centering functions. Smart Mater. Struct. 2018, 27, 55003. [Google Scholar] [CrossRef]
- Wilde, K.; Gardoni, P.; Fujino, Y. Base isolation system with shape memory alloy device for elevated highway bridges. Eng. Struct. 2000, 22, 222–229. [Google Scholar] [CrossRef]
- Jiang, S. The Earthquake Response Analysis of Re-Centring Isolation Structure with Shape Memory Alloys. Master’s Thesis, Xi’an University of Architecture and Technology, Xi’an, China, 2004. (In Chinese). [Google Scholar]
- Narjabadifam, P.; Noori, M.; Cardone, D.; Eradat, R.; Kiani, M. Shape memory alloy (SMA)-based Superelasticity-assisted Slider (SSS): An engineering solution for practical aseismic isolation with advanced materials. Smart Struct. Syst. 2020, 26, 89–102. [Google Scholar]
- Shinozuka, M.; Chaudhuri, S.R.; Mishra, S.K. Shape-Memory-Alloy supplemented Lead Rubber Bearing (SMA-LRB) for seismic isolation. Probabilistic Eng. Mech. 2015, 41, 34–45. [Google Scholar] [CrossRef]
- Qian, H.; Xu, J.; Zhang, X.; Deng, E.; Liu, Y.; Fan, J. Seismic performance of shear wall structure with self-centering energy-dissipating coupling beam. J. Civ. Environ. Eng. 2021, 43, 9–15. (In Chinese) [Google Scholar]
- Li, S.B.; Liang, Q.G.; Li, J.P. Finite Element Analysis for the Crack Self-Repairing Behavior of the Concrete Beam Embedded Shape Memory Alloy. Appl. Mech. Mater. 2014, 2972, 507. [Google Scholar] [CrossRef]
- Deng, Z.; Li, Q.; Sun, H. Behavior of concrete beam with embedded shape memory alloy wires. Eng. Struct. 2006, 28, 1691–1697. [Google Scholar] [CrossRef]
- Elbahy, Y.I.; Youssef, M.A. Flexural behaviour of superelastic shape memory alloy reinforced concrete beams during loading and unloading stages. Eng. Struct. 2019, 181, 246–259. [Google Scholar] [CrossRef]
- Azadpour, F.; Maghsoudi, A.A. Experimental and analytical investigation of continuous RC beams strengthened by SMA strands under cyclic loading. Constr. Build. Mater. 2020, 239, 117730. [Google Scholar] [CrossRef]
- Saiidi, M.S.; Wang, H. Exploratory study of seismic response of concrete columns with shape memory alloys reinforcement. ACI Struct. J. 2006, 103, 436–443. [Google Scholar]
- Billah, A.H.M.M.; Alam, M.S. Probabilistic seismic risk assessment of concrete bridge piers reinforced with different types of shape memory alloys. Eng. Struct. 2018, 162, 97–108. [Google Scholar] [CrossRef]
- Zheng, Y.; Dong, Y. Performance-based assessment of bridges with steel-SMA reinforced piers in a life-cycle context by numerical approach. Bull. Earthq. Eng. 2019, 17, 1667–1688. [Google Scholar] [CrossRef]
- Wang, B.; Zhu, S. Seismic behavior of self-centering reinforced concrete wall enabled by superelastic shape memory alloy bars. Bull. Earthq. Eng. 2018, 16, 479–502. [Google Scholar] [CrossRef]
- Cortes-Puentes, L.; Zaidi, M.; Palermo, D.; Dragomirescu, E. Cyclic loading testing of repaired SMA and steel reinforced concrete shear walls. Eng. Struct. 2018, 168, 128–141. [Google Scholar] [CrossRef]
- Youssef, M.A.; Alam, M.S.; Nehdi, M. Experimental Investigation on the Seismic Behavior of Beam-Column Joints Reinforced with Superelastic Shape Memory Alloys. J. Earthq. Eng. 2008, 12, 1205–1222. [Google Scholar] [CrossRef]
- Nahar, M.; Islam, K.; Billah, A.M. Seismic collapse safety assessment of concrete beam-column joints reinforced with different types of shape memory alloy rebars. J. Build. Eng. 2020, 29, 101106. [Google Scholar] [CrossRef]
- Azariani, H.R.; Esfahani, M.R.; Shariatmadar, H. Behavior of exterior concrete beam-column joints reinforced with Shape Memory Alloy (SMA) bars. Steel Compos. Struct. Int. J. 2018, 28, 83–98. [Google Scholar]
- Nguyen, H.D.; Choi, E.; Nguyen, S.N.; Pham, T.K. Performance of self-centering devices containing superelastic SMA bars and their application via finite element analysis. Eng. Struct. 2021, 237, 112113. [Google Scholar] [CrossRef]
- Gholampour, A.; Ozbakkaloglu, T. Understanding the compressive behavior of shape memory alloy (SMA)-confined normal- and high-strength concrete. Compos. Struct. 2018, 202, 943–953. [Google Scholar] [CrossRef]
- Qian, H.; Ren, Z.; Xiong, J.; Kang, L. Experimental investigation on seismic performance of RC pier columns confined with shape memory alloy wires. China Civ. Eng. J. 2020, 53, 265–271. (In Chinese) [Google Scholar]
- Zhang, J.; Leung, C.K.; Cheung, Y.N. Flexural performance of layered ECC-concrete composite beam. Compos. Sci. Technol. 2006, 66, 1501–1512. [Google Scholar] [CrossRef]
- Yuan, F.; Pan, J.; Leung CK, Y. Flexural behaviors of ECC and concrete/ECC composite beams reinforced with basalt fiber-reinforced polymer. J. Compos. Constr. 2013, 17, 591–602. [Google Scholar] [CrossRef]
- Ding, Y.; Yu, K.; Yu, J.; Xu, S.L. Structural behaviors of ultra-high performance engineered cementitious composites (UHP-ECC) beams subjected to ending-experimental study. Constr. Build. Mater. 2018, 177, 102–115. [Google Scholar] [CrossRef]
- Wu, C.; Pan, Z.F.; Su, R.K.L.; Leung, C.K.; Meng, S. Seismic behavior of steel reinforced ECC columns under constant axial loading and reversed cyclic lateral loading. Mater. Struct. 2017, 50, 78–92. [Google Scholar] [CrossRef]
- Yang, J.; Liang, S.T.; Zhu, X.J.; Wu, D.Y.; Wang, G.Y. Research on the Design Method of a Scale Model of ECC Reinforced Concrete Precast Shear Wall Structure. Appl. Mech. Mater. 2016, 858, 29–33. [Google Scholar] [CrossRef]
- Said, S.H.; Abdul Razak, H. Structural behavior of RC engineered cementitious composite (ECC) exterior beam–column joints under reversed cyclic loading. Constr. Build. Mater. 2016, 107, 226–234. [Google Scholar] [CrossRef]
- Li, X.; Li, M.; Song, G. Energy-dissipating and self-repairing SMA-ECC composite material system. Smart Mater. Struct. 2015, 24, 025024. [Google Scholar] [CrossRef]
- Liu, X. The Characterization and Control of Shape Memory Alloy Cables for Reinforcement of Engineered Cementitious Composite Beams. Master’s Thesis, University of Houston, Houston, TX, USA, 2013. [Google Scholar]
- Wang, H. A Study of RC Columns with Shape Memory Alloy and Engineered Cementitious Composites. Master’s Thesis, University of Nevada Reno, Reno, NV, USA, 2005. [Google Scholar]
- Hosseini, F.; Gencturk, B.; Lahpour, S.; Gil, D.I. An experimental investigation of innovative bridge columns with engineered cementitious composites and Cu-Al-Mn super-elastic alloys. Smart Mater. Struct. 2015, 24, 085029. [Google Scholar] [CrossRef] [Green Version]
- Rojas, M.A.S. Behavior of Engineered Cementitious Composite Repaired Superelastic-Shape Memory Alloy Reinforced Shear Walls. Master’s Thesis, YORK University, Toronto, ON, Canada, 2020. [Google Scholar]
- Khan, M.S. Seismic performance of deficient RC frames retrofitted with SMA-reinforced ECC column jacketing. Innov. Infrastruct. Solut. 2021, 6, 157. [Google Scholar] [CrossRef]
- Aksoylu, C.; Yazman, Ş.; Özkılıç, Y.O.; Gemi, L.; Arslan, M.H. Experimental analysis of reinforced concrete shear deficient beams with circular web openings strengthened by CFRP composite. Compos. Struct. 2020, 249, 112561. [Google Scholar] [CrossRef]
- Özkılıç, Y.O.; Yazman, Ş.; Aksoylu, C.; Arslan, M.H.; Gemi, L. Numerical investigation of the parameters influencing the behavior of dapped end prefabricated concrete purlins with and without CFRP strengthening. Constr. Build. Mater. 2021, 275, 122173. [Google Scholar] [CrossRef]
- Aksoylu, C. Experimental analysis of shear deficient reinforced concrete beams strengthened by glass fiber strip composites and mechanical stitches. Steel Compos. Struct. 2021, 40, 267–285. [Google Scholar]
- Wang, W.; Shao, H. Experimental Investigation on Mechanical Properties of Shape Memory Alloy Bars in Different Sizes. Struct. Eng. 2014, 6, 168–174. (In Chinese) [Google Scholar]
- GB50367-2013. Design Code for Reinforcement of Concrete Structures; China Architecture Industry Press: Beijing, China, 2015. (In Chinese) [Google Scholar]
- Li, Q. Theoretical Analysis and Experimental Investigation on Bending Performances of Reinforced Ultra High Toughness Cementitious Composites. Ph.D. Thesis, Dalian University of Technology, Dalian, China, 2009. (In Chinese). [Google Scholar]


















| Serial Number of Specimen | Strengthening Material | Section Size (mm) | Beam Length (mm) | Reinforcement | Reinforcement Diameter |
|---|---|---|---|---|---|
| SJ-1 | Steel-concrete | 120 × 110 | 1000 | 2 HRB355 steel bars | 6 mm |
| SJ-2 | SMA-concrete | 120 × 110 | 1000 | 3 SMA bars | 5.5 mm |
| SJ-3 | SMA-ECC | 120 × 110 | 1000 | 3 SMA bars | 5.5 mm |
| SJ-4 | Steel-ECC | 120 × 110 | 1000 | 2 HRB355 steel bars | 6 mm |
| SJ-5 | Steel-concrete | 120 × 110 | 1000 | 2 HRB355 steel bars | 5.5 mm |
| SJ-6 | SMA-ECC | 120 × 110 | 1000 | 3 SMA bars | 5.5 mm |
| Element | Cement | Water | Fly Ash | Fine Sand | Admixture | PVA Fiber |
|---|---|---|---|---|---|---|
| Proportion | 1 | 1.43 | 1.43 | 0.86 | 0.18 | 2% |
| Specimen Number | First Group | Second Group | The Third Group | Average Value |
|---|---|---|---|---|
| Tensile strength (MPa) | 4.26 | 3.89 | 3.46 | 3.87 |
| Material | SMA | Tensile Longitudinal Bar | Compressed Longitudinal Bar |
|---|---|---|---|
| Yield Strength (MPa) | 296.17 | 397.17 | 397.17 |
| Material | Concrete | ECC |
|---|---|---|
| Compressive strength (MPa) | 17.48 | 18,021 |
| Tensile strength (MPa) | - | 5.1 |
| Specimen Number | Reinforcement Material | Mcu (kN·m) | Mtu (kN·m) | Mcu/Mtu |
|---|---|---|---|---|
| SJ-1 | Steel-Concrete | 2.75 | 2.96 | 0.92 |
| SJ-2 | SMA-Concrete | 2.51 | 2.76 | 0.91 |
| SJ-3 | SMA-ECC | 2.51 | 2.78 | 0.90 |
| SJ-4 | Steel-ECC | 2.75 | 2.93 | 0.94 |
Publisher’s Note: MDPI stays neutral with regard to jurisdictional claims in published maps and institutional affiliations. |
© 2021 by the authors. Licensee MDPI, Basel, Switzerland. This article is an open access article distributed under the terms and conditions of the Creative Commons Attribution (CC BY) license (https://creativecommons.org/licenses/by/4.0/).
Share and Cite
Qian, H.; Zhang, Q.; Zhang, X.; Deng, E.; Gao, J. Experimental Investigation on Bending Behavior of Existing RC Beam Retrofitted with SMA-ECC Composites Materials. Materials 2022, 15, 12. https://doi.org/10.3390/ma15010012
Qian H, Zhang Q, Zhang X, Deng E, Gao J. Experimental Investigation on Bending Behavior of Existing RC Beam Retrofitted with SMA-ECC Composites Materials. Materials. 2022; 15(1):12. https://doi.org/10.3390/ma15010012
Chicago/Turabian StyleQian, Hui, Qingyuan Zhang, Xun Zhang, Enfeng Deng, and Jundong Gao. 2022. "Experimental Investigation on Bending Behavior of Existing RC Beam Retrofitted with SMA-ECC Composites Materials" Materials 15, no. 1: 12. https://doi.org/10.3390/ma15010012
APA StyleQian, H., Zhang, Q., Zhang, X., Deng, E., & Gao, J. (2022). Experimental Investigation on Bending Behavior of Existing RC Beam Retrofitted with SMA-ECC Composites Materials. Materials, 15(1), 12. https://doi.org/10.3390/ma15010012

