Vibro-Thermal Wave Radar: Application of Barker Coded Amplitude Modulation for Enhanced Low-Power Vibrothermographic Inspection of Composites
Abstract
1. Introduction
2. Vibro-Thermal Wave Radar (VTWR)
2.1. Thermal Frequency Response to Subsurface Heat Sources
2.2. Matched Filtering of the Vibro-Thermal Response
2.3. Performance of Vibro-Thermal Wave Radar (VTWR)
3. Experimental Validation of VTWR
3.1. Experimental Set-Up and LDR Selection
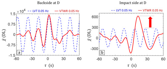
3.2. VTWR versus LVT at the Selected LDR Frequency
3.3. VTWR versus LVT at Different AM Frequencies
4. Conclusions
Author Contributions
Funding
Institutional Review Board Statement
Informed Consent Statement
Data Availability Statement
Acknowledgments
Conflicts of Interest
References
- Yang, R.; He, Y. Optically and non-optically excited thermography for composites: A review. Infrared Phys. Technol. 2016, 75, 26–50. [Google Scholar] [CrossRef]
- Ciampa, F.; Mahmoodi, P.; Pinto, F.; Meo, M. Recent advances in active infrared thermography for non-destructive testing of aerospace components. Sensors 2018, 18, 609. [Google Scholar] [CrossRef]
- Poelman, G.; Hedayatrasa, S.; Segers, J.; Van Paepegem, W.; Kersemans, M. An Experimental Study on the Defect Detectability of Time-and Frequency-Domain Analyses for Flash Thermography. Appl. Sci. 2020, 10, 8051. [Google Scholar] [CrossRef]
- Poelman, G.; Hedayatrasa, S.; Segers, J.; Van Paepegem, W.; Kersemans, M. Adaptive spectral band integration in flash thermography: Enhanced defect detectability and quantification in composites. Compos. Part B Eng. 2020, 202, 108305. [Google Scholar] [CrossRef]
- Poelman, G.; Hedayatrasa, S.; Segers, J.; Van Paepegem, W.; Kersemans, M. Multi-scale gapped smoothing algorithm for robust baseline-free damage detection in optical infrared thermography. NDT E Int. 2020, 112, 102247. [Google Scholar] [CrossRef]
- Netzelmann, U.; Müller, D. Modified pulse-phase thermography algorithms for improved contrast-to-noise ratio from pulse-excited thermographic sequences. NDT E Int. 2020, 116, 102325. [Google Scholar] [CrossRef]
- Maierhofer, C.; Myrach, P.; Reischel, M.; Steinfurth, H.; Röllig, M.; Kunert, M. Characterizing damage in CFRP structures using flash thermography in reflection and transmission configurations. Compos. Part B Eng. 2014, 57, 35–46. [Google Scholar] [CrossRef]
- Reifsnider, K.; Henneke, E.G.; Stinchcomb, W. The mechanics of vibrothermography. In Mechanics of Nondestructive Testing; Stinchcomb, W.W., Duke, J.C., Jr., Henneke, E.G., II, Reifsnider, K.L., Eds.; Springer: Berlin, Germany, 1980; pp. 249–276. [Google Scholar]
- Rizi, A.S.; Hedayatrasa, S.; Maldague, X.; Vukhanh, T. FEM modeling of ultrasonic vibrothermography of a damaged plate and qualitative study of heating mechanisms. Infrared Phys. Technol. 2013, 61, 101–110. [Google Scholar]
- Cavallone, C.; Colom, M.; Mendioroz, A.; Salazar, A.; Palumbo, D.; Galietti, U. Sizing the length of surface breaking cracks using vibrothermography. NDT E Int. 2020, 112, 102250. [Google Scholar] [CrossRef]
- Chi, X.; Di Maio, D.; Lieven, N.A.J. Health monitoring of bolted joints using modal-based vibrothermography. SN Appl. Sci. 2020, 2, 1446. [Google Scholar] [CrossRef]
- Guo, X.; Vavilov, V. Crack detection in aluminum parts by using ultrasound-excited infrared thermography. Infrared Phys. Technol. 2013, 61, 149–156. [Google Scholar] [CrossRef]
- Chi, X.; Di Maio, D.; Lieven, N.A. Modal-based vibrothermography using feature extraction with application to composite materials. Struct. Health Monit. 2019, 19, 967–986. [Google Scholar] [CrossRef]
- Holland, S.D.; Uhl, C.; Ouyang, Z.; Bantel, T.; Li, M.; Meeker, W.Q.; Lively, J.; Brasche, L.; Eisenmann, D. Quantifying the vibrothermographic effect. NDT E Int. 2011, 44, 775–782. [Google Scholar] [CrossRef]
- Katunin, A.; Wronkowicz-Katunin, A.; Wachla, D. Impact damage assessment in polymer matrix composites using self-heating based vibrothermography. Compos. Struct. 2019, 214, 214–226. [Google Scholar] [CrossRef]
- Solodov, I.; Busse, G. Resonance ultrasonic thermography: Highly efficient contact and air-coupled remote modes. Appl. Phys. Lett. 2013, 102, 061905. [Google Scholar] [CrossRef]
- Solodov, I.; Rahammer, M.; Derusova, D.; Busse, G. Highly-efficient and noncontact vibro-thermography via local defect resonance. Quant. InfraRed Thermogr. J. 2015, 12, 98–111. [Google Scholar] [CrossRef]
- Fierro, G.P.; Ginzburg, D.; Ciampa, F.; Meo, M. Nonlinear ultrasonic stimulated thermography for damage assessment in isotropic fatigued structures. J. Sound Vib. 2017, 404, 102–115. [Google Scholar] [CrossRef]
- Dyrwal, A.; Meo, M.; Ciampa, F. Nonlinear air-coupled thermosonics for fatigue micro-damage detection and localisation. NDT E Int. 2018, 97, 59–67. [Google Scholar] [CrossRef]
- Segers, J.; Hedayatrasa, S.; Verboven, E.; Poelman, G.; Van Paepegem, W.; Kersemans, M. In-plane local defect resonances for efficient vibrothermography of impacted carbon fiber-reinforced polymers (CFRP). NDT E Int. 2019, 102, 218–225. [Google Scholar] [CrossRef]
- Hedayatrasa, S.; Segers, J.; Poelman, G.; Verboven, E.; Van Paepegem, W.; Kersemans, M. Vibrothermographic spectroscopy with thermal latency compensation for effective identification of local defect resonance frequencies of a CFRP with BVID. NDT E Int. 2020, 109, 102179. [Google Scholar] [CrossRef]
- Wu, D.; Busse, G. Lock-in thermography for nondestructive evaluation of materials. Rev. Générale Therm. 1998, 37, 693–703. [Google Scholar] [CrossRef]
- Mandelis, A. Frequency modulated (FM) time delay-domain thermal wave techniques, instrumentation and detection: A review of the emerging state of the art in QNDE applications. In Review of Progress in Quantitative Nondestructive Evaluation; Thompson, D.O., Chimenti, D.E., Eds.; Springer: Berlin, Germany, 1987; pp. 799–806. [Google Scholar]
- Mulaveesala, R.; Vaddi, J.S.; Singh, P. Pulse compression approach to infrared nondestructive characterization. Rev. Sci. Instrum. 2008, 79, 094901. [Google Scholar] [CrossRef]
- Tabatabaei, N.; Mandelis, A. Thermal-wave radar: A novel subsurface imaging modality with extended depth-resolution dynamic range. Rev. Sci. Instrum. 2009, 80, 034902. [Google Scholar] [CrossRef]
- Tabatabaei, N.; Mandelis, A. Thermal coherence tomography using match filter binary phase coded diffusion waves. Phys. Rev. Lett. 2011, 107, 165901. [Google Scholar] [CrossRef]
- Ghali, V.; Panda, S.; Mulaveesala, R. Barker coded thermal wave imaging for defect detection in carbon fibre-reinforced plastics. Insight-Non-Destr. Test. Cond. Monit. 2011, 53, 621–624. [Google Scholar] [CrossRef]
- Gong, J.; Liu, J.; Qin, L.; Wang, Y.I. Investigation of carbon fiber reinforced polymer (CFRP) sheet with subsurface defects inspection using thermal-wave radar imaging (TWRI) based on the multi-transform technique. NDT E Int. 2014, 62, 130–136. [Google Scholar] [CrossRef]
- Laureti, S.; Silipigni, G.; Senni, L.; Tomasello, R.; Burrascano, P.; Ricci, M. Comparative study between linear and non-linear frequency-modulated pulse-compression thermography. Appl. Opt. 2018, 57, D32–D39. [Google Scholar] [CrossRef]
- Shi, Q.; Liu, J.; Wang, Y.; Liu, W. Study on the Detection of CFRP Material with Subsurface Defects Using Barker-Coded Thermal Wave Imaging (BC-TWI) as a Nondestructive Inspection (NDI) Tool. Int. J. Thermophys. 2018, 39, 92. [Google Scholar] [CrossRef]
- Shi, Q.; Liu, J.; Liu, W.; Wang, F.; Wang, Y. Barker-coded Modulation Laser Thermography for CFRP Laminates Delamination Detection. Infrared Phys. Technol. 2019, 98, 55–61. [Google Scholar] [CrossRef]
- Dua, G.; Arora, V.; Mulaveesala, R. Defect Detection Capabilities of Pulse Compression based Infrared Non-destructive Testing and Evaluation. IEEE Sens. J. 2020, 21, 7940–7947. [Google Scholar] [CrossRef]
- Rani, A.; Mulaveesala, R.; Kher, V. An analytical approach for frequency modulated thermal wave imaging for testing and evaluation of glass fiber reinforced polymers. IOP SciNotes 2021, 2, 014403. [Google Scholar] [CrossRef]
- Hedayatrasa, S.; Poelman, G.; Segers, J.; Van Paepegem, W.; Kersemans, M. Performance of frequency and/or phase modulated excitation waveforms for optical infrared thermography of CFRPs through thermal wave radar: A simulation study. Compos. Struct. 2019, 225, 111177. [Google Scholar] [CrossRef]
- Hedayatrasa, S.; Poelman, G.; Segers, J.; Van Paepegem, W.; Kersemans, M. Novel discrete frequency-phase modulated excitation waveform for enhanced depth resolvability of thermal wave radar. Mech. Syst. Signal Process. 2019, 132, 512–522. [Google Scholar] [CrossRef]
- Hedayatrasa, S.; Poelman, G.; Segers, J.; Van Paepegem, W.; Kersemans, M. On the application of an optimized Frequency-Phase Modulated waveform for enhanced infrared thermal wave radar imaging of composites. Opt. Lasers Eng. 2021, 138, 106411. [Google Scholar] [CrossRef]
- Yang, R.; He, Y.; Mandelis, A.; Wang, N.; Wu, X.; Huang, S. Induction Infrared Thermography and Thermal-Wave-Radar Analysis for Imaging Inspection and Diagnosis of Blade Composites. IEEE Trans. Ind. Inform. 2018, 14, 5637–5647. [Google Scholar] [CrossRef]
- Yi, Q.; Tian, G.Y.; Malekmohammadi, H.; Zhu, J.; Laureti, S.; Ricci, M. New features for delamination depth evaluation in carbon fiber reinforced plastic materials using eddy current pulse-compression thermography. NDT E Int. 2019, 102, 264–273. [Google Scholar] [CrossRef]
- Lu, X.; Yi, Q.; Tian, G. A Comparison of Feature Extraction Techniques for Delamination of CFRP Using Eddy Current Pulse-Compression Thermography. IEEE Sens. J. 2020, 20, 12415–12422. [Google Scholar] [CrossRef]
- Rantala, J.; Wu, D.; Busse, G. Amplitude-modulated lock-in vibrothermography for NDE of polymers and composites. Res. Nondestruct. Eval. 1996, 7, 215–228. [Google Scholar] [CrossRef]
- Dillenz, A.; Busse, G.; Wu, D. Ultrasound lock-in thermography: Feasibilities and limitations. In Diagnostic Imaging Technologies and Industrial Applications; International Society for Optics and Photonics: Bellingham, WA, USA, 1999; Volume 3827. [Google Scholar]
- Liu, J.; Gong, J.; Qin, L.; Wang, H.; Wang, Y. Study of inspection on metal sheet with subsurface defects using linear frequency modulated ultrasound excitation thermal-wave imaging (LFM-UTWI). Infrared Phys. Technol. 2014, 62, 136–142. [Google Scholar] [CrossRef]
- Renshaw, J.; Chen, J.C.; Holland, S.D. The sources of heat generation in vibrothermography. NDT E Int. 2011, 44, 736–739. [Google Scholar] [CrossRef]
- Vaddi, J.S.; Holland, S.D. Identification of heat source distribution in vibrothermography. In Proceedings of the AIP Conference, Baltimore, MA, USA, 21–26 July 2013. [Google Scholar]
- Truyaert, K.; Aleshin, V.; Van Den Abeele, K.; Delrue, S. Theoretical calculation of the instantaneous friction-induced energy losses in arbitrarily excited axisymmetric mechanical contact systems. Int. J. Solids Struct. 2019, 158, 268–276. [Google Scholar] [CrossRef]
- Rodriguez, S.; Meziane, A.; Pradère, C. Thermal Chladni plate experiments to reveal and estimate spatially dependent vibrothermal source. Quant. InfraRed Thermogr. J. 2019, 16, 163–171. [Google Scholar] [CrossRef]
- Vaddi, J.S.; Holland, S.D.; Kessler, M.R. Loss modulus measurement of a viscoelastic polymer at acoustic and ultrasonic frequencies using vibrothermography. Measurement 2021, 168, 108311. [Google Scholar] [CrossRef]
- Hahn, D.W.; Özisik, M.N. Heat Conduction. John Wiley & Sons: Hoboken, NJ, USA, 2012. [Google Scholar]
- Tabatabaei, N. Matched-Filter Thermography. Appl. Sci. 2018, 8, 581. [Google Scholar] [CrossRef]
- Mahafza, B.R. Radar Systems Analysis and Design Using MATLAB Third Edition; Chapman and Hall/CRC: Boca Raton, FL, USA, 2016. [Google Scholar]
- Silipigni, G.; Burrascano, P.; Hutchins, D.A.; Laureti, S.; Petrucci, R.; Senni, L.; Torre, L.; Ricci, M. Optimization of the pulse-compression technique applied to the infrared thermography nondestructive evaluation. NDT E Int. 2017, 87, 100–110. [Google Scholar] [CrossRef]
- Maierhofer, C.; Röllig, M.; Gower, M.; Lodeiro, M.; Baker, G.; Monte, C.; Adibekyan, A.; Gutschwager, B.; Knazowicka, L.; Blahut, A. Evaluation of Different Techniques of Active Thermography for Quantification of Artificial Defects in Fiber-Reinforced Composites Using Thermal and Phase Contrast Data Analysis. Int. J. Thermophys. 2018, 39, 61. [Google Scholar] [CrossRef]
- ASTM International. D7136/D7136M-15, A, Standard Test Method for Measuring the Damage Resistance of a Fiber-Reinforced Polymer Matrix Composite to a Drop-Weight Impact Event; ASTM International: West Conshohocken, PA, USA, 2015. [Google Scholar]
- Usamentiaga, R.; Ibarra-Castanedo, C.; Maldague, X. More than fifty shades of grey: Quantitative characterization of defects and interpretation using snr and cnr. J. Nondestruct. Eval. 2018, 37, 25. [Google Scholar] [CrossRef]







| Inspection Technique | |||||||||
|---|---|---|---|---|---|---|---|---|---|
| S | N | D | S | N | D | S | N | D | |
| LVT | 1 | 1.14 | 0.87 | 1 | 1.27 | 1.01 | 1 | 2.85 | 3.43 |
| VTWR | 1 | 1.40 | 1.38 | 1 | 1.49 | 2.94 | 1 | 3.10 | 8.04 |
Publisher’s Note: MDPI stays neutral with regard to jurisdictional claims in published maps and institutional affiliations. |
© 2021 by the authors. Licensee MDPI, Basel, Switzerland. This article is an open access article distributed under the terms and conditions of the Creative Commons Attribution (CC BY) license (https://creativecommons.org/licenses/by/4.0/).
Share and Cite
Hedayatrasa, S.; Segers, J.; Poelman, G.; Paepegem, W.V.; Kersemans, M. Vibro-Thermal Wave Radar: Application of Barker Coded Amplitude Modulation for Enhanced Low-Power Vibrothermographic Inspection of Composites. Materials 2021, 14, 2436. https://doi.org/10.3390/ma14092436
Hedayatrasa S, Segers J, Poelman G, Paepegem WV, Kersemans M. Vibro-Thermal Wave Radar: Application of Barker Coded Amplitude Modulation for Enhanced Low-Power Vibrothermographic Inspection of Composites. Materials. 2021; 14(9):2436. https://doi.org/10.3390/ma14092436
Chicago/Turabian StyleHedayatrasa, Saeid, Joost Segers, Gaétan Poelman, Wim Van Paepegem, and Mathias Kersemans. 2021. "Vibro-Thermal Wave Radar: Application of Barker Coded Amplitude Modulation for Enhanced Low-Power Vibrothermographic Inspection of Composites" Materials 14, no. 9: 2436. https://doi.org/10.3390/ma14092436
APA StyleHedayatrasa, S., Segers, J., Poelman, G., Paepegem, W. V., & Kersemans, M. (2021). Vibro-Thermal Wave Radar: Application of Barker Coded Amplitude Modulation for Enhanced Low-Power Vibrothermographic Inspection of Composites. Materials, 14(9), 2436. https://doi.org/10.3390/ma14092436

