Permanent Deformation and Stiffness Degradation of Open Hole Glass/PA6 UD Thermoplastic Composite in Tension and Compression
Abstract
1. Introduction
2. Materials and Methods
3. Results and Discussion
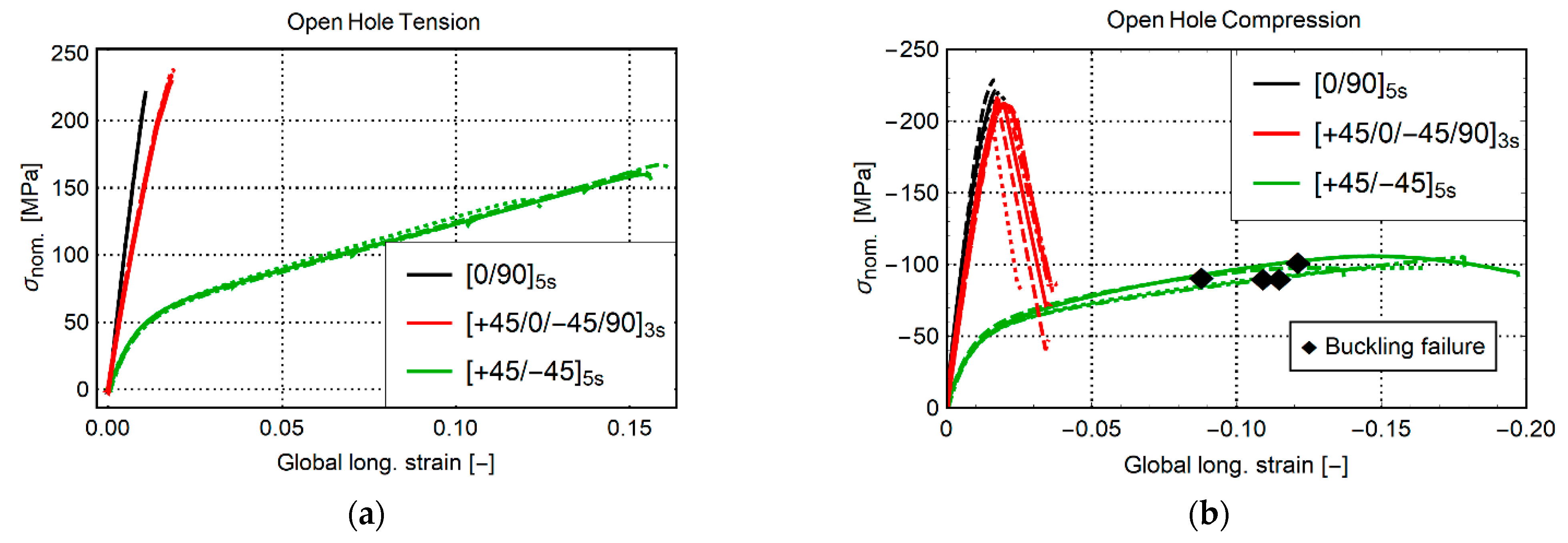
3.1. Nominal Stress–Global Strain
3.2. Failure Observations
3.3. Evolution of Elastic Modulus and Permanent Strain
4. Conclusions
Author Contributions
Funding
Institutional Review Board Statement
Informed Consent Statement
Data Availability Statement
Conflicts of Interest
References
- Stewart, R. Thermoplastic composites—Recyclable and fast to process. Reinf. Plast. 2011, 55, 22–28. [Google Scholar] [CrossRef]
- Clay, S.B.; Knoth, P.M. Experimental results of fatigue testing for calibration and validation of composite progressive damage analysis methods. J. Compos. Mater. 2016, 51, 2083–2100. [Google Scholar] [CrossRef]
- Hinton, M.; Kaddour, A. Triaxial test results for fibre-reinforced composites: The Second World-Wide Failure Exercise benchmark data. J. Compos. Mater. 2012, 47, 653–678. [Google Scholar] [CrossRef]
- Kaddour, A.; Hinton, M.; Smith, P.; Li, S. Mechanical properties and details of composite laminates for the test cases used in the third world-wide failure exercise. J. Compos. Mater. 2013, 47, 2427–2442. [Google Scholar] [CrossRef]
- Mariatti, M.; Nasir, M.; Ismail, H.; Backlund, J. Effect of Hole Drilling Techniques on Tensile Properties of Continuous Fiber Impregnated Thermoplastic (COFIT) Plain Weave Composites. J. Reinf. Plast. Compos. 2004, 23, 1173–1186. [Google Scholar] [CrossRef]
- Brown, N.; Worrall, C.; Ogin, S.; Smith, P. Investigation into the mechanical properties of thermoplastic composites containing holes machined by a thermally-assisted piercing (TAP) process. Adv. Manuf. Polym. Compos. Sci. 2015, 1, 204–214. [Google Scholar] [CrossRef]
- El-Dessouky, H.; Saleh, M.; Gautam, M.; Han, G.; Scaife, R.; Potluri, P. Tailored fibre placement of commingled carbon-thermoplastic fibres for notch-insensitive composites. Compos. Struct. 2019, 214, 348–358. [Google Scholar] [CrossRef]
- Zhang, H.; Dickson, A.N.; Sheng, Y.; McGrail, T.; Dowling, D.P.; Wang, C.; Neville, A.; Yang, D. Failure analysis of 3D printed woven composite plates with holes under tensile and shear loading. Compos. Part B Eng. 2020, 186, 107835. [Google Scholar] [CrossRef]
- Liu, H.; Falzon, B.G.; Li, S.; Tan, W.; Liu, J.; Chai, H.; Blackman, B.R.; Dear, J.P. Compressive failure of woven fabric reinforced thermoplastic composites with an open-hole: An experimental and numerical study. Compos. Struct. 2019, 213, 108–117. [Google Scholar] [CrossRef]
- Gavande, V.; Anand, A. On the mechanical properties of continuous fiber reinforced thermoplastic composites realized through vacuum infusion. J. Compos. Mater. 2020, 54, 4231–4239. [Google Scholar] [CrossRef]
- Vankan, W.J.; Tijs, B.H.; De Jong, G.J.; De Frel, H.C.; Singh, N.K. Strength of notched and un-notched thermoplastic composite laminate in biaxial tension and compression. J. Compos. Mater. 2016, 50, 3477–3500. [Google Scholar] [CrossRef]
- Niitsu, G.T.; Lopes, C.M.A. Compressive Strength of Notched Poly(Phenylene Sulfide) Aerospace Composite: Influence of Fatigue and Environment. Appl. Compos. Mater. 2013, 20, 375–395. [Google Scholar] [CrossRef]
- Malpot, A.; Touchard, F.; Bergamo, S.; Peyrac, C.; Montaudon, R.; Blumenfeld, J.-B. Fatigue behaviour of open-hole samples and automotive mini-structures made of woven glass-fibre-reinforced polyamide 6,6. MATEC Web Conf. 2018, 165, 07007. [Google Scholar] [CrossRef]
- Ten Cate Advanced Composites; TenCate GA0600/PA6—Technical Data; Ten Cate: Nijverdal, The Netherlands, 2015.
- ASTM D5766/D5766M-11. Standard Test Method for Open-Hole Tensile Strength of Polymer Matrix Composite; ASTM: West Conshohocken, PA, USA, 2014. [Google Scholar]
- ASTM D6484. Standard Test Method for Open-Hole Compressive Strength of Polymer Matrix Composite Laminates; ASTM: West Conshohocken, PA, USA, 2014. [Google Scholar]
- Green, B.; Wisnom, M.; Hallett, S. An experimental investigation into the tensile strength scaling of notched composites. Compos. Part A Appl. Sci. Manuf. 2007, 38, 867–878. [Google Scholar] [CrossRef]
- VIC-3D Digital Image Correlation; Version 9.1.6; Real-Time Image Processing Software; Correlated Solutions Inc.: Irmo, SC, USA, 2020.
- LabVIEW; Version 2020; Systems Engineering Software; National Instruments Corp.: Austin, TX, USA, 2020.















| Load Type | Layup | Length (mm) | Width (mm) | Thickness (mm) | Hole Diameter (mm) | Actuator Speed (mm/min) |
|---|---|---|---|---|---|---|
| Monotonic tensile LUR tensile | [0/90]5s | 250 | 36 | 5.2 | 6 | 2 |
| [+45/−45]5s | 250 | 36 | 5.2 | 6 | 2 | |
| [+45/0/−45/90]3s | 250 | 36 | 6.2 | 6 | 2 | |
| Monotonic compression LUR compression | [0/90]5s | 150 | 36 | 5.2 | 6 | 0.5–0.6 |
| [+45/−45]5s | 150 | 36 | 5.2 | 6 | 0.5–0.6 | |
| [+45/0/−45/90]3s | 150 | 36 | 6.2 | 6 | 0.5–0.6 |
Publisher’s Note: MDPI stays neutral with regard to jurisdictional claims in published maps and institutional affiliations. |
© 2021 by the authors. Licensee MDPI, Basel, Switzerland. This article is an open access article distributed under the terms and conditions of the Creative Commons Attribution (CC BY) license (https://creativecommons.org/licenses/by/4.0/).
Share and Cite
Sevenois, R.D.; Yang, X.; Verboven, E.; Kersemans, M.; Van Paepegem, W. Permanent Deformation and Stiffness Degradation of Open Hole Glass/PA6 UD Thermoplastic Composite in Tension and Compression. Materials 2021, 14, 2646. https://doi.org/10.3390/ma14102646
Sevenois RD, Yang X, Verboven E, Kersemans M, Van Paepegem W. Permanent Deformation and Stiffness Degradation of Open Hole Glass/PA6 UD Thermoplastic Composite in Tension and Compression. Materials. 2021; 14(10):2646. https://doi.org/10.3390/ma14102646
Chicago/Turabian StyleSevenois, Ruben Dirk, Xiaoyu Yang, Erik Verboven, Mathias Kersemans, and Wim Van Paepegem. 2021. "Permanent Deformation and Stiffness Degradation of Open Hole Glass/PA6 UD Thermoplastic Composite in Tension and Compression" Materials 14, no. 10: 2646. https://doi.org/10.3390/ma14102646
APA StyleSevenois, R. D., Yang, X., Verboven, E., Kersemans, M., & Van Paepegem, W. (2021). Permanent Deformation and Stiffness Degradation of Open Hole Glass/PA6 UD Thermoplastic Composite in Tension and Compression. Materials, 14(10), 2646. https://doi.org/10.3390/ma14102646

