Fabry-Perot Pressure Sensors Based on Polycrystalline Diamond Membranes
Abstract
1. Introduction
2. Materials and Methods
2.1. Sensor Structure and Preliminary Specifications
2.2. Diamond Membrane Design and Fabrication
2.3. Sensor Assembly
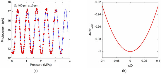
3. Results and Discussion
4. Conclusions
Author Contributions
Funding
Institutional Review Board Statement
Informed Consent Statement
Data Availability Statement
Acknowledgments
Conflicts of Interest
References
- Niu, Z.; Zhao, Y.; Tian, B. Design optimization of high pressure and high temperature piezoresistive pressure sensor for high sensitivity. Rev. Sci. Instrum. 2014, 85, 015001. [Google Scholar] [CrossRef]
- Tran, A.V.; Zhang, X.; Zhu, B. The development of a new piezoresistive pressure sensor for low pressures. IEEE Trans. Ind. Electron. 2017, 65, 6487–6496. [Google Scholar] [CrossRef]
- Ye, J.; Peng, L.; Wang, W.; Zhou, W. Helical capacitance sensor-based gas fraction measurement of gas–liquid two-phase flow in vertical tube with small diameter. IEEE Sens. J. 2010, 11, 1704–1710. [Google Scholar] [CrossRef]
- Eaton, W.P.; Smith, J.H. Micromachined pressure sensors: Review and recent developments. Smart Mater. Struct. 1997, 6, 530–539. [Google Scholar] [CrossRef]
- Ghildiyal, S.; Balasubramaniam, R.; John, J. Diamond turned micro machined metal diaphragm based Fabry Perot pressure sensor. Opt. Laser Technol. 2020, 128, 106243. [Google Scholar] [CrossRef]
- Signore, M.A.; Rescio, G.; De Pascali, C.; Iacovacci, V.; Dario, P.; Leone, A.; Quaranta, F.; Taurino, A.; Siciliano, P.; Francioso, L. Fabrication and characterization of AlN-based flexible piezoelectric pressure sensor integrated into an implantable artificial pancreas. Sci. Rep. 2019, 9, 1–11. [Google Scholar] [CrossRef] [PubMed]
- Sahin, M.; Aridogan, U. Performance evaluation of piezoelectric sensor/actuator on active vibration control of a smart beam. Proc. Inst. Mech. Eng. Part I J. Syst. Control Eng. 2011, 225, 533–547. [Google Scholar] [CrossRef]
- Xu, J.; Pickrell, G.; Wang, X.; Peng, W.; Cooper, K.; Wang, A. A novel temperature-insensitive optical fiber pressure sensor for harsh environments. IEEE Photonics Technol. Lett. 2005, 17, 870–872. [Google Scholar] [CrossRef]
- Zhu, Y.; Cooper, K.L.; Pickrell, G.R.; Wang, A. High-temperature fiber-tip pressure sensor. J. Lightwave Technol. 2006, 24, 861–869. [Google Scholar] [CrossRef]
- Mills, D.A.; Alexander, D.; Subhash, G.; Sheplak, M. Development of a sapphire optical pressure sensor for high-temperature applications. In Sensors for Extreme Harsh Environments; International Society for Optics and Photonics: Bellingham, WA, USA, 2014; Volume 9113, p. 91130H. [Google Scholar] [CrossRef]
- Li, W.; Liang, T.; Liu, W.; Jia, P.; Chen, Y.; Xiong, J.; Lei, C.; Hong, Y.; Li, Y. Wireless passive pressure sensor based on sapphire direct bonding for harsh environments. Sens. Actuators A Phys. 2018, 280, 406–412. [Google Scholar] [CrossRef]
- Okojie, R.S.; Ned, A.A.; Kurtz, A.D. Operation of (6H)-SiC pressure sensor at 500 °C. Sens. Actuators A Phys. 1998, 66, 200–204. [Google Scholar] [CrossRef]
- Salvatori, S.; Ponticelli, G.S.; Pettinato, S.; Genna, S.; Guarino, S. High-pressure sensors based on laser-manufactured sintered silicon carbide. Appl. Sci. 2020, 10, 7095. [Google Scholar] [CrossRef]
- Grot, S.A. Active diamond electronic devices. In Diamond: Electronic Properties and Applications; Pan, L.S., Kania, D.R., Eds.; Springer Science & Business Media: New York, NY, USA, 1995; pp. 443–461. [Google Scholar]
- Conte, G.; Girolami, M.; Salvatori, S.; Ralchenko, V. X-ray diamond detectors with energy resolution. Appl. Phys. Lett. 2007, 91, 183515. [Google Scholar] [CrossRef]
- Girolami, M.; Conte, G.; Salvatori, S.; Allegrini, P.; Bellucci, A.; Trucchi, D.M.; Ralchenko, V.G. Optimization of X-ray beam profilers based on CVD diamond detectors. J. Instrum. 2012, 7, C11005. [Google Scholar] [CrossRef]
- Girolami, M.; Bellucci, A.; Mastellone, M.; Serpente, V.; Trucchi, D.M. Reproducibility analysis of diamond pixel detectors for large ionizing radiation fields. Opt. Mater. 2019, 91, 292–295. [Google Scholar] [CrossRef]
- Salvatori, S.; Girolami, M.; Oliva, P.; Conte, G.; Bolshakov, A.; Ralchenko, V.; Konov, V. Diamond device architectures for UV laser monitoring. Laser Phys. 2016, 26, 084005. [Google Scholar] [CrossRef]
- Liu, K.; Dai, B.; Ralchenko, V.; Xia, Y.; Quan, B.; Zhao, J.; Shu, G.; Sun, M.; Gao, G.; Yang, L.; et al. Single crystal diamond UV detector with a groove-shaped electrode structure and enhanced sensitivity. Sens. Actuators A Phys. 2017, 259, 121–126. [Google Scholar] [CrossRef]
- Girolami, M.; Allegrini, P.; Conte, G.; Trucchi, D.M.; Ralchenko, V.G.; Salvatori, S. Diamond detectors for UV and X-ray source imaging. IEEE Electron. Device Lett. 2011, 33, 224–226. [Google Scholar] [CrossRef]
- Mazzeo, G.; Salvatori, S.; Conte, G.; Ralchenko, V.; Konov, V. Electronic performance of 2D-UV detectors. Diam. Relat. Mater. 2007, 16, 1053–1057. [Google Scholar] [CrossRef]
- Salvatori, S.; Oliva, P.; Pacilli, M.; Allegrini, P.; Conte, G.; Komlenok, M.; Khomich, A.A.; Bolshakov, A.; Ralchenko, V.; Konov, V. Nano-carbon pixels array for ionizing particles monitoring. Diam. Relat. Mater. 2017, 73, 132–136. [Google Scholar] [CrossRef]
- Girolami, M.; Conte, G.; Trucchi, D.M.; Bellucci, A.; Oliva, P.; Kononenko, T.; Khomich, A.; Bolshakov, A.; Ralchenko, V.; Konov, V.; et al. Investigation with β-particles and protons of buried graphite pillars in single-crystal CVD diamond. Diam. Relat. Mater. 2018, 84, 1–10. [Google Scholar] [CrossRef]
- Lagomarsino, S.; Bellini, M.; Corsi, C.; Gorelli, F.; Parrini, G.; Santoro, M.; Sciortino, S. Three-dimensional diamond detectors: Charge collection efficiency of graphitic electrodes. Appl. Phys. Lett. 2013, 103, 233507. [Google Scholar] [CrossRef]
- Bachmair, F.; Bäni, L.; Bergonzo, P.; Caylar, B.; Forcolin, G.; Haughton, I.; Hits, D.; Kagan, H.; Kass, R.; Li, L.; et al. A 3D diamond detector for particle tracking. Nucl. Instrum. Methods Phys. Res. Sect. A Accel. Spectrometers Detect. Assoc. Equip. 2015, 786, 97–104. [Google Scholar] [CrossRef]
- Salvatori, S.; Rossi, M.C.; Conte, G.; Kononenko, T.; Komlenok, M.; Khomich, A.; Ralchenko, V.; Konov, V.; Provatas, G.; Jaksic, M. Diamond detector with laser-formed buried graphitic electrodes: Micron-scale mapping of stress and charge collection efficiency. IEEE Sens. J. 2019, 19, 11908–11917. [Google Scholar] [CrossRef]
- Girolami, M.; Bellucci, A.; Calvani, P.; Cazzaniga, C.; Rebai, M.; Rigamonti, D.; Tardocchi, M.; Pillon, M.; Trucchi, D.M. Mosaic diamond detectors for fast neutrons and large ionizing radiation fields. Phys. Status Solidi A 2015, 212, 2424–2430. [Google Scholar] [CrossRef]
- Khomich, A.A.; Ashikkalieva, K.K.; Bolshakov, A.P.; Kononenko, T.V.; Ralchenko, V.G.; Konov, V.I.; Oliva, P.; Conte, G.; Salvatori, S. Very long laser-induced graphitic pillars buried in single-crystal CVD-diamond for 3D detectors realization. Diam. Relat. Mater. 2018, 90, 84–92. [Google Scholar] [CrossRef]
- Komlenok, M.; Bolshakov, A.; Ralchenko, V.; Konov, V.; Conte, G.; Girolami, M.; Oliva, P.; Salvatori, S. Diamond detectors with laser induced surface graphite electrodes. Nucl. Instrum. Methods Phys. Res. Sect. A Accel. Spectrometers Detect. Assoc. Equip. 2016, 837, 136–142. [Google Scholar] [CrossRef]
- See for Example: Microdiamond (Synthetic Diamond Detectors). Available online: https://www.ptwdosimetry.com/en/products/microdiamond/ (accessed on 17 February 2021).
- Ralchenko, V.; Pimenov, S.; Konov, V.; Khomich, A.; Saveliev, A.; Popovich, A.; Vlasov, I.; Zavedeev, E.; Bozhko, A.; Loubnin, E.; et al. Nitrogenated nanocrystalline diamond films: Thermal and optical properties. Diam. Relat. Mater. 2007, 16, 2067–2073. [Google Scholar] [CrossRef]
- Pimenov, S.M.; Kononenko, V.V.; Ralchenko, V.G.; Konov, V.I.; Gloor, S.; Luthy, W.; Weber, H.P.; Khomich, A.V. Laser polishing of diamond plates. Appl. Phys. A 1999, 69, 81–88. [Google Scholar] [CrossRef]
- Ralchenko, V.; Pleuler, E.; Lu, F.X.; Sovyk, D.N.; Bolshakov, A.P.; Guo, S.B.; Tang, W.Z.; Gontar, I.V.; Khomich, A.A.; Zavedeev, E.V.; et al. Fracture strength of optical quality and black polycrystalline CVD diamonds. Diam. Relat. Mater. 2012, 23, 172–177. [Google Scholar] [CrossRef]
- Ralchenko, V.; Nistor, L.; Pleuler, E.; Khomich, A.; Vlasov, I.; Khmelnitskii, R. Structure and properties of high-temperature annealed CVD diamond. Diam. Relat. Mater. 2003, 12, 1964–1970. [Google Scholar] [CrossRef]
- Lu, F.X.; Guo, H.B.; Guo, S.B.; He, Q.; Li, C.M.; Tang, W.Z.; Chen, G.C. Magnetron sputtered oxidation resistant and antireflection protective coatings for freestanding diamond film IR windows. Diam. Relat. Mater. 2009, 18, 244–248. [Google Scholar] [CrossRef]
- Wur, D.R.; Davidson, J.L.; Kang, W.P.; Kinser, D.L. Polycrystalline diamond pressure sensor. J. Microelectromechanical Syst. 1995, 4, 34–41. [Google Scholar] [CrossRef]
- Bae, H.; Giri, A.; Kolawole, O.; Azimi, A.; Jackson, A.; Harris, G. Miniature diamond-based fiber optic pressure sensor with dual polymer-ceramic adhesives. Sensors 2019, 19, 2202. [Google Scholar] [CrossRef] [PubMed]
- Janssens, S.D.; Drijkoningen, S.; Haenen, K. Ultra-thin nanocrystalline diamond membranes as pressure sensors for harsh environments. Appl. Phys. Lett. 2014, 104, 073107. [Google Scholar] [CrossRef]
- Yamamoto, A.; Nawachi, N.; Tsutsumoto, T.; Terayama, A. Pressure sensor using p-type polycrystalline diamond piezoresistors. Diam. Relat. Mater. 2005, 14, 657–660. [Google Scholar] [CrossRef]
- Kosowska, M.; Majchrowicz, D.; Ficek, M.; Wierzba, P.; Fleger, Y.; Fixler, D.; Szczerska, M. Nanocrystalline diamond sheets as protective coatings for fiber-optic measurement head. Carbon 2020, 156, 104–109. [Google Scholar] [CrossRef]
- Salvatori, S.; Pettinato, S.; Piccardi, A.; Sedov, V.; Voronin, A.; Ralchenko, V. Thin diamond film on silicon substrates for pressure sensor fabrication. Materials 2020, 13, 3697. [Google Scholar] [CrossRef]
- Saleh, B.E.A.; Teich, M.C. Wave Optics. In Fundamentals of Photonics; John Wiley & Sons, Inc.: New York, NY, USA, 1991. [Google Scholar]
- Minoni, U.; Rovati, L.; Docchio, F. Interferometric distance sensor. In Optical Sensors and Microsystems: New Concepts, Materials, Technologies; Martellucci, S., Chester, A.N., Mignani, A.G., Eds.; Kluwer Academic Publishers: New York, NY, USA, 2002; pp. 15–31. [Google Scholar]
- Zaitsev, A.M. Reflection and transmission. In Optical Properties of Diamond; Springer: Berlin/Heidelberg, Germany, 2001; pp. 13–17. [Google Scholar]
- Grogan, D.F.; Zhao, T.; Bovard, B.G.; Macleod, H.A. Planarizing technique for ion-beam polishing of diamond films. Appl. Opt. 1992, 31, 1483–1487. [Google Scholar] [CrossRef]
- Timoshenko, S.P.; Woinowsky-Krieger, S. Theory of Plates and Shells, 2nd ed.; McGraw-Hill Higher Education: New York, NY, USA, 1964; Chapter 3, “Symmetrical Bending of Circular Plates”. [Google Scholar]
- Barettin, D.; Madsen, S.; Lassen, B.; Willatzen, M. Computational methods for electromechanical fields in self-assembled quantum dots. Commun. Comput. Phys. 2012, 11, 797–830. [Google Scholar] [CrossRef]
- Barettin, D.; Lassen, B.; Willatzen, M. Electromechanical fields in GaN/AlN Wurtzite quantum dots. J. Phys. Conf. Ser. 2008, 107, 012001. [Google Scholar] [CrossRef]
- Barettin, D.; Platonov, A.V.; Pecchia, A.; Kats, V.N.; Cirlin, G.E.; Soshnikov, I.P.; Bouravleuv, A.D.; Besombes, L.; Mariette, H.; Auf der Maur, M.; et al. Model of a GaAs quantum dot embedded in a polymorph AlGaAs nanowire. IEEE J. Sel. Top. Quantum Electron. 2013, 19, 1–9. [Google Scholar] [CrossRef]
- Barettin, D.; Auf der Maur, M.; De Angelis, R.; Prosposito, P.; Casalboni, M.; Pecchia, A. Inter-dot strain field effect on the optoelectronic properties of realistic InP lateral quantum-dot molecules. J. Appl. Phys. 2015, 117, 094306. [Google Scholar] [CrossRef]
- Klein, C.A.; Cardinale, G.F. Young’s modulus and Poisson’s ratio of CVD diamond. Diam. Relat. Mater. 1993, 2, 918–923. [Google Scholar] [CrossRef]
- Hopcroft, M.A.; Nix, W.D.; Kenny, T.W. What is the Young’s Modulus of Silicon? J. Microelectromechanical Syst. 2010, 19, 229–238. [Google Scholar] [CrossRef]













| Sample | Diameter (µm) | PMIN (kPa) | PMAX (kPa) | Iph @ p = 0 (µA) | Amplitude (µA) | E/(1 − ν2) (GPa) | Figures |
|---|---|---|---|---|---|---|---|
| M0 | 400 | 80 | 330 | 14.9 | 2.4 | 1180 ± 120 | Figure 9a |
| M1 | 410 | 0 | 280 | 26 | 2.1 | 1070 ± 100 | Figure 11a |
| M2 | 340 | 0 | 500 | 24.2 | 1.9 | 1030 ± 120 | Figure 10, Figure 11a |
| M3 | 260 | 230 | 1900 | 17 | 2.9 | 1040 ± 160 | Figure 11b |
| M4 | 230 | 0 | 2800 | 22 | 2.1 | 1050 ± 180 | Figure 11b |
| M5 | 190 | 300 | 6800 | 19.4 | 2.4 | 1230 ± 260 | Figure 12 |
Publisher’s Note: MDPI stays neutral with regard to jurisdictional claims in published maps and institutional affiliations. |
© 2021 by the authors. Licensee MDPI, Basel, Switzerland. This article is an open access article distributed under the terms and conditions of the Creative Commons Attribution (CC BY) license (https://creativecommons.org/licenses/by/4.0/).
Share and Cite
Pettinato, S.; Barettin, D.; Sedov, V.; Ralchenko, V.; Salvatori, S. Fabry-Perot Pressure Sensors Based on Polycrystalline Diamond Membranes. Materials 2021, 14, 1780. https://doi.org/10.3390/ma14071780
Pettinato S, Barettin D, Sedov V, Ralchenko V, Salvatori S. Fabry-Perot Pressure Sensors Based on Polycrystalline Diamond Membranes. Materials. 2021; 14(7):1780. https://doi.org/10.3390/ma14071780
Chicago/Turabian StylePettinato, Sara, Daniele Barettin, Vadim Sedov, Victor Ralchenko, and Stefano Salvatori. 2021. "Fabry-Perot Pressure Sensors Based on Polycrystalline Diamond Membranes" Materials 14, no. 7: 1780. https://doi.org/10.3390/ma14071780
APA StylePettinato, S., Barettin, D., Sedov, V., Ralchenko, V., & Salvatori, S. (2021). Fabry-Perot Pressure Sensors Based on Polycrystalline Diamond Membranes. Materials, 14(7), 1780. https://doi.org/10.3390/ma14071780

