Zinc-Containing Effluent Treatment Using Shewanella xiamenensis Biofilm Formed on Zeolite
Abstract
1. Introduction
2. Materials and Methods
2.1. Effluents
2.2. Preparation of Biosorbent
2.3. Biosorption Experiments
2.4. Methods
3. Results
3.1. Sorbent Description

3.2. Sorption of Metal Ions from Synthetic Solutions
3.2.1. Influence of pH on the Removal of Metal Ions from Synthetic Solutions
3.2.2. Influence of Time on Metal Sorption
3.2.3. Influence of Zinc Concentration on Metal Sorption
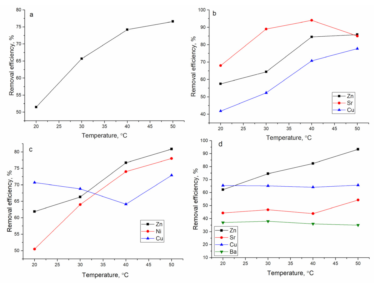
3.2.4. Influence of Temperature on Metal Sorption
3.3. Metal Sorption from Industrial Effluent
4. Conclusions
Supplementary Materials
Author Contributions
Funding
Institutional Review Board Statement
Informed Consent Statement
Data Availability Statement
Conflicts of Interest
References
- Baldermann, A.; Fleischhacker, Y.; Schmidthaler, S.; Wester, K.; Nachtnebel, M.; Eichinger, S. Removal of barium from solution by natural and iron(III) oxide-modified allophane, beidellite and zeolite rbents. Materials 2020, 13, 2582. [Google Scholar] [CrossRef]
- Rajczykowski, K.; Sałasińska, O.; Loska, K. Zinc Removal from the Aqueous Solutions by the Chemically Modified Biosorbents. Water Air Soil Pollut. 2018, 229, 1–7. [Google Scholar] [CrossRef]
- Salihi, I.U.; Kutty, S.R.M.; Isa, M.H.; Aminu, N. Zinc removal from aqueous solution using novel adsorbent MISCBA. J. Water Sanit. Hyg. Dev. 2016, 6, 377–388. [Google Scholar] [CrossRef]
- Zinicovscaia, I.; Yushin, N.; Shvetsova, M.; Frontasyeva, M. Zinc removal from model solution and wastewater by Arthrospira (Spirulina) Platensis biomass. Int. J. Phytoremediat. 2018, 20, 901–908. [Google Scholar] [CrossRef]
- Jurowski, K.; Szewczyk, B.; Nowak, G.; Piekoszewski, W. Biological consequences of zinc deficiency in the pathomechanisms of selected diseases. J. Biol. Inorg. Chem. 2014, 19, 1069–1079. [Google Scholar] [CrossRef]
- Zhang, X.; Hao, Y.; Wang, X.; Chen, Z. Rapid removal of zinc(II) from aqueous solutions using a mesoporous activated carbon prepared from agricultural waste. Materials 2017, 10, 1002. [Google Scholar] [CrossRef] [PubMed]
- Quiton, K.G.; Doma, B.; Futalan, C.M.; Wan, M.W. Removal of chromium(VI) and zinc(II) from aqueous solution using kaolin-supported bacterial biofilms of Gram-negative E. coli and Gram-positive Staphylococcus epidermidis. Sustain. Environ. Res. 2018, 28, 206–213. [Google Scholar] [CrossRef]
- Basak, G.; Lakshmi, V.; Chandran, P.; Das, N. Removal of Zn(II) from electroplating effluent using yeast biofilm formed on gravels: Batch and column studies. J. Environ. Health Sci. Eng. 2014, 12, 8. [Google Scholar] [CrossRef] [PubMed]
- Ng, I.S.; Ndive, C.I.; Zhou, Y.; Wu, X. Cultural optimization and metal effects of Shewanella xiamenensis BC01 growth and swarming motility. Bioresour. Bioprocess. 2015, 2, 28. [Google Scholar] [CrossRef]
- Ghorbanzadeh, N.; Kumar, R.; Lee, S.H.; Park, H.S.; Jeon, B.H. Impact of Shewanella oneidensis on heavy metals remobilization under reductive conditions in soil of Guilan Province, Iran. Geosci. J. 2018, 22, 423–432. [Google Scholar] [CrossRef]
- Zinicovscaia, I.; Safonov, A.; Boldyrev, K.; Gundorina, S.; Yushin, N.; Petuhov, O.; Popova, N. Selective metal removal from chromium-containing synthetic effluents using Shewanella xiamenensis biofilm supported on zeolite. Environ. Sci. Pollut. Res. 2020, 27, 10495–10505. [Google Scholar] [CrossRef]
- Mamba, B.B.; Dlamini, N.P.; Nyembe, D.W.; Mulaba-Bafubiandi, A.F. Metal adsorption capabilities of clinoptilolite and selected strains of bacteria from mine water. Phys. Chem. Earth 2009, 34, 830–840. [Google Scholar] [CrossRef]
- Zinicovscaia, I.; Yushin, N.; Grozdov, D.; Vergel, K.; Popova, N.; Artemiev, G.; Safonov, A. Metal removal from nickel-containing effluents using mineral-organic hybrid adsorbent. Materials 2020, 13, 4462. [Google Scholar] [CrossRef] [PubMed]
- Khosravi, A.; Javdan, M.; Yazdanpanah, G.; Malakootian, M. Removal of heavy metals by Escherichia coli (E. coli) biofilm placed on zeolite from aqueous solutions (case study: The wastewater of Kerman Bahonar Copper Complex). Appl. Water Sci. 2020, 10, 167. [Google Scholar] [CrossRef]
- Holub, M.; Balintova, M. Using of zeolite for copper and zinc removal under acidic conditions. Pollack Period. 2014, 9, 141–149. [Google Scholar] [CrossRef]
- Grouzdev, D.S.; Safonov, A.V.; Babich, T.L.; Tourova, T.P.; Krutkina, M.S.; Nazina, T.N. Draft genome sequence of a dissimilatory U(VI)-reducing bacterium, Shewanella xiamenensis strain DCB2-1, isolated from nitrate- and radionuclide-contaminated groundwater in Russia. Genome Announc. 2018, 6. [Google Scholar] [CrossRef] [PubMed]
- Lewis, S.W.; Agg, K.M.; Gutowski, S.J.; Ross, P. Forensic Sciences—Gunshot Residues. In Encyclopedia of Analytical Science, 2nd ed.; Elsevier Inc.: Amsterdam, The Netherlands, 2004; pp. 430–436. ISBN 9780123693976. [Google Scholar]
- Zinicovscaia, I.; Hramco, C.; Duliu, O.G.; Vergel, K.; Culicov, O.A.; Frontasyeva, M.V.; Duca, G. Air Pollution Study in the Republic of Moldova Using Moss Biomonitoring Technique. Bull. Environ. Contam. Toxicol. 2017, 98, 262–269. [Google Scholar] [CrossRef] [PubMed]
- Zinicovscaia, I.; Yushin, N.; Abdusamadzoda, D.; Grozdov, D.; Shvetsova, M. Efficient removal of metals from synthetic and real galvanic zinc-containing effluents by Brewer’s yeast Saccharomyces cerevisiae. Materials 2020, 13, 3624. [Google Scholar] [CrossRef]
- Kuznetsova, O.V.; Bychkova, Y.V.; Timerbaev, A.R. Development and Validation of a Sector-Field Inductively Coupled Plasma–Mass Spectrometry (ICP-MS) Method for Analyzing the Diagenesis-Designating Metals in Marine Sediments. Anal. Lett. 2020, 53, 563–573. [Google Scholar] [CrossRef]
- Zengin, G. Effective removal of zinc from an aqueous solution using Turkish leonardite-clinoptilolite mixture as a sorbent. Environ. Earth Sci. 2013, 70, 3031–3041. [Google Scholar] [CrossRef]
- Ramesh, S.T.; Rameshbabu, N.; Gandhimathi, R.; Nidheesh, P.V.; Srikanth Kumar, M. Kinetics and equilibrium studies for the removal of heavy metals in both single and binary systems using hydroxyapatite. Appl. Water Sci. 2012, 2, 187–197. [Google Scholar] [CrossRef]
- Salehizadeh, H.; Shojaosadati, S.A. Removal of metal ions from aqueous solution by polysaccharide produced from Bacillus firmus. Water Res. 2003, 37, 4231–4235. [Google Scholar] [CrossRef]
- Baldermann, A.; Grießbacher, A.C.; Baldermann, C.; Purgstaller, B.; Letofsky-Papst, I.; Kaufhold, S.; Dietzel, M. Removal of barium, cobalt, strontium, and zinc from solution by natural and synthetic allophane adsorbents. Geosciences 2018, 8, 309. [Google Scholar] [CrossRef]
- Mustapha, S.; Shuaib, D.T.; Ndamitso, M.M.; Etsuyankpa, M.B.; Sumaila, A.; Mohammed, U.M.; Nasirudeen, M.B. Adsorption isotherm, kinetic and thermodynamic studies for the removal of Pb(II), Cd(II), Zn(II) and Cu(II) ions from aqueous solutions using Albizia lebbeck pods. Appl. Water Sci. 2019, 9, 1–11. [Google Scholar] [CrossRef]
- Chou, W.L.; Wang, C.T.; Chang, W.C.; Chang, S.Y. Adsorption treatment of oxide chemical mechanical polishing wastewater from a semiconductor manufacturing plant by electrocoagulation. J. Hazard. Mater. 2010, 180, 217–224. [Google Scholar] [CrossRef]
- Hajahmadi, Z.; Younesi, H.; Bahramifar, N.; Khakpour, H.; Pirzadeh, K. Multicomponent isotherm for biosorption of Zn(II), CO(II) and Cd(II) from ternary mixture onto pretreated dried Aspergillus niger biomass. Water Resour. Ind. 2015, 11, 71–80. [Google Scholar] [CrossRef]
- Bellir, K.; Lehocine, M.B.; Meniai, A.H. Zinc removal from aqueous solutions by adsorption onto bentonite. Desalin. Water Treat. 2013, 51, 5035–5048. [Google Scholar] [CrossRef]
- Limcharoensuk, T.; Sooksawat, N.; Sumarnrote, A.; Awutpet, T.; Kruatrachue, M.; Pokethitiyook, P.; Auesukaree, C. Bioaccumulation and biosorption of Cd2+ and Zn2+ by bacteria isolated from a zinc mine in Thailand. Ecotoxicol. Environ. Saf. 2015, 122, 322–330. [Google Scholar] [CrossRef]
- Lameiras, S.; Quintelas, C.; Tavares, T. Biosorption of Cr (VI) using a bacterial biofilm supported on granular activated carbon and on zeolite. Bioresour. Technol. 2008, 99, 801–806. [Google Scholar] [CrossRef]
- Treto-Suárez, M.A.; Prieto-García, J.O.; Mollineda-Trujillo, Á.; Lamazares, E.; Hidalgo-Rosa, Y.; Mena-Ulecia, K. Kinetic study of removal heavy metal from aqueous solution using the synthetic aluminum silicate. Sci. Rep. 2020, 10, 1–12. [Google Scholar] [CrossRef]
- Yurekli, Y. Removal of heavy metals in wastewater by using zeolite nano-particles impregnated polysulfone membranes. J. Hazard. Mater. 2016, 309, 53–64. [Google Scholar] [CrossRef] [PubMed]
- Yushin, N.; Zinicovscaia, I.; Cepoi, L.; Chiriac, T.; Mitina, T. Study of chemistry of CR(VI)/Cr(III) biosorption from batch solutions and electroplating industrial effluent using cyanobacteria spirulina platensis. Rev. Roum. Chim. 2019, 64, 173–181. [Google Scholar] [CrossRef]
- Lu, C.; Liu, C.; Rao, G.P. Comparisons of sorbent cost for the removal of Ni2+ from aqueous solution by carbon nanotubes and granular activated carbon. J. Hazard. Mater. 2008, 151, 239–246. [Google Scholar] [CrossRef] [PubMed]







| Concentration, mg/L | |||||
|---|---|---|---|---|---|
| Synthetic Solutions | |||||
| System | Zn | Cu | Ni | Sr | Ba |
| Zn | 10 ± 0.3 | - | - | - | - |
| Zn/Sr/Cu | 10 ± 0.2 | 5 ± 0.04 | - | 1 ± 0.01 | - |
| Zn/Ni/Cu | 10 ± 0.3 | 2 ± 0.03 | 2 ± 0.02 | - | - |
| Zn/Sr/Cu/Ba | 10 ± 0.2 | 2 ± 0.06 | 2 ± 0.03 | - | 1 ± 0.02 |
| Industrial Effluent | |||||
| Effluent | 52.8 ± 0.8 | 0.06 ± 0.002 | 0.8 ± 0.02 | 0.34 ± 0.01 | 0.03 ± 0.001 |
| Element | Raw Zeolite | Modified Zeolite | Element | Raw Zeolite | Modified Zeolite |
|---|---|---|---|---|---|
| Concentration, µg/g | Concentration, µg/g | ||||
| Na | 13,000 ± 1000 | 8590 ± 500 | Sr | 66.2 ± 6 | 100 ± 8 |
| Mg | 6600 ± 600 | 7400 ± 800 | Rb | 217 ± 20 | 186 ± 15 |
| Al | 67,700 ± 1500 | 61,300 ± 3000 | Sb | 0.25 ± 0.01 | 0.27 ± 0.02 |
| Si | 260,000 ± 26,000 | 270,000 ± 19,000 | Ba | 128 ± 10 | 205 ± 20 |
| Cl | <81 | 180 ± 25 | Cs | 7.57 ± 0.2 | n.d.* |
| K | 29,000 ± 2900 | 28,900 ± 3000 | Ce | 21.1 ± 2 | 15 ± 1.5 |
| Sc | 1.8 ± 0.06 | 1.9 ± 0.06 | Eu | 1.0 ± 0.08 | 0.6 ± 0.06 |
| Ca | 10,000 ± 800 | 18,000 ± 1800 | Gd | 3.6 ± 0.2 | n.d. |
| Mn | 350 ± 17 | 110 ± 7.5 | Tb | 0.4 ± 0.01 | 0.7 ± 0.03 |
| Fe | 8600 ± 600 | 7900 ± 500 | Yb | 2.1 ± 0.02 | 1.2 ± 0.01 |
| Zn | 60 ± 2.5 | 54 ± 2.0 | Hf | 6.3 ± 0.6 | 5.9 ± 0.04 |
| Br | 0.74 ± 0.02 | 0.98 ± 0.05 | Th | 17.1 ± 1.0 | 15.5 ± 0.7 |
| La | 12.5 ± 0.5 | 10 ± 0.6 | - | - | - |
| Model | Parameter | System | |||
|---|---|---|---|---|---|
| Zn | Zn/Cu/Sr | Zn/Ni/Cu | Zn/Cu/Sr/Ba | ||
| Kinetic studies | |||||
| PSO | qe,cal, mg/g | 1.1 | 0.93 | 1.3 | 1.2 |
| k2, g/mg·min | 0.05 | 0.06 | 0.04 | 0.02 | |
| R2 | 0.99 | 0.99 | 0.98 | 0.98 | |
| Equilibrium Studies | |||||
| Langmuir | qm, mg/g | 6.5 | 3.4 | 3.7 | 3.4 |
| b, L/mg | 0.02 | 0.04 | 0.03 | 0.03 | |
| RL | 0.3–0.8 | 0.1–0.6 | 0.3–0.8 | 0.2–0.8 | |
| R2 | 0.99 | 0.95 | 0.98 | 0.99 | |
| Thermodynamic Studies | |||||
| ∆G°, kJ/mol | 293 K | −9.7 | −10.4 | −9.9 | −9.8 |
| 303 K | −10.4 | −10.6 | −10.4 | −10.6 | |
| 313 K | −11.1 | −11.3 | −11 | −11.2 | |
| 323 K | −11.8 | −12.1 | −11.6 | −11.8 | |
| ∆H°, kJ/mol | 11 | 11.6 | 7.4 | 8.1 | |
| ∆S°, J/mol·K | 70 | 33 | 59 | 61.5 | |
| R2 | 0.93 | 0.88 | 0.98 | 0.78 | |
| Sorbent | qmax, mg/g | Concentrations Range, mg/L | pH | Reference |
|---|---|---|---|---|
| Mineral-organic sorbent | 3.4–6.5 | 10–100 | 6.0 | Present study |
| Activated carbon | 103.8 | 0.005–0.025 mol/L | 5.2 | [6] |
| Yeast Saccharomyces cerevisiae | 9–17 | 10–100 | 3.0–6.0 | [19] |
| Escherichia coli biofilm supported on kaolin | 78 | 10–200 | 5.0 | [7] |
| Staphylococcus epidermidis supported on kaolin | 49 | 10–200 | 5.0 | [7] |
| Turkish leonardite-clinoptilolite mixture | 454.5 | 20–400 | 6.0 | [21] |
| Algerian bentonite | 1.74 | 1–60 | 8.0 | [28] |
| Zeolite | 4.3 | 50 | 4.0 | [15] |
Publisher’s Note: MDPI stays neutral with regard to jurisdictional claims in published maps and institutional affiliations. |
© 2021 by the authors. Licensee MDPI, Basel, Switzerland. This article is an open access article distributed under the terms and conditions of the Creative Commons Attribution (CC BY) license (https://creativecommons.org/licenses/by/4.0/).
Share and Cite
Zinicovscaia, I.; Yushin, N.; Grozdov, D.; Abdusamadzoda, D.; Safonov, A.; Rodlovskaya, E. Zinc-Containing Effluent Treatment Using Shewanella xiamenensis Biofilm Formed on Zeolite. Materials 2021, 14, 1760. https://doi.org/10.3390/ma14071760
Zinicovscaia I, Yushin N, Grozdov D, Abdusamadzoda D, Safonov A, Rodlovskaya E. Zinc-Containing Effluent Treatment Using Shewanella xiamenensis Biofilm Formed on Zeolite. Materials. 2021; 14(7):1760. https://doi.org/10.3390/ma14071760
Chicago/Turabian StyleZinicovscaia, Inga, Nikita Yushin, Dmitrii Grozdov, Daler Abdusamadzoda, Alexey Safonov, and Elena Rodlovskaya. 2021. "Zinc-Containing Effluent Treatment Using Shewanella xiamenensis Biofilm Formed on Zeolite" Materials 14, no. 7: 1760. https://doi.org/10.3390/ma14071760
APA StyleZinicovscaia, I., Yushin, N., Grozdov, D., Abdusamadzoda, D., Safonov, A., & Rodlovskaya, E. (2021). Zinc-Containing Effluent Treatment Using Shewanella xiamenensis Biofilm Formed on Zeolite. Materials, 14(7), 1760. https://doi.org/10.3390/ma14071760

