Incorporation of Obstacle Hardening into Local Approach to Cleavage Fracture to Predict Temperature Effects in the Ductile to Brittle Transition Regime
Abstract
1. Introduction
2. Methods
2.1. The Beremin Model
2.2. Proposed Model
2.3. Finite Element Analysis
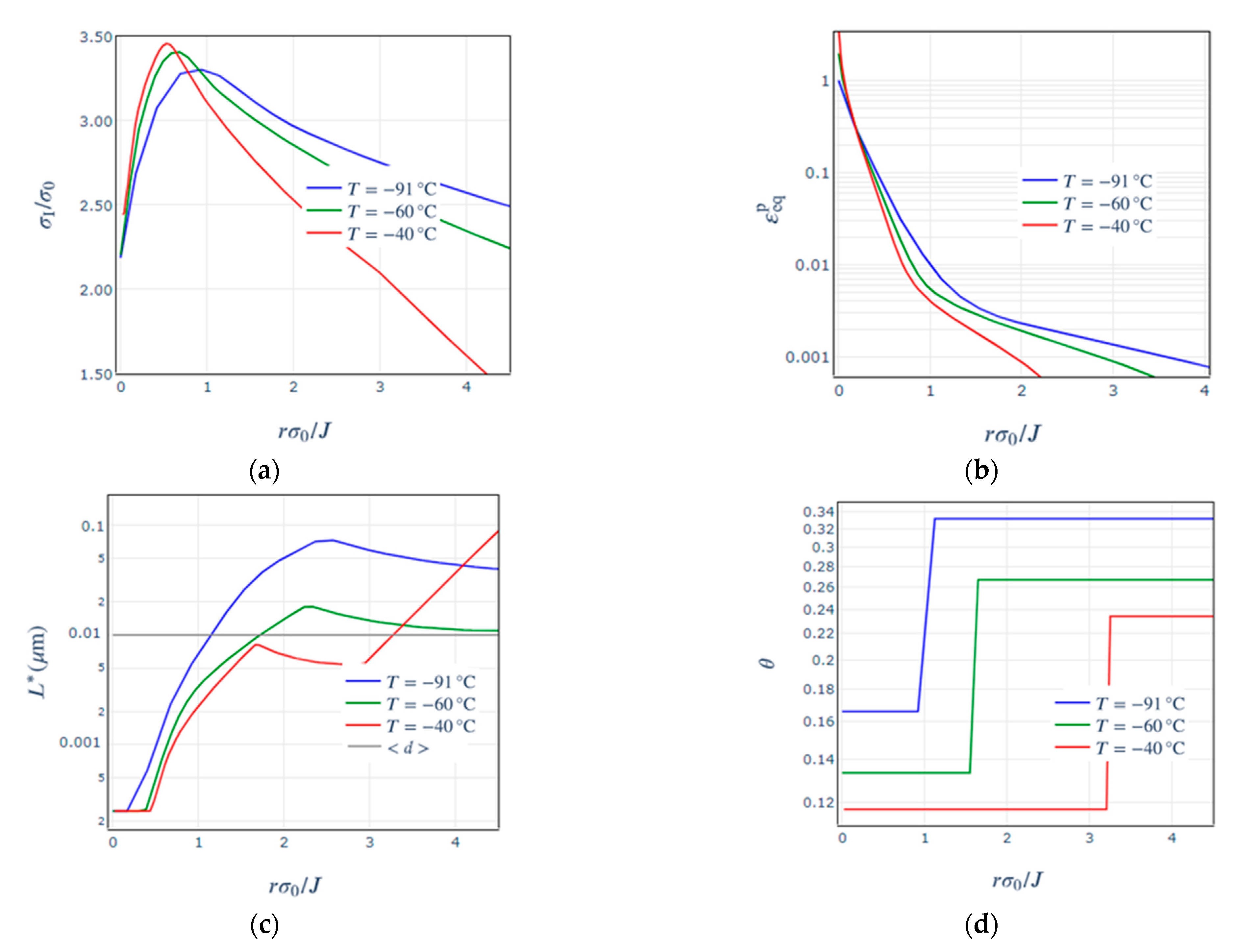
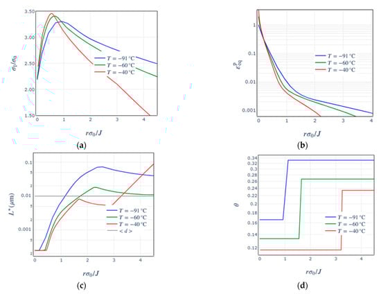
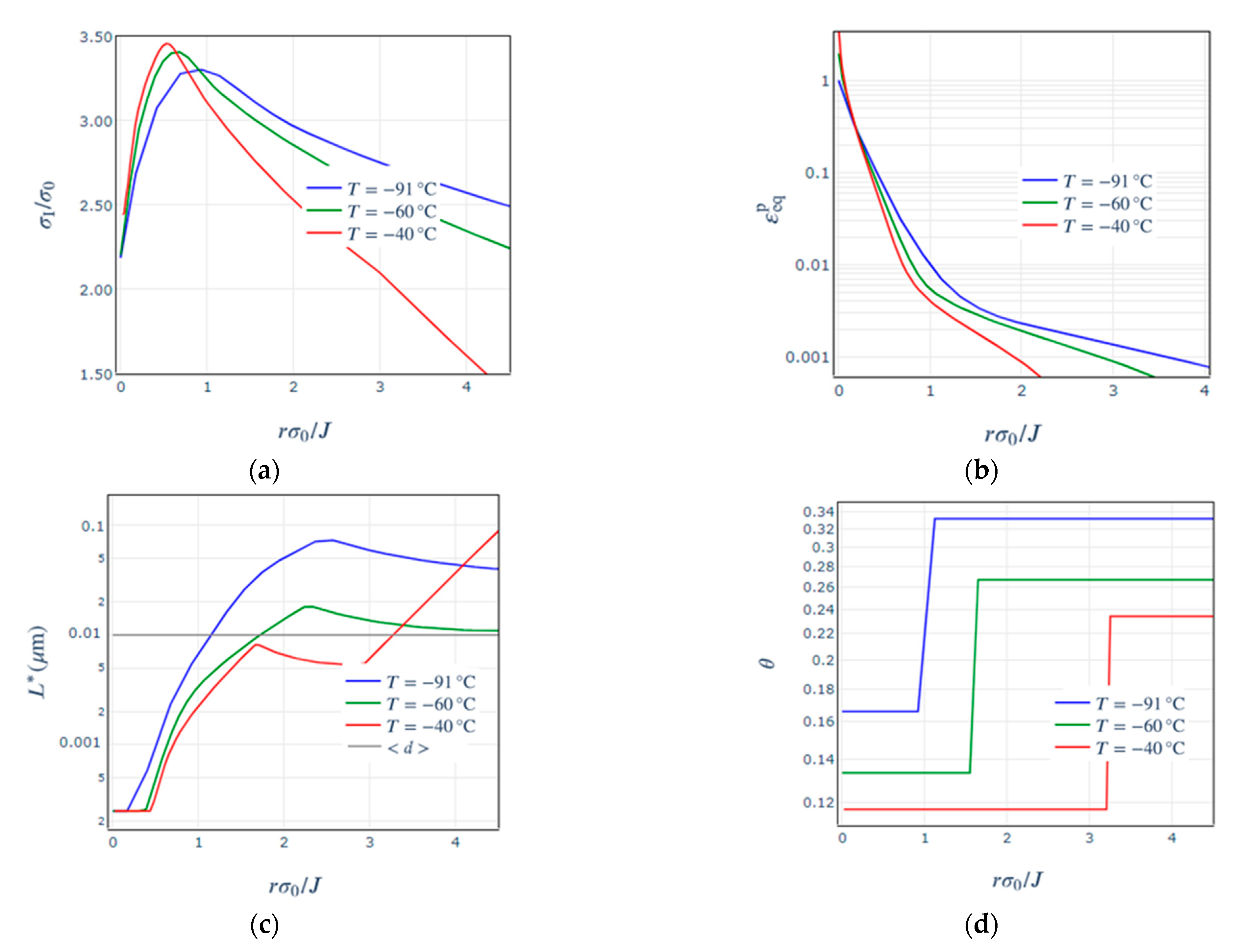
3. Results
4. Discussion
5. Conclusions
- An exponential correction to the density of micro-cracks eligible for cleavage, which is dependent on a material property, that changes with temperature, was proposed. It represents a thinning function of the Poisson process, which creates a new Poisson process with a subset of the points of the original Poisson process.
- The developed procedure for probability of cleavage estimation would only require experimental fracture toughness tests at a given temperature, and deformation properties at any other temperature of interest.
- Very good agreement was shown between the predicted and experimentally measured characteristic fracture toughness as well as the predicted and experimentally fitted probability distributions.
- The value of the work stems from the possibility of significant reduction in the necessary experimental fracture toughness testing.
- The validation of the model requires four to six deformation tests, and at least 30 fracture toughness tests at three constraint conditions with a ratio, of 0.5, 0.2 and 0.1.
- These would allow the prediction of cleavage toughness in the ductile to brittle transition regime using a decoupled model, which makes it advantageous for engineering purposes.
Author Contributions
Funding
Institutional Review Board Statement
Informed Consent Statement
Data Availability Statement
Acknowledgments
Conflicts of Interest
References
- Curry, D.A.; Knott, J.F. Effects of microstructure on cleavage fracture stress in steel. Met. Sci. 1978, 12, 511–514. [Google Scholar] [CrossRef]
- Mcmahon, C.J.; Ferriten, V. Initiation of cleavage in polycrystalline iron. Acta Metall. 1965, 13, 591–604. [Google Scholar] [CrossRef]
- Gurland, J. Observations on the fracture of cementite particles in a spheroidized 1.05 % C steel deformed at room temperature. Acta Metall. 1972, 20, 735–741. [Google Scholar] [CrossRef]
- Armstrong, R.W. Material grain size and crack size influences on cleavage fracturing. Philos. Trans. R. Soc. A Math. Phys. Eng. Sci. 2015, 373. [Google Scholar] [CrossRef]
- Roberts, S.; Noronha, S.; Wilkinson, A.; Hirsch, P. Modelling the initiation of cleavage fracture of ferritic steels. Acta Mater. 2002, 50, 1229–1244. [Google Scholar] [CrossRef]
- Tang, M.; Marian, J. Temperature and high strain rate dependence of tensile deformation behavior in single-crystal iron from dislocation dynamics simulations. Acta Mater. 2014, 70, 123–129. [Google Scholar] [CrossRef]
- Swinburne, T.D.; Dudarev, S.L. Kink-limited Orowan strengthening explains the brittle to ductile transition of irradiated and unirradiated bcc metals. Phys. Rev. Mater. 2018, 2, 73608. [Google Scholar] [CrossRef]
- Beremin, F.M. A local criterion for cleavage fracture of a nuclear pressure vessel steel. Metall. Trans. A 1983, 14, 2277–2287. [Google Scholar] [CrossRef]
- Tanguy, B.; Besson, J.; Piques, R.; Pineau, A. Ductile to brittle transition of an A508 steel characterized by Charpy impact test. Part II: Modeling of the Charpy transition curve. Eng. Fract. Mech. 2005, 72, 413–434. [Google Scholar] [CrossRef]
- Ruggieri, C.; Jivkov, A. A Local Approach to Cleavage Fracture Incorporating the Measured Statistics of Microcracks 2018. Available online: https://www.research.manchester.ac.uk/portal/files/70129677/CP2018_153_Ruggieri_Jivkov_Final.pdf (accessed on 1 February 2021).
- Petti, J.P.; Dodds, R.H. Calibration of the Weibull stress scale parameter, σu, using the Master Curve. Eng. Fract. Mech. 2005, 72, 91–120. [Google Scholar] [CrossRef]
- Wasiluk, B.; Petti, J.P.; Dodds, R.H. Temperature dependence of Weibull stress parameters: Studies using the Euro-material. Eng. Fract. Mech. 2006, 1046–1069. [Google Scholar] [CrossRef]
- Hutchinson, J.W.; Hutchinson, J.W. Generalizing J 2 flow theory: Fundamental issues in strain gradient plasticity. Acta Mech. Sin. 2012, 28, 1078–1086. [Google Scholar] [CrossRef]
- Rice, J.R.; Rosengren, G.F. Plane strain deformation near a crack tip in a power-law hardening material. J. Mech. Phys. Solids 1968, 16, 1–12. [Google Scholar] [CrossRef]
- Andrieu, A.; Pineau, A.; Besson, J.; Ryckelynck, D.; Bouaziz, O. Beremin model: Methodology and application to the prediction of the Euro toughness data set. Eng. Fract. Mech. 2012, 95, 102–117. [Google Scholar] [CrossRef]
- Wiesner, C.S.; Goldthorpe, M.R. The effect of temperature and specimen geometry on the parameters of the “local approach” to cleavage fracture. J. Phys. IV JP 1996, 6. [Google Scholar] [CrossRef]
- Yankova, M.S.; Jivkov, A.P.; Patel, R.; Sherry, A.H. Using local approaches to fracture to quantify the local conditions during the ductile-to-brittle transition in ferritic steels. In Proceedings of the D2-Fracture Mechanics and Structural Integrity, SMiRT-25, IASMiRT, Charlotte, NC, USA, 4–9 August 2019. [Google Scholar]
- Heerens, J.; Hellmann, D. Development of the Euro fracture toughness dataset. Eng. Fract. Mech. 2002, 69, 421–449. [Google Scholar] [CrossRef]
- Wallin, K.; Saario, T.; Törrönen, K. Statistical model for carbide induced brittle fracture in steel. Met. Sci. 1984, 18, 13–16. [Google Scholar] [CrossRef]
- Ruggieri, C.; Dodds, R.H. A local approach to cleavage fracture modeling: An overview of progress and challenges for engineering applications. Eng. Fract. Mech. 2018, 187, 381–403. [Google Scholar] [CrossRef]
- Kingman, J.F.C. Poisson Processes; Oxford University Press: New York, NY, USA, 2002. [Google Scholar]
- Zhao, X.; Lidbury, D.; da Fonseca, J.Q.; Sherry, A.; Neu, R.; Wallin, K.; Thompson, S.R.; Dean, S.W. Introducing Heterogeneity into Brittle Fracture Modeling of a 22NiMoCr37 Ferritic Steel Ring Forging. J. ASTM Int. 2008, 5, 101562. [Google Scholar] [CrossRef]
- James, P.M.M.; Ford, M.; Jivkov, A.P.P. A novel particle failure criterion for cleavage fracture modelling allowing measured brittle particle distributions. Eng. Fract. Mech. 2014, 121–122, 98–115. [Google Scholar] [CrossRef]
- Abaqus/Standard 2017; Dassault Systemes Simulia Corp, 2017. Available online: https://www.4realsim.com/documentos/pdf/abaqus-standard-2017-datasheet.pdf (accessed on 1 February 2021).
- Jivkov, A.P.; Ford, M.; Yankova, M.; Sarzosa, D.; Ruggieri, C. Progress and challenges with local approaches to cleavage fracture. Procedia Struct. Integr. 2019, 23, 39–44. [Google Scholar] [CrossRef]
- ASTM E399-20a, Standard Test Method for Linear-Elastic Plane-Strain Fracture Toughness KIc of Metallic Materials; ASTM International: West Conshohocken, PA, USA, 2020. Available online: www.astm.org (accessed on 20 December 2020).






| T (°C) | (Nmm−1) | (Nmm−1) | (Nmm−1) | (Nmm−1) |
|---|---|---|---|---|
| −91 | 57.6 | - | 41.0 | 57.5 |
| −60 | 112.3 | 153.8 | - | 153.8 |
| −40 | 234.9 | 237.6 | 177.2 | - |
Publisher’s Note: MDPI stays neutral with regard to jurisdictional claims in published maps and institutional affiliations. |
© 2021 by the authors. Licensee MDPI, Basel, Switzerland. This article is an open access article distributed under the terms and conditions of the Creative Commons Attribution (CC BY) license (http://creativecommons.org/licenses/by/4.0/).
Share and Cite
Yankova, M.S.; Jivkov, A.P.; Patel, R. Incorporation of Obstacle Hardening into Local Approach to Cleavage Fracture to Predict Temperature Effects in the Ductile to Brittle Transition Regime. Materials 2021, 14, 1224. https://doi.org/10.3390/ma14051224
Yankova MS, Jivkov AP, Patel R. Incorporation of Obstacle Hardening into Local Approach to Cleavage Fracture to Predict Temperature Effects in the Ductile to Brittle Transition Regime. Materials. 2021; 14(5):1224. https://doi.org/10.3390/ma14051224
Chicago/Turabian StyleYankova, Maria S., Andrey P. Jivkov, and Rajesh Patel. 2021. "Incorporation of Obstacle Hardening into Local Approach to Cleavage Fracture to Predict Temperature Effects in the Ductile to Brittle Transition Regime" Materials 14, no. 5: 1224. https://doi.org/10.3390/ma14051224
APA StyleYankova, M. S., Jivkov, A. P., & Patel, R. (2021). Incorporation of Obstacle Hardening into Local Approach to Cleavage Fracture to Predict Temperature Effects in the Ductile to Brittle Transition Regime. Materials, 14(5), 1224. https://doi.org/10.3390/ma14051224

