Improved Breakdown Strength of Polypropylene Film by Polycyclic Compounds Addition for Power Capacitors
Abstract
1. Introduction
2. Materials and Methods
3. Results
3.1. Sample Characteristics
3.2. DC Breakdown Strength
4. Discussion
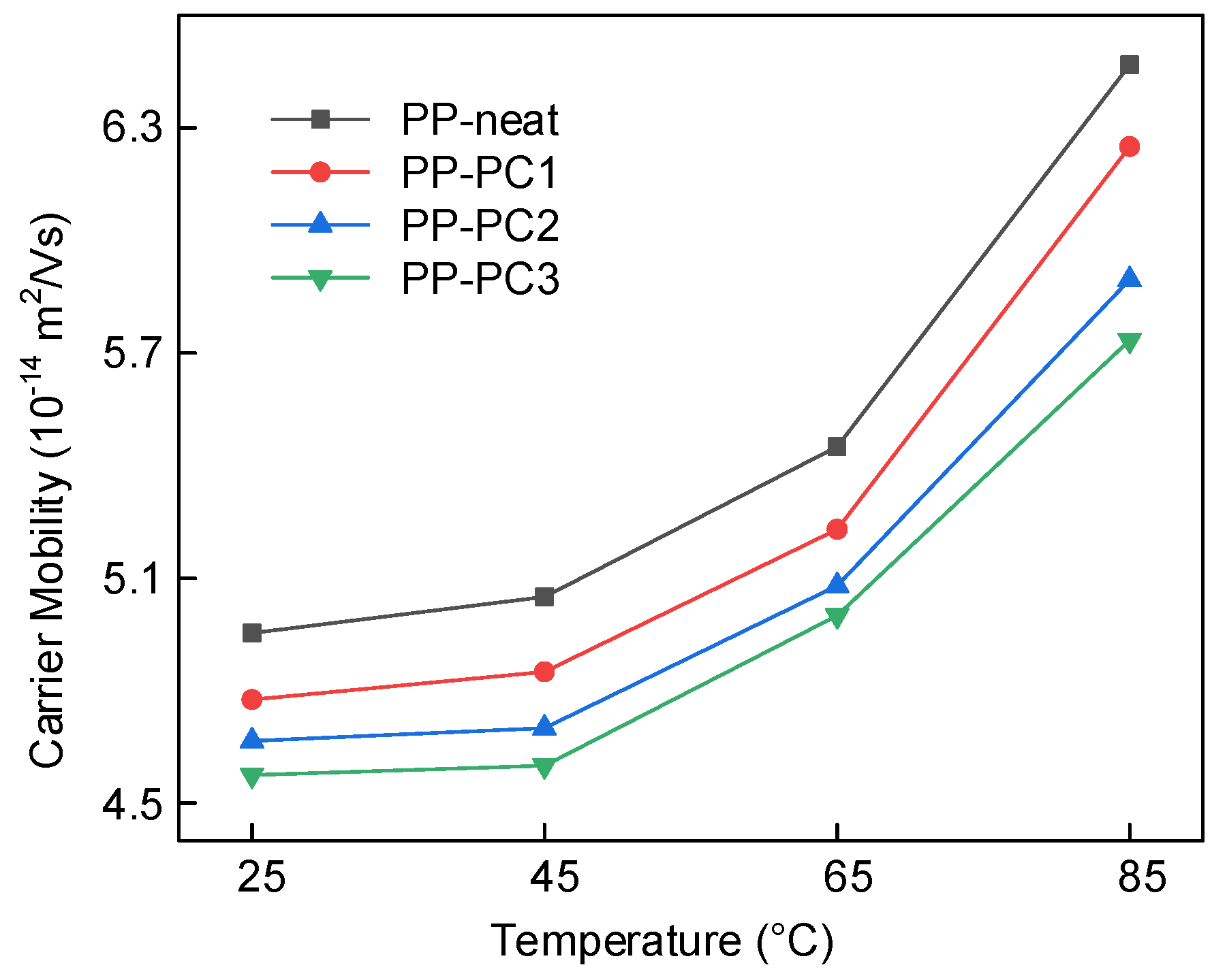
4.1. Effect of Deep Traps on DC Conductivity
4.2. Effect of Polycyclic Compounds on Breakdown Properties
5. Conclusions
Author Contributions
Funding
Data Availability Statement
Conflicts of Interest
References
- Xiao, Y.; Peng, L. Submodule capacitance requirement reduction with capacitor voltage ripple suppression in MMC. IET Gener. Transm. Distrib. 2020, 14, 1942–1951. [Google Scholar] [CrossRef]
- Yang, S.; Bryant, A.; Mawby, P.; Xiang, D.; Ran, L.; Tavner, P. An Industry-Based Survey of Reliability in Power Electronic Converters. IEEE Trans. Ind. Appl. 2011, 47, 1441–1451. [Google Scholar] [CrossRef]
- Wang, H.; Blaabjerg, F. Reliability of Capacitors for DC-Link Applications in Power Electronic Converters—An Overview. IEEE Trans. Ind. Appl. 2014, 50, 3569–3578. [Google Scholar] [CrossRef]
- Choi, U.-M.; Blaabjerg, F.; Lee, K.-B. Study and Handling Methods of Power IGBT Module Failures in Power Electronic Converter Systems. IEEE Trans. Power Electron. 2015, 30, 2517–2533. [Google Scholar] [CrossRef]
- Makdessi, M.; Sari, A.; Venet, P.; Bevilacqua, P.; Joubert, C. Accelerated Ageing of Metallized Film Capacitors Under High Ripple Currents Combined with a DC Voltage. IEEE Trans. Power Electron. 2015, 30, 2435–2444. [Google Scholar] [CrossRef]
- Kahouli, A.; Gallot-Lavallée, O.; Rain, P.; Lesaint, O.; Heux, L.; Guillermin, C.; Lupin, J. Structure effect of thin film polypropylene view by dielectric spectroscopy and X-ray diffraction: Application to dry type power capacitors. J. Appl. Polym. Sci. 2015, 132, 42602. [Google Scholar] [CrossRef]
- Tan, D.; Zhang, L.; Chen, Q.; Irwin, P.C. High-Temperature Capacitor Polymer Films. J. Electron. Mater. 2014, 43, 4569–4575. [Google Scholar] [CrossRef]
- Reed, C.W.; Cichanowskil, S.W. The fundamentals of aging in HV polymer-film capacitors. IEEE Trans. Dielectr. Electr. Insul. 1994, 1, 904–922. [Google Scholar] [CrossRef]
- Umran, H.M.; Wang, F.; He, Y. Ageing: Causes and effects on the reliability of polypropylene film used for HVDC capac-itor. IEEE Access 2020, 8, 40413–40430. [Google Scholar] [CrossRef]
- Kurimský, J.; Kosterec, M.; Vargová, B. Breakdown voltage of polypropylene film during DC and thermal ageing. In Proceedings of the 2017 18th International Scientific Conference on Electric Power Engineering (EPE), Kouty and Desnou, Czech Republic, 17–19 May 2017; IEEE: Piscataway, NJ, USA, 2017. [Google Scholar]
- Li, H.; Li, Z.; Xu, Z.; Lin, F.; Wang, B.; Li, H.; Zhang, Q.; Wang, W.; Huang, X. Electric field and temperature dependence of electrical conductivity in biaxially oriented pol-ypropylene films. IEEE Trans. Plasma Sci. 2014, 42, 3585–3591. [Google Scholar] [CrossRef]
- Ho, J.; Jow, T.R. High field conduction in biaxially oriented polypropylene at elevated temperature. IEEE Trans. Dielectr. Electr. Insul. 2012, 19, 990–995. [Google Scholar] [CrossRef]
- Liang, Y.; Wang, D.; Gao, L.; Liu, D. Calculation of Temperature Field in Power Capacitor. IEEE Trans. Ind. Electron. 2015, 62, 2788–2794. [Google Scholar] [CrossRef]
- Yamano, Y. Roles of polycyclic compounds in increasing breakdown strength of LDPE film. IEEE Trans. Dielectr. Electr. Insul. 2006, 13, 773–781. [Google Scholar] [CrossRef]
- Zhang, G.; Nam, C.; Petersson, L.; Jämbeck, J.; Hillborg, H.; Chung, T.C.M. Increasing polypropylene high temperature stability by blending polypropyl-ene-bonded hindered phenol antioxidant. Macromolecules 2018, 51, 1927–1936. [Google Scholar] [CrossRef]
- Ritamäki, M.; Rytöluoto, I.; Lahti, K.; Karttunen, M. Effects of thermal aging on the characteristic breakdown behavior of Nano-SiO2-BOPP and BOPP films. In Proceedings of the IEEE 11th International Conference on the Properties and Applications of Dielectric Ma-terials (ICPADM), Sydney, NSW, Australia, 19–22 July 2015; IEEE: Piscataway, NJ, USA, 2015. [Google Scholar]
- Zhu, L.; Du, B.; Li, Z.; Li, H.; Hou, K. Polycyclic Compounds Affecting Electrical Tree Growth in Polypropylene Under Ambient Temperature. IEEE Access 2020, 8, 8886–8898. [Google Scholar] [CrossRef]
- Hou, Z.H.; Du, B.X.; Li, Z.L.; Li, J. Effects of radical scavenger on space charge accumulation of PP/ULDPE composites for HVDC cable insulation. IEEE Trans. Dielectr. Electr. Insul. 2020, 27, 989–997. [Google Scholar] [CrossRef]
- Du, B.X.; Hou, Z.H.; Li, J.; Li, Z.L. Effect of graphene nanoplatelets on space charge and breakdown strength of PP/ULDPE blends for HVDC cable insulation. IEEE Trans. Dielectr. Electr. Insul. 2018, 25, 2405–2412. [Google Scholar] [CrossRef]
- Li, J.; Liang, H.; Xiao, M.; Du, B.; Takada, T. Mechanism of deep trap sites in epoxy/graphene nanocomposite using quantum chemical calculation. IEEE Trans. Dielectr. Electr. Insul. 2019, 26, 1577–1580. [Google Scholar] [CrossRef]
- Takada, T.; Tohmine, T.; Tanaka, Y.; Li, J. Space charge accumulation in double-layer dielectric systems—measurement methods and quantum chemical calculations. IEEE Electr. Insul. Mag. 2019, 35, 36–46. [Google Scholar] [CrossRef]
- Kao, K.C. New theory of electrical discharge and breakdown in low-mobility condensed insulators. J. Appl. Phys. 1984, 55, 752–755. [Google Scholar] [CrossRef]
- Zhou, T.-C.; Chen, G.; Liao, R.-J.; Xu, Z. Charge trapping and detrapping in polymeric materials: Trapping parameters. J. Appl. Phys. 2011, 110, 043724. [Google Scholar] [CrossRef]
- Perlman, M.M.; Sonnonstine, T.J.; Pierre, J.A.S. Drift mobility determinations using surface-potential decay in insulators. J. Appl. Phys. 1976, 47, 5016–5021. [Google Scholar] [CrossRef]









| Designation | Composition |
|---|---|
| PP-neat | PP film |
| PC1 | Benzoin |
| PC2 | 4-benzoylbiphenyl |
| PC3 | 4,4′-Bis (dimethyl amino) benzyl |
| PP-PC1 | PP film modified by benzoin |
| PP-PC2 | PP film modified by 4-benzoylbiphenyl |
| PP-PC3 | PP film modified by 4,4′-bis (dimethyl amino) benzyl |
| Sample | Tm (°C) | Tc (°C) | Xc (%) |
|---|---|---|---|
| PP-neat | 167.48 | 115.31 | 35.13 |
| PP-PC1 | 167.62 | 114.53 | 35.32 |
| PP-PC2 | 169.60 | 114.60 | 34.11 |
| PP-PC3 | 167.56 | 114.91 | 36.19 |
| Energy Level Parameters | PP-Neat | PC1 | PC2 | PC3 |
|---|---|---|---|---|
| Electron affinity χ (eV) | −2.24 | 1.55 | 1.82 | 2.84 |
| Ionization energy φi (eV) | 7.43 | 6.51 | 6.39 | 6.6 |
| Band gap (eV) | 9.67 | 4.96 | 4.57 | 3.76 |
Publisher’s Note: MDPI stays neutral with regard to jurisdictional claims in published maps and institutional affiliations. |
© 2021 by the authors. Licensee MDPI, Basel, Switzerland. This article is an open access article distributed under the terms and conditions of the Creative Commons Attribution (CC BY) license (http://creativecommons.org/licenses/by/4.0/).
Share and Cite
Xu, R.; Xing, J.; Du, B.; Xiao, M.; Li, J. Improved Breakdown Strength of Polypropylene Film by Polycyclic Compounds Addition for Power Capacitors. Materials 2021, 14, 1185. https://doi.org/10.3390/ma14051185
Xu R, Xing J, Du B, Xiao M, Li J. Improved Breakdown Strength of Polypropylene Film by Polycyclic Compounds Addition for Power Capacitors. Materials. 2021; 14(5):1185. https://doi.org/10.3390/ma14051185
Chicago/Turabian StyleXu, Ranran, Jiwen Xing, Boxue Du, Meng Xiao, and Jin Li. 2021. "Improved Breakdown Strength of Polypropylene Film by Polycyclic Compounds Addition for Power Capacitors" Materials 14, no. 5: 1185. https://doi.org/10.3390/ma14051185
APA StyleXu, R., Xing, J., Du, B., Xiao, M., & Li, J. (2021). Improved Breakdown Strength of Polypropylene Film by Polycyclic Compounds Addition for Power Capacitors. Materials, 14(5), 1185. https://doi.org/10.3390/ma14051185

