Processability and Mechanical Properties of Thermoplastic Polylactide/Polyhydroxybutyrate (PLA/PHB) Bioblends
Abstract
1. Introduction
2. Materials and Methods
2.1. Reagents
2.2. Samples Preparation
2.3. Measurement of Mixing Energy
2.4. Differential Scanning Calorimetry
2.5. Melt Flow Rate Determination
2.6. Mechanical Properties
2.7. Dynamic Mechanical Analysis
2.8. Surface Characterization of Polymer Blends
3. Results
3.1. Measurement of Mixing Energy
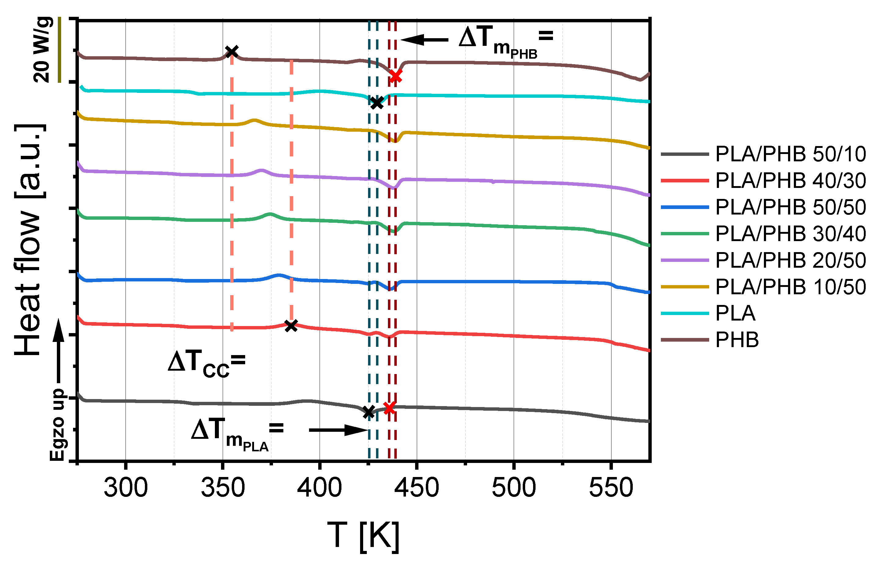
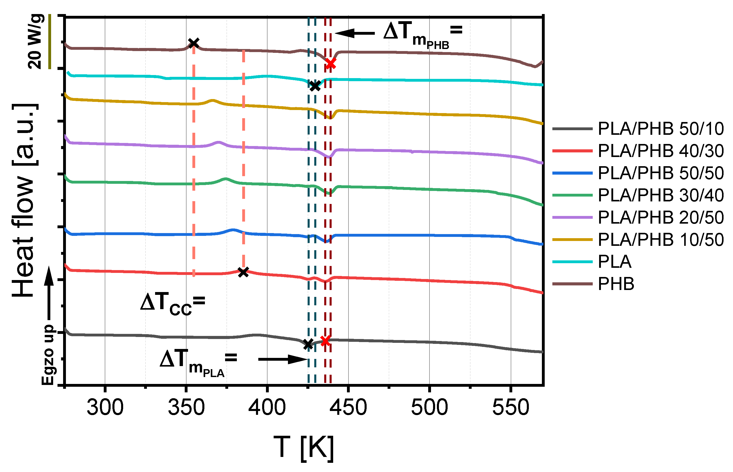
3.2. Differential Scanning Calorimetry (DSC) Analysis
3.3. Melt Flow Rate Determination
3.4. Mechanical Properties
3.5. Dynamic Mechanical Analysis (DMA)
3.6. Surface Characterization of Polymer Blends
4. Conclusions
Author Contributions
Funding
Institutional Review Board Statement
Informed Consent Statement
Data Availability Statement
Conflicts of Interest
References
- Tábi, T. The application of the synergistic effect between the crystal structure of poly(lactic acid) (PLA) and the presence of ethylene vinyl acetate copolymer (EVA) to produce highly ductile PLA/EVA blends. J. Therm. Anal. Calorim. 2019, 138, 1287–1297. [Google Scholar] [CrossRef]
- Katiyar, V. Non-isothermal degradation kinetics of P.LA-functionalized gum (fG) biocomposite with dicumyl peroxide (DCP). J. Therm. Anal. Calorim. 2019, 138, 195–210. [Google Scholar]
- Kelnar, I.; Kratochvíl, J.; Kaprálková, L. Crystallization and thermal properties of melt-drawn PCL/PLA microfibrillar composites. J. Therm. Anal. Calorim. 2016, 124, 799–805. [Google Scholar] [CrossRef]
- Luyt, A.; Kelnar, I. Effect of blend ratio and nanofiller localization on the thermal degradation of graphite nanoplatelets-modified PLA/PCL. J. Therm. Anal. Calorim. 2018, 136, 2373–2382. [Google Scholar] [CrossRef]
- Bubeck, R.A.; Merrington, A.; Dumitrascu, A.; Smith, P.B. Thermal analyses of poly(lactic acid) PLA and micro-ground paper blends. J. Therm. Anal. Calorim. 2018, 131, 309–316. [Google Scholar] [CrossRef]
- Penczek, S.; Petrula, J.; Lewiński, P. Polimery z odnawialnych surowców, polimery biodegradowalne. Polimery 2013, 58, 833–958. [Google Scholar]
- Jayasekara, R.; Harding, I.H.; Bowater, I.C.; Lonergan, G. Biodegradability of a Selected Range of Polymers and Polymer Blends and Standard Methods for Assessment of Biodegradation. J. Polym. Environ. 2005, 13, 231–251. [Google Scholar] [CrossRef]
- Wang, S.; Chen, W.; Xiang, H.; Yang, J.; Zhou, Z.; Zhu, M. Modification and Potential Application of Short-Chain-Length Polyhydroxyalkanoate (SCL-PHA). Polymers 2016, 8, 273. [Google Scholar] [CrossRef]
- Wu, Q.; Wang, Y.; Chen, G.-Q. Medical Application of Microbial Biopolyesters Polyhydroxyalkanoates. Artif. Cells Blood Substit. Biotechnol. 2009, 37, 1–12. [Google Scholar] [CrossRef]
- Sorrentino, A.; Gorrasi, G.; Vittoria, V. Potential perspectives of bio-nanocomposites for food packaging applications. Trends Food Sci. Technol. 2007, 18, 84–95. [Google Scholar] [CrossRef]
- Joshi, J.R.; Patel, R.P. Role of biodegradable polymers in drug delivery. Int. J. Curr. Pharm. Res. 2012, 4, 74–81. [Google Scholar]
- Chiulan, I.; Frone, A.N.; Brandabur, C.; Panaitescu, D.M. Recent Advances in 3D Printing of Aliphatic Polyesters. Bioengineering 2017, 5, 2. [Google Scholar] [CrossRef] [PubMed]
- Nocita, D.; Forte, G.; Drakopoulos, S.X.; Visco, A.; Gianporcaro, A.; Ronca, S. Processing and characterization of bio-polyester reactive blends: From thermoplastic blends to cross-linked networks. Polymer 2017, 132, 252–263. [Google Scholar] [CrossRef]
- Malinconico, M.; Cerruti, P.; Santagata, G.; Immirzi, B. Natural Polymers and Additives in Commodity and Specialty Applications: A Challenge for the Chemistry of Future. Macromol. Symp. 2014, 337, 124–133. [Google Scholar] [CrossRef]
- Zhang, M.; Thomas, N.L. Blending polylactic acid with polyhydroxybutyrate; the effect on thermal, mechanical, and biodegradation properties. Adv. Polym. Technol. 2011, 30, 67–79. [Google Scholar] [CrossRef]
- Topkanlo, H.A.; Ahmandi, Z.; Taromi, F.A. An in-depth study on crystallization kinetics of PET/PLA blends. Iran Polym. J. 2017, 27, 13–22. [Google Scholar] [CrossRef]
- Ploypetchara, N.; Suppakul, P.; Atong, D.; Pechyen, C. Blend of polypropylene/poly(lactic acid) for medical packaging application: Physicochemical, thermal, mechanical, and barrier properties. Energy Procedia 2014, 56, 201–210. [Google Scholar] [CrossRef]
- Feng F, Ye LStructu and Property of Polylactide/Polyamide Blends. J. Macromol. Sci. B 2010, 49, 1117–1127. [CrossRef]
- Al-Itry, R.; Lamnawar, K.; Maazouz, A. Biopolymer Blends Based on Poly (lactic acid): Shear and Elongation Rheology/Structure/Blowing Process Relationships. Polymers 2015, 7, 939–962. [Google Scholar] [CrossRef]
- Tănse, E.E.; Popa, M.E.; Râpa, M.; Popa, O. Preparation and characterization of biopolymer blends based on polyvinyl alcohol and starch. Rom. Biotechnol. Lett. 2015, 20, 10306–10315. [Google Scholar]
- Imre, B.; Pukánszky, B. Compatibilization in bio-based and biodegradable polymer blends. Eur. Polym. J. 2013, 49, 1215–1233. [Google Scholar] [CrossRef]
- Abdelwahab, M.A.; Flynn, A.; Chiou, B.S.; Imam, S.; Orts, W. Thermal, mechanical and morphological characterization of plasticized PLA-PHB blends. Polym. Degrad. Stabil. 2012, 97, 1822–1828. [Google Scholar] [CrossRef]
- Hu, Y.; Daoud, W.A.; Cheuk, K.K.L.; Lin, C.S.K. Newly Developed Techniques on Polycondensation, Ring-Opening Polymerization and Polymer Modification: Focus on Poly(Lactic Acid). Materials 2016, 9, 133. [Google Scholar] [CrossRef]
- Sangeetha, V.H.; Deka, H.; Varghese, T.O.; Nayak, S.K. State of the Art and Future Prospectives of Poly(Lactic Acid) Based Blends and Composites. Polym. Compos. 2016, 39, 1–21. [Google Scholar] [CrossRef]
- Farah, S.; Anderson, D.G.; Langer, R. Physical and mechanical properties of PLA, and their functions in widespread applications—A comprehensive review. Adv. Drug Deliv. Rev. 2016, 107, 367–392. [Google Scholar] [CrossRef] [PubMed]
- Tang, X.Z.; Kumar, P.; Alvi, S.; Sandeep, K.P. Recent Advances in Biopolymers and Biopolymer-Based Nanocomposites for Food Packaging Materials. Crit. Rev. Food Sci. 2012, 52, 426–442. [Google Scholar] [CrossRef] [PubMed]
- Armentano, I.; Fortunati, E.; Burgos, N.; Dominici, F.; Luzi, F.; Fiori, S.; Jiménez, A.; Yoon, K.; Ahn, J.; Kang, S.; et al. Processing and characterization of plasticized PLA/PHB blends for biodegradable multiphase systems. eXPRESS Polym. Lett. 2015, 9, 583–596. [Google Scholar] [CrossRef]
- Arrieta, M.P.; Samper, M.D.; Aldas, M.; López, J. On the Use of PLA-PHB Blends for Sustainable Food Packaging Applications. Materials 2017, 10, 1008. [Google Scholar] [CrossRef]
- Plavec, R.; Hlaváčiková, S.; Omaníková, L.; Feranc, J.; Vanovčanová, Z.; Tomanová, K.; Bočkaj, J.; Kruželák, J.; Medlenová, E.; Gálisová, I.; et al. Recycling possibilities of bioplastics based on PLA/PHB blends. Polym. Test. 2020, 92, 106880. [Google Scholar]
- Park, J.W.; Doi, Y.; Iwata, T. Uniaxial Drawing and Mechanical Properties of Poly[(R)-3-hydroxybutyrate]/Poly(L-lactic acid) Blends. Biomacromolecules 2004, 5, 1557–1566. [Google Scholar] [CrossRef] [PubMed]
- WinMix, version 3.0.0; Software for Measuring Mixing Process; Brabender® GmbH & Co. KG: Duisburg, Germany, 2017.








| Ingredient | Polymer Blend (Mass Ratio) | ||||||||
|---|---|---|---|---|---|---|---|---|---|
| Polylactide (PLA) | 100 | - | 50 | 50 | 40 | 50 | 30 | 20 | 10 |
| Polyhydroxybutyrate (PHB) | - | 100 | 10 | 20 | 30 | 50 | 40 | 50 | 50 |
| Sample | PHB Content [%] | Tg [K] | ΔHcc [J/g] | Tcc [K] | ΔHm [J/g] | Tm [K] |
|---|---|---|---|---|---|---|
| PLA | 0 | 335 | 14.6 | 400 | 15.6 | 429 |
| PHB | 100 | 317 | 15.4 | 355 | 33.9 | 439 |
| PLA/PHB 50/10 | 17 | 332 | 23.1 | 394 | 19.8 | 426 |
| PLA/PHB 40/30 | 43 | 334 | 22.4 | 385 | 23.2 | 435 |
| PLA/PHB 50/50 | 50 | 331 | 22.4 | 379 | 26.0 | 436 |
| PLA/PHB 30/40 | 57 | 329 | 19.5 | 374 | 24.8 | 438 |
| PLA/PHB 20/50 | 71 | 327 | 18.4 | 370 | 28.8 | 438 |
| PLA/PHB 10/50 | 83 | 325 | 17.6 | 366 | 30.4 | 438 |
Publisher’s Note: MDPI stays neutral with regard to jurisdictional claims in published maps and institutional affiliations. |
© 2021 by the authors. Licensee MDPI, Basel, Switzerland. This article is an open access article distributed under the terms and conditions of the Creative Commons Attribution (CC BY) license (http://creativecommons.org/licenses/by/4.0/).
Share and Cite
Olejnik, O.; Masek, A.; Zawadziłło, J. Processability and Mechanical Properties of Thermoplastic Polylactide/Polyhydroxybutyrate (PLA/PHB) Bioblends. Materials 2021, 14, 898. https://doi.org/10.3390/ma14040898
Olejnik O, Masek A, Zawadziłło J. Processability and Mechanical Properties of Thermoplastic Polylactide/Polyhydroxybutyrate (PLA/PHB) Bioblends. Materials. 2021; 14(4):898. https://doi.org/10.3390/ma14040898
Chicago/Turabian StyleOlejnik, Olga, Anna Masek, and Jakub Zawadziłło. 2021. "Processability and Mechanical Properties of Thermoplastic Polylactide/Polyhydroxybutyrate (PLA/PHB) Bioblends" Materials 14, no. 4: 898. https://doi.org/10.3390/ma14040898
APA StyleOlejnik, O., Masek, A., & Zawadziłło, J. (2021). Processability and Mechanical Properties of Thermoplastic Polylactide/Polyhydroxybutyrate (PLA/PHB) Bioblends. Materials, 14(4), 898. https://doi.org/10.3390/ma14040898

