Synthesis and Characterization of N-Substituted Polyether-Block-Amide Copolymers
Abstract
1. Introduction
2. Materials and Methods
2.1. Materials
2.2. Characterization Techniques
2.2.1. Fourier-Transform Infrared Spectroscopy (FT-IR)
2.2.2. Nuclear Magnetic Resonance (NMR)
2.2.3. Thermogravimetric Analysis (TGA)
2.2.4. Differential Scanning Calorimetry (DSC)
2.2.5. Powder X-ray Diffraction (XRD)
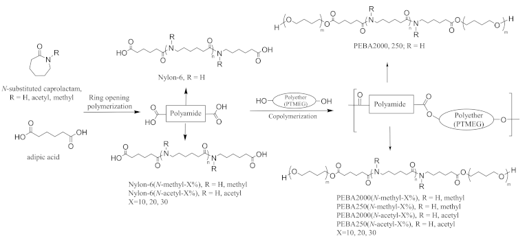
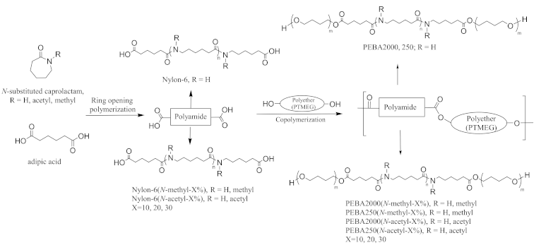
2.3. Preparation of Nylon Prepolymer
2.4. General Procedure Followed in Preparing PEBA
3. Results and Discussion
3.1. Structural Analysis of Nylon Prepolymer
3.1.1. 1H NMR
3.1.2. FT-IR
3.1.3. 13C NMR
3.2. Structural Analysis of PEBA
3.2.1. 1H NMR
3.2.2. XRD Analysis
3.3. Thermal Properties
3.3.1. Thermal Properties of Nylon Prepolymers
3.3.2. Thermal Properties of PEBA
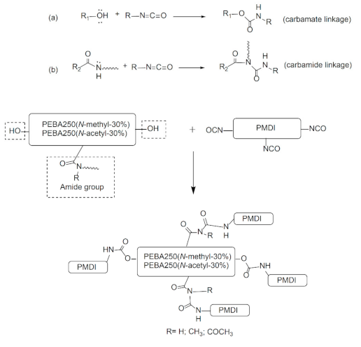
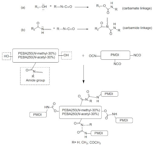
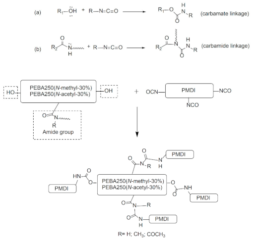
3.4. Chemical Cross-Linking of PEBA
4. Conclusions
Supplementary Materials
Author Contributions
Funding
Institutional Review Board Statement
Informed Consent Statement
Data Availability Statement
Acknowledgments
Conflicts of Interest
References
- Sarwar, Z.; Krugly, E.; Danilovas, P.P.; Ciuzas, D.; Kauneliene, V.; Martuzevicius, D. Fabrication and characterization of PEBA fibers by melt and solution electrospinning. J. Mater. Res. Technol. 2019, 8, 6074–6085. [Google Scholar] [CrossRef]
- Sheth, J.P.; Xu, J.; Wilkes, G.L. Solid state structure-property behavior of semicrystalline poly(ether-block-amide) PEBAX thermoplastic elastomers. Polymer 2003, 44, 743–756. [Google Scholar] [CrossRef]
- Flesher, J.R. Pebax® polyether block amide—A new family of engineering thermoplastic elastomers. In High Performance Polymers: Their Origin and Development; Seymour, R.B., Kirshenbaum, G.S., Eds.; Springer: Dordrecht, The Netherlands, 1986; pp. 401–408. [Google Scholar]
- Mandal, M.K.; Bhattacharya, P.K. Poly(ether-block-amide) membrane for pervaporative separation of pyridine present in low concentration in aqueous solution. J. Memb. Sci. 2006, 286, 115–124. [Google Scholar]
- Sridhar, S.; Kalyani, S.; Ravikumar, Y.V.L.; Muralikrishna, T.S.V.N. Performance of composite membranes of poly(ether-block-amide) for dehydration of rthylene glycol and ethanol. Sep. Sci. Technol. 2010, 45, 322–330. [Google Scholar] [CrossRef]
- Sridhar, S.; Suryamurali, R.; Smitha, B.; Aminabhavi, T.M. Development of crosslinked poly(ether-block-amide) membrane for CO2/CH4 separation. Colloids and Surf. A Physicochem. Eng. Aspects 2007, 297, 267–274. [Google Scholar]
- Tena, A.; Shishatskiy, S.; Filiz, V. Poly(ether-amide) vs. poly(ether-imide) copolymers for post-combustion membrane separation processes. RSC Adv. 2015, 5, 22310–22318. [Google Scholar] [CrossRef]
- Zdrahala, R.; Firer, E.M.; Fellers, J.F. Block copolymers of poly(m-phenylene isophthalamide) and poly(ethylene oxide) or polydimethylsiloxane: Synthesisand general characteristics. J. Polym. Sci. A. Polym. Chem. 1977, 15, 15689–15705. [Google Scholar] [CrossRef]
- Gaymans, R.J.; Schwering, P.; de Haan, J.L. Nylon 46-polytetramethylene oxide segmented block copolymers. Polymer 1989, 30, 974–977. [Google Scholar] [CrossRef][Green Version]
- Castaldo, L.; Maglio, G.; Palumbo, R. Synthesis of polyamide-polyether block copolymers. J. Polym. Sci. Polymer Lett. Ed. 1978, 16, 643–645. [Google Scholar] [CrossRef]
- Kimura, Y.; Sugihara, N.; Taniguchi, I. Novel polycondensations via poly(oxyethy1ene) diglycolic acid diamine salts. Macromolecules 1983, 16, 1023–1024. [Google Scholar] [CrossRef]
- Rasmussen, J.K.; Smith II, H.K. Polyamide–polyether copolymers: A new family of impact-resistant thermoplastics. J. Appl. Polym. Sc. 1983, 28, 2473–2482. [Google Scholar] [CrossRef]
- Xu, S.; Ye, L. Preparation and properties of monomer casting Nylon-6/PEO blend prepared via in situ polymerization. Polym. Eng. Sci. 2015, 55, 589–597. [Google Scholar]
- Rwei, S.P.; Ranganathan, P.; Chiang, W.Y.; Lee, Y.H. Synthesis of low melting temperature aliphatic-aromatic copolyamides derived from novel bio-based semi aromatic monomer. Polymers 2018, 10, 793–818. [Google Scholar] [CrossRef]
- Peyravi, M.; Babaluo, A.A.; AkhfashArdestani, M.; RazaviAghjeh, M.K.; Pishghadam, S.R.; Hadi, P. Study on the synthesis of poly(ether-block-amide) copolymer based on nylon6 and poly(ethylene oxide) with various block lengths. J. Appl. Polym. Sci. 2010, 118, 1211–1218. [Google Scholar] [CrossRef]
- Wang, C.; Hu, F.; Yang, K.; Hu, T.; Wang, W.; Deng, R.; Jiang, Q.; Zhang, H. Synthesis and properties of star-branched Nylon6 with hexafunctionalcyclotriphosphazene core. RSC Adv. 2015, 5, 88382–88391. [Google Scholar] [CrossRef]
- Wang, G.; Xue, B. Synthesis and characterization of poly(ether-block-amide) and application as permanent antistatic agent. J. Appl. Polym. Sci. 2010, 118, 2448–2453. [Google Scholar] [CrossRef]
- Davis, R.D.; Jarrett, W.L.; Mathias, L.J. Solution 13C NMR spectroscopy of polyamide homopolymers (Nylons 6, 11, 12, 66, 69, 610 and 612) and several commercial copolymers. Polymer 2001, 42, 2621–2626. [Google Scholar]
- Dasgupta, S.; Hammond, W.B.; Goddard, W.A. Crystal structures and properties of nylon polymers from theory. J. Am. Chem. Soc. 1996, 118, 12291–12301. [Google Scholar] [CrossRef]
- Xu, S.; Ye, L. Synthesis and properties of monomer cast Nylon-6-b-polyether amine copolymers with different structures. RSC Adv. 2015, 5, 32460–32468. [Google Scholar] [CrossRef]
- Wang, C.; Tsou, S.Y.; Lin, H.S. Brill transition of nylon-6 in electrospun nanofibers. Colloid Polym. Sci. 2012, 290, 1799–1809. [Google Scholar]
- Fornes, T.D.; Paul, D.R. Crystallization behavior of nylon 6 nanocomposites. Polymer 2003, 44, 3945–3961. [Google Scholar] [CrossRef]
- Lehrle, R.S.; Parsons, I.W.; Rollinson, M. Thermal degradation mechanisms of Nylon 6 deduced from kinetic studies by pyrolysis-g.c. Polym. Degrad. Stabil. 2000, 67, 21–33. [Google Scholar] [CrossRef]
- Marochkin, I.I.; Dorofeeva, O.V. Amide bond dissociation enthalpies: Effect of substitution on N–C bond strength. Comput. Theor. Chem. 2012, 991, 182–191. [Google Scholar] [CrossRef]
- Chung, Y.C.; Choi, J.W.; Chung, H.M.; Chun, B.C. The MDI-mediated lateral crosslinking of polyurethane copolymer and the impact on tensile properties and shape memory effect. B. Korean Chem. Soc. 2012, 33, 692–694. [Google Scholar] [CrossRef][Green Version]
- Wong, C.S.; Badri, K.H. Chemical analyses of palm kernel oil-based polyurethane prepolymer. Mater Sci Appl. 2012, 3, 78–86. [Google Scholar] [CrossRef]










| Entry | Compound | Caprolactam | N-Methyl-ε- Caprolactam | N-Acetyl-ε- Caprolactam | Mn, (NMR) | Yield (%) |
|---|---|---|---|---|---|---|
| Feed (mol) | ||||||
| 1 | Nylon-6 | 0.075 | - | - | 883 | 66 |
| 2 | Nylon-6(N-methyl-10%) | 0.0675 | 0.0075 | - | 986 | 45 |
| 3 | Nylon-6(N-methyl-20%) | 0.06 | 0.015 | - | 938 | 51 |
| 4 | Nylon-6(N-methyl-30%) | 0.0525 | 0.0225 | - | 1061 | 48 |
| 5 | Nylon-6(N-acetyl-10%) | 0.0675 | - | 0.0075 | 974 | 46 |
| 6 | Nylon-6(N-acetyl-20%) | 0.06 | - | 0.015 | 1019 | 50 |
| 7 | Nylon-6(N-acetyl-30%) | 0.0525 | - | 0.0225 | 962 | 45 |
| Entry | Compound | Td,5% | Td,10% | Td,max% | Tm | Char | Xc1 | Ether 2 |
|---|---|---|---|---|---|---|---|---|
| (°C) | (°C) | (°C) | (°C) | % | % | wt% | ||
| 1 | nylon-6 | 310 | 324 | 396 | 185 | 2.33 | 65.6 | - |
| 2 | nylon-6(N-methyl-10%) | 299 | 318 | 390 | 178 | 3.68 | 65.9 | - |
| 3 | nylon-6(N-methyl-20%) | 293 | 309 | 428 | 175 | 2.37 | 59.1 | - |
| 4 | nylon-6(N-methyl-30%) | 285 | 304 | 433 | 157 | 4.47 | 39.9 | - |
| 5 | nylon-6(N-acetyl-10%) | 269 | 294 | 342 | 165 | 2.08 | 65.9 | - |
| 6 | nylon-6(N-acetyl-20%) | 258 | 283 | 444 | 172 | 2.82 | 63.2 | - |
| 7 | nylon-6(N-acetyl-30%) | 253 | 283 | 451 | 170 | 6.85 | 51.7 | - |
| 8 | PEBA 2000 | 332 | 354 | 423 | 189 | 3.14 | 57.2 | 87.6 |
| 9 | PEBA 250 | 350 | 376 | 417 | 179 | 3.92 | 74.3 | 40.5 |
| 10 | PEBA 2000(N-methyl-10%) | 300 | 315 | 388 | 193 | 3.9 | 60.6 | 84.4 |
| 11 | PEBA 2000(N-methyl-20%) | 323 | 347 | 390 | 182 | 6.95 | 57.2 | 85.9 |
| 12 | PEBA 2000(N-methyl-30%) | 315 | 335 | 395 | 182 | 7.49 | 35.5 | 48.5 |
| 13 | PEBA 250(N-methyl-10%) | 229 | 274 | 350 | 175 | 19.08 | 71.8 | 41.4 |
| 14 | PEBA 250(N-methyl-20%) | 203 | 244 | 321 | 170 | 24.48 | 48.3 | 44.3 |
| 15 | PEBA 250(N-methyl-30%) | 199 | 234 | 355 | 157 | 16.28 | 35.4 | 28.7 |
| 16 | PEBA 2000(N-acetyl-10%) | 277 | 287 | 407 | 179 | 4.54 | 31.3 | 84.5 |
| 17 | PEBA 2000(N-acetyl-20%) | 276 | 288 | 403 | 179 | 7.15 | 34.9 | 70.7 |
| 18 | PEBA 2000(N-acetyl-30%) | 285 | 298 | 405 | 179 | 6.53 | 59.4 | 57.1 |
| 19 | PEBA 250(N-acetyl-10%) | 220 | 256 | 371 | 159 | 12.65 | 54.2 | 36.1 |
| 20 | PEBA 250(N-acetyl-20%) | 247 | 290 | 370 | 166 | 13.88 | 57 | 44.3 |
| 21 | PEBA 250(N-acetyl-30%) | 253 | 292 | 364 | 164 | 13.78 | 79.7 | 33.2 |
| 22 | PEBA 250(N-methyl-30%)-PMDI | 277 | 295 | 419 | - | 5.41 | - | - |
| 23 | PEBA 250(N-acetyl-30%)-PMDI | 259 | 281 | 349 | 149 | 11.99 | - | - |
Publisher’s Note: MDPI stays neutral with regard to jurisdictional claims in published maps and institutional affiliations. |
© 2021 by the authors. Licensee MDPI, Basel, Switzerland. This article is an open access article distributed under the terms and conditions of the Creative Commons Attribution (CC BY) license (http://creativecommons.org/licenses/by/4.0/).
Share and Cite
Ye, J.-Y.; Peng, K.-F.; Zhang, Y.-N.; Huang, S.-Y.; Liang, M. Synthesis and Characterization of N-Substituted Polyether-Block-Amide Copolymers. Materials 2021, 14, 773. https://doi.org/10.3390/ma14040773
Ye J-Y, Peng K-F, Zhang Y-N, Huang S-Y, Liang M. Synthesis and Characterization of N-Substituted Polyether-Block-Amide Copolymers. Materials. 2021; 14(4):773. https://doi.org/10.3390/ma14040773
Chicago/Turabian StyleYe, Jyun-Yan, Kuo-Fu Peng, Yu-Ning Zhang, Szu-Yuan Huang, and Mong Liang. 2021. "Synthesis and Characterization of N-Substituted Polyether-Block-Amide Copolymers" Materials 14, no. 4: 773. https://doi.org/10.3390/ma14040773
APA StyleYe, J.-Y., Peng, K.-F., Zhang, Y.-N., Huang, S.-Y., & Liang, M. (2021). Synthesis and Characterization of N-Substituted Polyether-Block-Amide Copolymers. Materials, 14(4), 773. https://doi.org/10.3390/ma14040773

