Role of Chemistry and Crystal Structure on the Electronic Defect States in Cs-Based Halide Perovskites
Abstract
1. Introduction
2. Computation Details
3. Results and Discussion
3.1. Atomic Structure and Electronic Properties of Cubic Perovskites
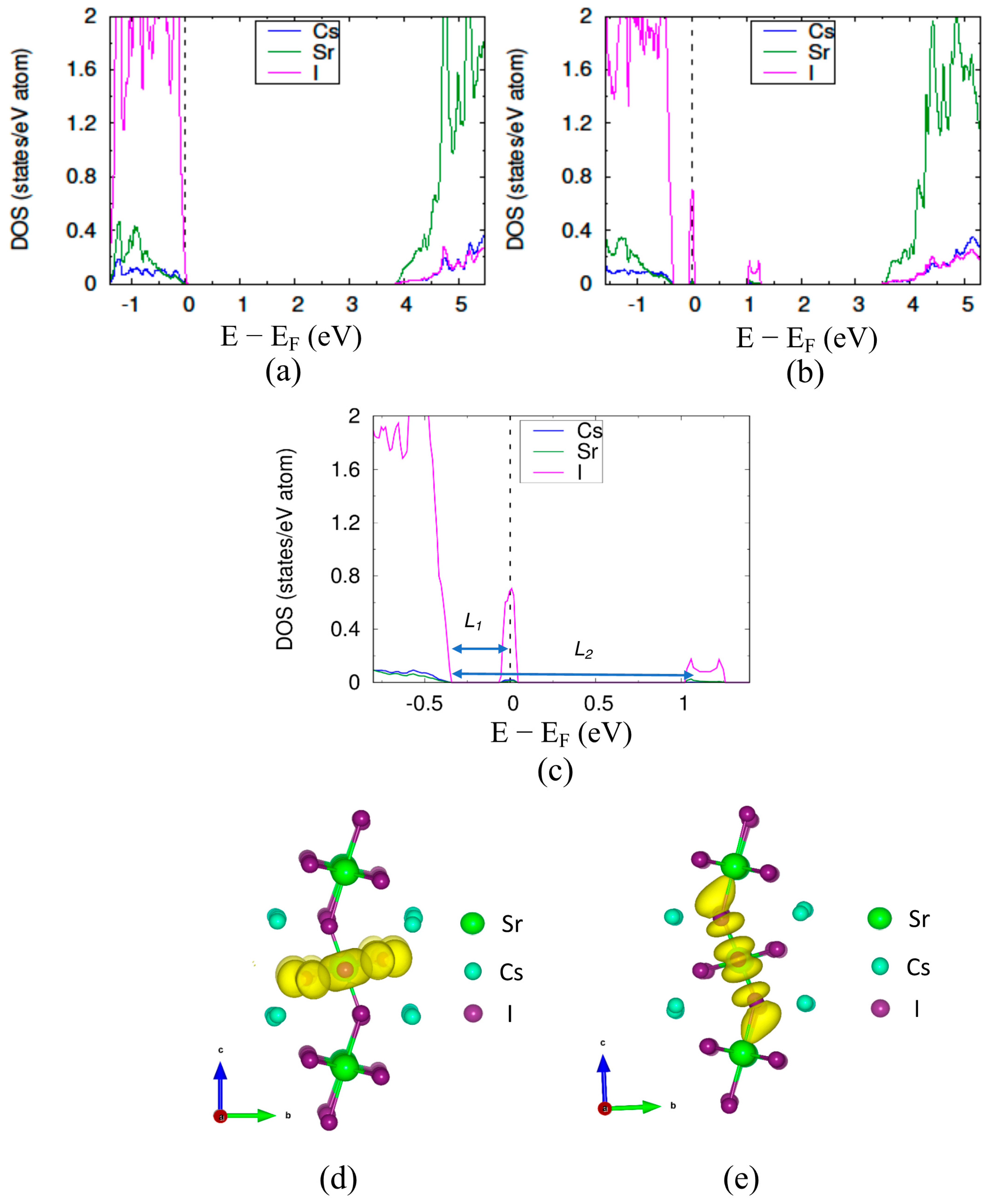
3.2. Atomic Structure and Electronic Properties of Orthorhombic Perovskites
4. Conclusions
Supplementary Materials
Author Contributions
Funding
Data Availability Statement
Acknowledgments
Conflicts of Interest
References
- Li, W.; Wang, Z.; Deschler, F.; Gao, S.; Friend, R.H.; Cheetham, A.K. Chemically diverse and multifunctional hybrid organic–inorganic perovskites. Nat. Rev. Mater. 2017, 2, 16099. [Google Scholar] [CrossRef]
- Anaya, M.; Lozano, G.; Calvo, M.E.; Míguez, H. ABX3 perovskites for tandem solar cells. Joule 2017, 1, 769. [Google Scholar] [CrossRef]
- Xu, L.; Yuan, S.; Zeng, H.; Song, J.J.M.T.N. A comprehensive review of doping in perovskite nanocrystals/quantum dots: Evolution of structure, electronics, optics, and light-emitting diodes. Mater. Today Nano 2019, 6, 100036. [Google Scholar] [CrossRef]
- Lang, L.; Yang, J.H.; Liu, H.R.; Xiang, H.J.; Gong, X.G. First-principles study on the electronic and optical properties of cubic ABX3 halide perovskites. Phys. Lett. A 2014, 378, 290. [Google Scholar] [CrossRef]
- Pazoki, M.; Edvinsson, T. Metal replacement in perovskite solar cell materials: Chemical bonding effects and optoelectronic properties. Sustain. Energy Fuels 2018, 2, 1430. [Google Scholar] [CrossRef]
- Chen, Q.Y.; Huang, Y.; Huang, P.R.; Ma, T.; Cao, C.; He, Y. Electronegativity explanation on the efficiency-enhancing mechanism of the hybrid inorganic–organic perovskite ABX3 from first-principles study. Chin. Phys. B 2015, 25, 027104. [Google Scholar] [CrossRef]
- Wang, F.; Grinberg, I.; Rappe, A.M. Bandgap engineering strategy via polarization rotation in perovskite ferroelectrics. Appl. Phys. Lett. 2014, 104, 152903. [Google Scholar] [CrossRef]
- Castelli, I.E.; García-Lastra, J.M.; Thygesen, K.S.; Jacobsen, K.W. Bandgap calculations and trends of organometal halide perovskites. APL Mater. 2014, 2, 081514. [Google Scholar] [CrossRef]
- Ryu, S.; Noh, J.H.; Jeon, N.J.; Kim, Y.C.; Yang, W.S.; Seo, J.; Seok, S.I. Voltage output of efficient perovskite solar cells with high open-circuit voltage and fill factor. Energy Environ. Sci. 2014, 7, 2614. [Google Scholar] [CrossRef]
- Hwang, B.; Gu, C.; Lee, D.; Lee, J.S. Effect of halide-mixing on the switching behaviors of organic-inorganic hybrid perovskite memory. Sci. Rep. 2017, 7, 43794. [Google Scholar] [CrossRef] [PubMed]
- Noh, J.H.; Im, S.H.; Heo, J.H.; Mandal, T.N.; Seok, S.I. Chemical management for colorful, efficient, and stable inorganic–organic hybrid nanostructured solar cells. Nano Lett. 2013, 13, 1764. [Google Scholar] [CrossRef]
- Akkerman, Q.A.; Manna, L. What Defines a Halide Perovskite? ACS Energy Lett. 2020, 5, 604. [Google Scholar] [CrossRef] [PubMed]
- Ong, K.P.; Goh, T.W.; Xu, Q.; Huan, A. Structural Evolution in Methylammonium Lead Iodide CH3NH3PbI3. J. Phys. Chem. A 2015, 119, 11033. [Google Scholar] [CrossRef] [PubMed]
- Quarti, C.; Mosconi, E.; Ball, J.M.; D’Innocenzo, V.; Tao, C.; Pathak, S.; Snaith, H.J.; Petrozza, A.; de Angelis, F. Structural and optical properties of methylammonium lead iodide across the tetragonal to cubic phase transition: Implications for perovskite solar cells. Energy Environ. Sci. 2016, 9, 155. [Google Scholar] [CrossRef]
- Xiao, Z.; Meng, W.; Wang, J.; Mitzi, D.B.; Yan, Y. Searching for promising new perovskite-based photovoltaic absorbers: The importance of electronic dimensionality. Mater. Horiz. 2017, 4, 206. [Google Scholar] [CrossRef]
- Ball, J.M.; Petrozza, A. Defects in perovskite-halides and their effects in solar cells. Nat. Energy 2016, 1, 1–13. [Google Scholar] [CrossRef]
- Ono, L.K.; Liu, S.F.; Qi, Y. Reducing Detrimental Defects for High-Performance Metal Halide Perovskite Solar Cells. Angew. Chem. 2020, 59, 6676. [Google Scholar] [CrossRef] [PubMed]
- Xu, J.; Buin, A.; Ip, A.H.; Li, W.; Voznyy, O.; Comin, R.; Sargent, E.H. Perovskite–fullerene hybrid materials suppress hysteresis in planar diodes. Nat. Commun. 2015, 6, 1–8. [Google Scholar] [CrossRef]
- Buin, A.; Pietsch, P.; Xu, J.; Voznyy, O.; Ip, A.H.; Comin, R.; Sargent, E.H. Materials processing routes to trap-free halide perovskites. Nano Lett. 2014, 14, 6281–6286. [Google Scholar] [CrossRef]
- Agiorgousis, M.L.; Sun, Y.Y.; Zeng, H.; Zhang, S. Strong covalency-induced recombination centers in perovskite solar cell material CH3NH3PbI3. J. Am. Chem. Soc. 2014, 136, 14570–14575. [Google Scholar] [CrossRef]
- Giorgi, G.; Fujisawa, J.I.; Segawa, H.; Yamashita, K. Cation role in structural and electronic properties of 3D organic–inorganic halide perovskites: A DFT analysis. J. Phys. Chem. C 2014, 118, 12176–12183. [Google Scholar] [CrossRef]
- Li, Y.; Zhang, C.; Zhang, X.; Huang, D.; Shen, Q.; Cheng, Y.; Huang, W. Intrinsic point defects in inorganic perovskite CsPbI3 from first-principles prediction. Appl. Phys. Lett. 2017, 111, 162106. [Google Scholar] [CrossRef]
- Moody, N.; Sesena, S.; de Quilettes, D.W.; Dou, B.D.; Swartwout, R.; Buchman, J.T.; Johnson, A.; Eze, U.; Brenes, R.; Johnston, M.; et al. Assessing the Regulatory Requirements of Lead-Based Perovskite Photovoltaics. Joule 2020, 4, 970. [Google Scholar] [CrossRef]
- Endres, J.; Egger, D.A.; Kulbak, M.; Kerner, R.A.; Zhao, L.; Silver, S.H.; Kahn, A. Valence and conduction band densities of states of metal halide perovskites: A combined experimental–theoretical study. J. Phys. Chem. Lett. 2016, 7, 2722–2729. [Google Scholar] [CrossRef]
- Kang, B.; Feng, Q.; Biswas, K. Comparative study of perovskite-type scintillator materials CsCaI3 and KCaI3 via first-principles calculations. J. Phys. D Appl. Phys. 2018, 51, 065303. [Google Scholar] [CrossRef]
- Kresse, G.; Furthmüller, J. Efficiency of ab-initio total energy calculations for metals and semiconductors using a plane-wave basis set. Comput. Mater. Sci. 1996, 6, 15. [Google Scholar] [CrossRef]
- Ma, C.G.; Krasnenko, V.; Brik, M.G. First-principles calculations of different (001) surface terminations of three cubic perovskites CsCaBr3, CsGeBr3, and CsSnBr3. J. Phys. Chem. Solids 2018, 115, 289. [Google Scholar] [CrossRef]
- Babu, K.E.; Veeraiah, A.; Swamy, D.T.; Veeraiah, V. First-principles study of electronic structure and optical properties of cubic perovskite CsCaF3. Chin. Phys. Lett. 2012, 29, 117102. [Google Scholar] [CrossRef]
- Babu, K.E.; Veeraiah, A.; Swamy, D.T.; Veeraiah, V. First-principles study of electronic and optical properties of cubic perovskite CsSrF3. Mater. Sci. Pol. 2012, 30, 359. [Google Scholar] [CrossRef]
- Ray, D.; Clark, C.; Pham, H.Q.; Borycz, J.; Holmes, R.J.; Aydil, E.S.; Gagliardi, L. Computational study of structural and electronic properties of lead-free CsMI3 Perovskites (M = Ge, Sn, Pb, Mg, Ca, Sr, and Ba). J. Phys. Chem. C 2018, 122, 7838. [Google Scholar] [CrossRef]
- Suta, M.; Urland, W.; Daul, C.; Wickleder, C. Photoluminescence properties of Yb2+ ions doped in the perovskites CsCaX3 and CsSrX3 (X = Cl, Br, and I)–a comparative study. Phys. Chem. Chem. Phys. 2016, 18, 13196. [Google Scholar] [CrossRef]
- Jain, A.; Ong, S.P.; Hautier, G.; Chen, W.; Richards, W.D.; Dacek, S.; Cholia, S.; Gunter, D.; Skinner, D.; Ceder, G.; et al. The Materials Project: A materials genome approach to accelerating materials innovation. APL Mater. 2013, 1, 011002. [Google Scholar] [CrossRef]
- Kresse, G.; Joubert, D. From ultrasoft pseudopotentials to the projector augmented-wave method. Phys. Rev. B 1999, 59, 1758. [Google Scholar] [CrossRef]
- Izumi, F.; Momma, K. Three-dimensional visualization in powder diffraction. Solid State Phenom. 2007, 130, 15. [Google Scholar] [CrossRef]
- Maintz, S.; Deringer, V.L.; Tchougréeff, A.L.; Dronskowski, R. LOBSTER: A tool to extract chemical bonding from plane wave based DFT. J. Comput. Chem. 2016, 37, 1030. [Google Scholar] [CrossRef]
- Ben Sadok, R.; Plugaru, N.; Birsan, A.; Kuncser, V.; Hammoutène, D. Effect of chemical nature of atoms on the electronic, dielectric, and dynamical properties of ABX3 halide perovskite. Int. J. Quantum Chem. 2020, 120, e26172. [Google Scholar] [CrossRef]
- Slifkin, M.A. Molecular Orbital Theory and Experimentally Determined Energy-levels. Nature 1963, 200, 877. [Google Scholar] [CrossRef]
- Porterfield, W.W. Inorganic Chemistry: A Unified Approach; Addison Wesley Publishing Co.: Reading, MA, USA, 1984. [Google Scholar]
- Luo, Y.R. Handbook of Bond Dissociation Energies in Organic Compounds; CRC Press: Boca Raton, FL, USA, 2002. [Google Scholar]
- Stand, L.; Zhuravleva, M.; Chakoumakos, B.; Wei, H.; Johnson, J.; Martin, V.; Loyd, M.; Rustom, D.; McAlexander, W.; Wu, Y.; et al. Characterization of mixed halide scintillators: CsSrBrI2: Eu, CsCaBrI2: Eu and CsSrClBr2: Eu. J. Lumin. 2019, 207, 70. [Google Scholar] [CrossRef]
- Taufique, M.F.N.; Khanal, R.; Choudhury, S.; Banerjee, S. Impact of iodine antisite (IPb) defects on the electronic properties of the (110) CH3NH3PbI3 surface. J. Chem. Phys. 2018, 149, 164704. [Google Scholar] [CrossRef]
- Tang, W.; Sanville, E.; Henkelman, G. A grid-based Bader analysis algorithm without lattice bias. J. Phys. Condens. Matter 2009, 21, 084204. [Google Scholar] [CrossRef]
- Ye, Y.; Run, X.; Hai-Tao, X.; Feng, H.; Fei, X.; Lin-Jun, W. Nature of the bandgap of halide perovskites ABX3 (A = CH3NH3, Cs; B = Sn, Pb; X = Cl, Br, I): First-principles calculations. Chin. Phys. B 2015, 24, 116302. [Google Scholar]






| Iodine (I) | Charge (e) in the Defect-Free Structure | Charge (e) in Presence of the Defect | Percent Change in Charge (%) | Distance from I1 (Å) |
|---|---|---|---|---|
| I1 | +0.193 | |||
| I2 | −0.772 | −0.394 | 48.90 | 2.94 |
| I3 | −0.772 | −0.394 | 48.90 | 2.94 |
| I4 | −0.777 | −0.660 | 15.00 | 3.81 |
| I5 | −0.777 | −0.660 | 15.00 | 3.81 |
| I6 | −0.780 | −0.660 | 15.38 | 3.81 |
| I7 | −0.780 | −0.660 | 15.38 | 3.81 |
Publisher’s Note: MDPI stays neutral with regard to jurisdictional claims in published maps and institutional affiliations. |
© 2021 by the authors. Licensee MDPI, Basel, Switzerland. This article is an open access article distributed under the terms and conditions of the Creative Commons Attribution (CC BY) license (http://creativecommons.org/licenses/by/4.0/).
Share and Cite
Naskar, A.; Khanal, R.; Choudhury, S. Role of Chemistry and Crystal Structure on the Electronic Defect States in Cs-Based Halide Perovskites. Materials 2021, 14, 1032. https://doi.org/10.3390/ma14041032
Naskar A, Khanal R, Choudhury S. Role of Chemistry and Crystal Structure on the Electronic Defect States in Cs-Based Halide Perovskites. Materials. 2021; 14(4):1032. https://doi.org/10.3390/ma14041032
Chicago/Turabian StyleNaskar, Anirban, Rabi Khanal, and Samrat Choudhury. 2021. "Role of Chemistry and Crystal Structure on the Electronic Defect States in Cs-Based Halide Perovskites" Materials 14, no. 4: 1032. https://doi.org/10.3390/ma14041032
APA StyleNaskar, A., Khanal, R., & Choudhury, S. (2021). Role of Chemistry and Crystal Structure on the Electronic Defect States in Cs-Based Halide Perovskites. Materials, 14(4), 1032. https://doi.org/10.3390/ma14041032

