Influence of Bentonite on Mechanical and Durability Properties of High-Calcium Fly Ash Geopolymer Concrete with Natural and Recycled Aggregates
Abstract
:1. Introduction
Research Significance
2. Experimental Program
2.1. Materials and Methods
2.1.1. Fly Ash and Bentonite
2.1.2. Alkaline Activation Solution
2.1.3. Aggregates
2.2. Mix Proportions
2.3. Mixing and Curing Process
2.4. Testing Procedures
3. Results and Discussions
3.1. Fresh Properties
3.1.1. Workability
3.1.2. Air Content
3.1.3. Fresh Density
3.2. Mechanical Properties
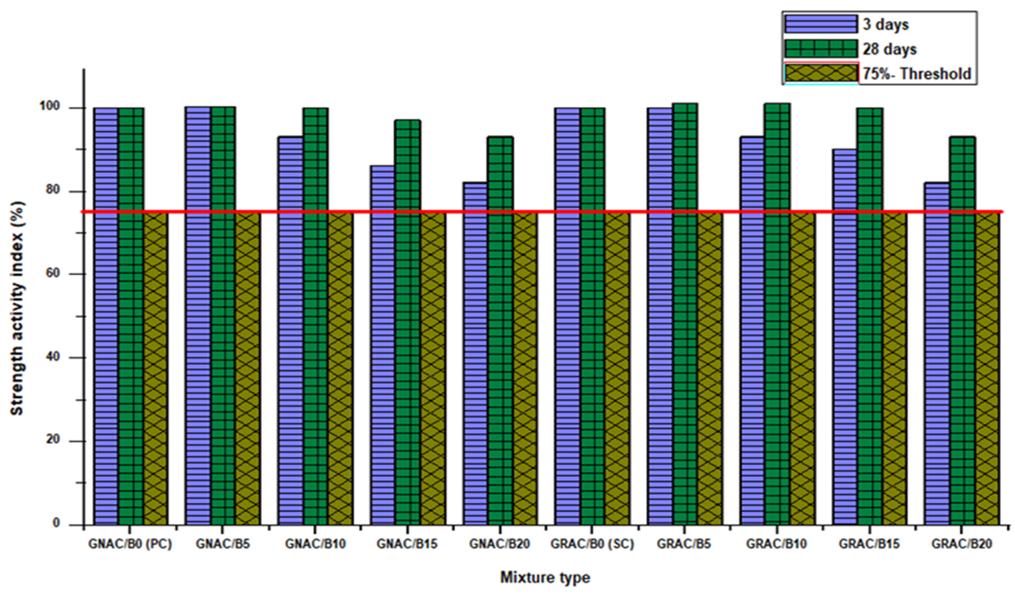
3.2.1. Compressive Strength
3.2.2. Splitting Tensile Strength
3.3. Durability Properties
3.3.1. Water Absorption
3.3.2. Chloride Migration Coefficient
3.3.3. Sulfuric Acid Attack Resistance
4. Conclusions
- The use of RCA in GRAC mixes results in increasing the workability as compared to corresponding GNAC mixes. The incorporation of bentonite has a detrimental effect on the workability of both the GRAC and GNAC mixes. The inclusion of bentonite reduced the workability of all concrete mixes; increased content of bentonite further intensified the reduction in workability. Therefore, to keep the same slump of all mixes, a small dosage of super plasticizer was added.
- The air content of GNAC mixes was relatively lower as compared to the corresponding GRAC mixes. Air content of both GNAC and GRAC mixes increased with an increase in the percentage replacement of bentonite when SP is not used to attain the target slump. A significant reduction in the air content was observed with an increase in the bentonite content for both GRAC and GNAC mixes (with SP). The fresh density of GRAC mixes with RCA was lower when compared to the corresponding GNAC mixes with NCA. The fresh density of mixes (without SP) decreased with increased content of bentonite for both GRAC and GNAC mixes.
- The use of RCA in GRAC mixes resulted in reduced mechanical properties compared to the counterparts of GNAC mixes. The replacement ratio of bentonite with HCFA had a significant effect on the strength properties of both GNAC and GRAC mixes. Replacement level of bentonite with up to 10% improved the strength properties of both GNAC and GRAC mixes. Beyond the 10% bentonite replacement level, the strength properties of both GNAC and GRAC mixes were effected.
- The incorporation of RCA in GRAC mixes resulted in increasing the water absorption by 20–29% compared to the corresponding GNAC mixes. An appreciable reduction in the water absorption capacity of the GRAC mixes was observed at 90 days of specimen age for all replacement levels of bentonite. The maximum reduction in the water absorption for both the GNAC and GRAC mixes was observed at 20% bentonite content.
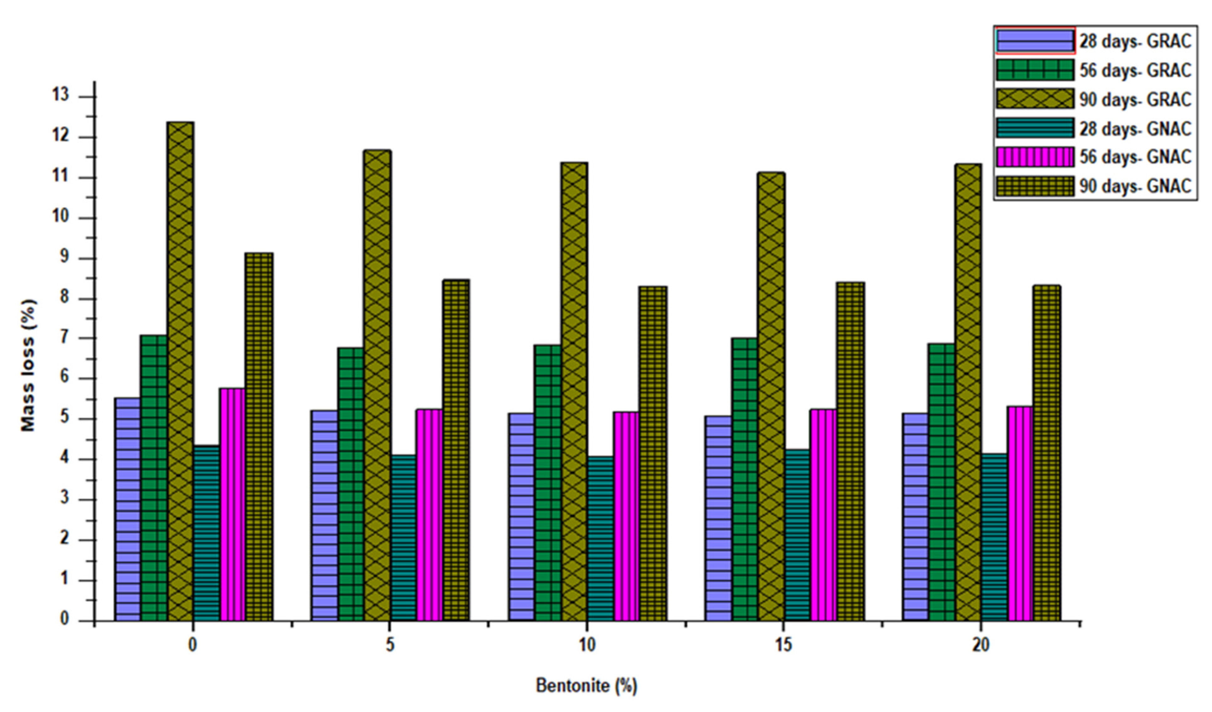
- The GRAC mixes have appreciably higher coefficient of chloride migration than their counterparts of GNAC mixes. The mixes with bentonite addition showed greater resistance to chloride penetration than the control mixes (without bentonite). Furthermore, the GRAC mixes experienced higher loss of mass in acid solution as compared to the corresponding GNAC mixes due to the mortar attached to the surface of the RCA. The inclusion of bentonite resulted in improving the resistance of both the GNAC and GRAC mixes. All the bentonite mixes exhibited lower mass loss in the acid solution than their corresponding control mixes.
Author Contributions
Funding
Institutional Review Board Statement
Informed Consent Statement
Data Availability Statement
Acknowledgments
Conflicts of Interest
Abbreviations
References
- Al Bakri, M.M.; Mohammed, H.; Kamarudin, H.; Niza, I.K.; Zarina, Y. Review on fly ash-based geopolymer concrete without Portland Cement. J. Eng. Technol. Res. 2011, 3, 1–4. [Google Scholar]
- Mehta, P.K. High-performance, high-volume fly ash concrete for sustainable development. In Proceedings of the International Workshop on Sustainable Development and Concrete Technology, University of California, Berkeley, CA, USA, 14 May 2004; pp. 3–14. [Google Scholar]
- Schneider, M.; Romer, M.; Tschudin, M.; Bolio, H. Sustainable cement production—Present and future. Cem. Concr. Res. 2011, 41, 642–650. [Google Scholar] [CrossRef]
- Lei, Y.; Zhang, Q.; Nielsen, C.; He, K. An inventory of primary air pollutants and CO2 emissions from cement production in China, 1990–2020. Atmos. Environ. 2011, 45, 147–154. [Google Scholar] [CrossRef]
- Shaikh, F.U.A. Mechanical and durability properties of fly ash geopolymer concrete containing recycled coarse aggregates. Int. J. Sustain. Built Environ. 2016, 5, 277–287. [Google Scholar] [CrossRef] [Green Version]
- Kou, S.-C.; Poon, C.S.; Wan, H.-W. Properties of concrete prepared with low-grade recycled aggregates. Constr. Build. Mater. 2012, 36, 881–889. [Google Scholar] [CrossRef]
- Zaharieva, R.; Buyle-Bodin, F.; Skoczylas, F.; Wirquin, E. Assessment of the surface permeation properties of recycled aggregate concrete. Cem. Concr. Res. 2003, 25, 223–232. [Google Scholar] [CrossRef]
- Tabsh, S.W.; Abdelfatah, A.S. Influence of recycled concrete aggregates on strength properties of concrete. Constr. Build. Mater. 2009, 23, 1163–1167. [Google Scholar] [CrossRef]
- Sagoe-Crentsil, K.; Brown, T.; Taylor, A. Performance of concrete made with commercially produced coarse recycled concrete aggregate. Cem. Concr. Res. 2001, 31, 707–712. [Google Scholar] [CrossRef]
- Corinaldesi, V.; Moriconi, G. Influence of mineral additions on the performance of 100% recycled aggregate concrete. Constr. Build. Mater. 2009, 23, 2869–2876. [Google Scholar] [CrossRef]
- Etxeberria, M.; Vázquez, E.; Mari, A.; Barra, M. Influence of amount of recycled coarse aggregates and production process on properties of recycled aggregate concrete. Cem. Concr. Res. 2007, 37, 735–742. [Google Scholar] [CrossRef]
- Marinković, S.; Radonjanin, V.; Malešev, M.; Ignjatović, I. Comparative environmental assessment of natural and recycled aggregate concrete. Waste Manag. 2010, 30, 2255–2264. [Google Scholar] [CrossRef]
- de Juan, M.S.; Gutiérrez, P.A. Study on the influence of attached mortar content on the properties of recycled concrete aggregate. Constr. Build. Mater. 2009, 23, 872–877. [Google Scholar] [CrossRef]
- Debieb, F.; Courard, L.; Kenai, S.; Degeimbre, R. Mechanical and durability properties of concrete using contaminated recycled aggregates. Cem. Concr. Compos. 2010, 32, 421–426. [Google Scholar] [CrossRef]
- Tam, V.W.; Gao, X.; Tam, C.M. Microstructural analysis of recycled aggregate concrete produced from two-stage mixing approach. Cem. Concr. Res. 2005, 35, 1195–1203. [Google Scholar] [CrossRef] [Green Version]
- Ahmed, S.F.U.; Shaikh, F. Existence of Dividing Strength in Concrete Containing Recycled Coarse Aggregate. J. Mater. Civ. Eng. 2014, 26, 784–788. [Google Scholar] [CrossRef]
- Shaikh, F.U.A.; Nguyen, H.L. Properties of concrete containing recycled construction and demolition wastes as coarse aggregates. J. Sustain. Cem. Mater. 2013, 2, 204–217. [Google Scholar] [CrossRef]
- De Domenico, D.; Faleschini, F.; Pellegrino, C.; Ricciardi, G. Structural behavior of RC beams containing EAF slag as recycled aggregate: Numerical versus experimental results. Constr. Build. Mater. 2018, 171, 321–337. [Google Scholar] [CrossRef]
- Majhi, R.K.; Nayak, A.N. Production of sustainable concrete utilising high-volume blast furnace slag and recycled aggregate with lime activator. J. Clean. Prod. 2020, 255, 120188. [Google Scholar] [CrossRef]
- Duxson, P.; Provis, J.L.; Lukey, G.C.; Van Deventer, J.S. The role of inorganic polymer technology in the development of green concrete. Cem. Concr. Res. 2007, 37, 1590–1597. [Google Scholar] [CrossRef]
- Wallah, S.; Rangan, B.V. Low-Calcium Fly Ash-Based Geopolymer Concrete: Long-Term Properties; Curtin University of Technology: Perth, Australia, 2006. [Google Scholar]
- Sumajouw, M.; Rangan, B.V. Low-Calcium Fly Ash-Based Geopolymer Concrete: Reinforced Beams and Columns; Curtin University of Technology: Perth, Australia, 2006. [Google Scholar]
- Kong, D.L.; Sanjayan, J.G. Effect of elevated temperatures on geopolymer paste, mortar and concrete. Cem. Concr. Res. 2010, 40, 334–339. [Google Scholar] [CrossRef]
- Pavithra, P.E.; Reddy, M.S.; Dinakar, P.; Rao, B.H.; Satpathy, B.; Mohanty, A. A mix design procedure for geopolymer concrete with fly ash. J. Clean. Prod. 2016, 133, 117–125. [Google Scholar] [CrossRef]
- Shi, X.; Collins, F.G.; Zhao, X.L.; Wang, Q. Mechanical properties and microstructure analysis of fly ash geopolymeric recycled concrete. J. Hazard. Mater. 2012, 237, 20–29. [Google Scholar] [CrossRef] [PubMed]
- Nuaklong, P.; Sata, V.; Chindaprasirt, P. Influence of recycled aggregate on fly ash geopolymer concrete properties. J. Clean. Prod. 2016, 112, 2300–2307. [Google Scholar] [CrossRef]
- Nath, P.; Sarker, P.K. Use of OPC to improve setting and early strength properties of low calcium fly ash geopolymer concrete cured at room temperature. Cem. Concr. Compos. 2015, 55, 205–214. [Google Scholar] [CrossRef]
- Nikolić, V.C.; Komljenović, M.; Baščarević, Z.; Marjanović, N.; Miladinović, Z.; Petrović, R. The influence of fly ash characteristics and reaction conditions on strength and structure of geopolymers. Constr. Build. Mater. 2015, 94, 361–370. [Google Scholar] [CrossRef]
- Phoo-Ngernkham, T.; Sata, V.; Hanjitsuwan, S.; Ridtirud, C.; Hatanaka, S.; Chindaprasirt, P. High calcium fly ash geopolymer mortar containing Portland cement for use as repair material. Constr. Build. Mater. 2015, 98, 482–488. [Google Scholar] [CrossRef]
- Nath, P.; Sarker, P. Effect of GGBFS on setting, workability and early strength properties of fly ash geopolymer concrete cured in ambient condition. Constr. Build. Mater. 2014, 66, 163–171. [Google Scholar] [CrossRef] [Green Version]
- Nuaklong, P.; Jongvivatsakul, P.; Pothisiri, T.; Sata, V.; Chindaprasirt, P. Influence of rice husk ash on mechanical properties and fire resistance of recycled aggregate high-calcium fly ash geopolymer concrete. J. Clean. Prod. 2019, 252, 119797. [Google Scholar] [CrossRef]
- Nuaklong, P.; Sata, V.; Wongsa, A.; Srinavin, K.; Chindaprasirt, P. Recycled aggregate high calcium fly ash geopolymer concrete with inclusion of OPC and nano-SiO2. Constr. Build. Mater. 2018, 174, 244–252. [Google Scholar] [CrossRef]
- Nuaklong, P.; Sata, V.; Chindaprasirt, P. Properties of metakaolin-high calcium fly ash geopolymer concrete containing recycled aggregate from crushed concrete specimens. Constr. Build. Mater. 2018, 161, 365–373. [Google Scholar] [CrossRef]
- Ahmad, S.; Barbhuiya, S.A.; Elahi, A.; Iqbal, J. Effect of Pakistani bentonite on properties of mortar and concrete. Clay Miner. 2011, 46, 85–92. [Google Scholar] [CrossRef]
- Rehman, S.U.; Yaqub, M.; Noman, M.; Ali, B.; Khan, M.N.A.; Fahad, M.; Abid, M.M.; Gul, A. The Influence of Thermo-Mechanical Activation of Bentonite on the Mechanical and Durability Performance of Concrete. Appl. Sci. 2019, 9, 5549. [Google Scholar] [CrossRef] [Green Version]
- Murray, H. Industrial clays case study. Min. Miner. Sustain. Develop. 2002, 64, 1–9. [Google Scholar]
- Karthikeyan, M.; Ramachandran, P.R.; Nandhini, A.; Vinodha, R. Application on partial substitute of cement by bentonite in concrete. Int. J. ChemTech Res. 2015, 8, 384–388. [Google Scholar]
- Grishin, V.A.; Deryugin, L.M. Experience in the use of bentonite-cement concrete for repairing the core of the earthfill dam of Kureiskaya HPP. Power Technol. Eng. 2006, 40, 90–95. [Google Scholar] [CrossRef]
- Shabab, M.E.; Shahzada, K.; Gencturk, B.; Ashraf, M.; Fahad, M. Synergistic effect of fly ash and bentonite as partial replacement of cement in mass concrete. KSCE J. Civ. Eng. 2015, 20, 1987–1995. [Google Scholar] [CrossRef]
- Lima-Guerra, D.J.; Mello, I.; Resende, R.; Silva, R. Use of Bentonite and Organobentonite as Alternatives of Partial Substitution of Cement in Concrete Manufacturing. Int. J. Concr. Struct. Mater. 2014, 8, 15–26. [Google Scholar] [CrossRef] [Green Version]
- Masood, B.; Elahi, A.; Barbhuiya, S.; Ali, B. Mechanical and durability performance of recycled aggregate concrete incorporating low calcium bentonite. Constr. Build. Mater. 2019, 237, 117760. [Google Scholar] [CrossRef]
- Memon, S.; Arsalan, R.; Khan, S.; Lo, T.Y. Utilization of Pakistani bentonite as partial replacement of cement in concrete. Constr. Build. Mater. 2012, 30, 237–242. [Google Scholar] [CrossRef]
- Mirza, J.; Riaz, M.; Naseer, A.; Rehman, F.; Khan, A.; Ali, Q. Pakistani bentonite in mortars and concrete as low cost construction material. Appl. Clay Sci. 2009, 45, 220–226. [Google Scholar] [CrossRef]
- Petrus, H.T.B.M.; Hulu, J.; Dalton, G.S.; Malinda, E.; Prakosa, R.A. Effect of Bentonite Addition on Geopolymer Concrete from Geothermal Silica. Mater. Sci. Forum 2016, 841, 7–15. [Google Scholar] [CrossRef]
- Yang, Y.; Jiang, J.; Hou, L.; Lu, Z.; Li, J.; Wang, J. Pore structure and properties of porous geopolymer based on pre-swelled bentonite. Constr. Build. Mater. 2020, 254, 119226. [Google Scholar] [CrossRef]
- Huang, Y. Influence of Calcium Bentonite Addition on the Compressive Strength, Efflorescence Extent and Drying Shrinkage of Fly-Ash Based Geopolymer Mortar. Trans. Indian Ceram. Soc. 2020, 79, 77–82. [Google Scholar] [CrossRef]
- Chamundeeswari, J. Experimental Study on Partial Replacement of Cement by Bentonite in Paverblock. Int. J. Eng. Trends Technol. 2012, 3, 41–47. [Google Scholar]
- Akram, T.; Memon, S.A.; Khan, M.N. Utilization of Jehangira bentonite as partial replacement of cement. In Proceedings of the International Conference on Advances in Cement Based Materials and Applications in Civil Infrastructure ACBM-ACI, Lahore, Pakistan, 12–14 December 2007; pp. 301–311. [Google Scholar]
- Swarup, O.K.; Reddy, P.R.; Reddy, M.A.K.; Rao, V.R. A Study on Durability of Concrete by Partial Replacement of Cement with Bentonite and Fly Ash. Int. J. ChemTech Res. 2017, 10, 855–861. [Google Scholar]
- Reddy, G.V.K.; Rao, V.R.; Reddy, M.A.K. Experimental investigation of strength parameters of cement and concrete by partial replacement of cement with Indian calcium bentonite. Technology 2017, 8, 512–518. [Google Scholar]
- ASTM. Standard Specification for Coal Fly Ash and Raw or Calcined Natural Pozzolan for Use in Concrete; ASTM International: West Conshohocken, PA, USA, 2013. [Google Scholar]
- ASTM. Standard Test. Method for Relative Density (Specific Gravity) and Absorption of Coarse Aggregate; ASTM International: West Conshohocken, PA, USA, 2015. [Google Scholar]
- ASTM. C143/C143M-12-Standard Test. Method for Slump of Hydraulic-Cement Concrete; ASTM International: West Conshohocken, PA, USA, 2012. [Google Scholar]
- ASTM. Standard Test. Method for Density (Unit Weight), Yield, and Air Content (Gravimetric) of Concrete; ASTM International: West Conshohocken, PA, USA, 2014. [Google Scholar]
- ASTM. C231/C231M-10, Standard Test. Method for Air Content of Freshly Mixed Concrete by the Pressure Method; ASTM International: West Conshohocken, PA, USA, 2010. [Google Scholar]
- BSI. BS EN 12390-3: 2009: Testing Hardened Concrete. Compressive Strength of Test. Specimens; BSI: London, UK, 2009. [Google Scholar]
- ASTM. C496/C496M-11 Standard Test. Method for Splitting Tensile Strength of Cylindrical Concrete Specimens; ASTM International: West Conshohocken, PA, USA, 2004. [Google Scholar]
- ASTM. Standard Test. Method for Dry and Wet Bulk Density, Water Absorption, and Apparent Porosity of Thin Sections of Glass-Fiber Reinforced Concrete; ASTM C948-81; ASTM International: West Conshohocken, PA, USA, 2016. [Google Scholar]
- NORDTEST Build. Concrete, mortar and cement-based repair materials: Chloride migration coefficient from non-steady-state migration experiments. Nordtest Method 1999, 492, 1–8. [Google Scholar]
- Jing, R.; Liu, Y.; Yan, P. Uncovering the effect of fly ash cenospheres on the macroscopic properties and microstructure of ultra high-performance concrete (UHPC). Constr. Build. Mater. 2021, 286, 122977. [Google Scholar] [CrossRef]
- Huang, W.-H. Properties of cement-fly ash grout admixed with bentonite, silica fume, or organic fiber. Cem. Concr. Res. 1998, 27, 395–406. [Google Scholar] [CrossRef]
- Gómez-Soberón, J.M. Porosity of recycled concrete with substitution of recycled concrete aggregate: An experimental study. Cem. Concr. Res. 2002, 32, 1301–1311. [Google Scholar] [CrossRef] [Green Version]
- Li, W.; Xiao, J.; Sun, Z.; Kawashima, S.; Shah, S.P. Interfacial transition zones in recycled aggregate concrete with different mixing approaches. Constr. Build. Mater. 2012, 35, 1045–1055. [Google Scholar] [CrossRef] [Green Version]
- Singhal, D.; Junaid, M.T.; Jindal, B.B.; Mehta, A. Mechanical and microstructural properties of fly ash based geopolymer concrete incorporating alccofine at ambient curing. Constr. Build. Mater. 2018, 180, 298–307. [Google Scholar]
- Danek, T.; Thomas, J.; Jelinek, J. Study of Interaction between Fly Ash-cement and Bentonite Matrices. MATEC Web Conf. 2015, 26, 1003. [Google Scholar] [CrossRef]
- Fernández, R.; Ruiz, A.I.; Cuevas, J. Formation of C-A-S-H phases from the interaction between concrete or cement and bentonite. Clay Miner. 2016, 51, 223–235. [Google Scholar] [CrossRef] [Green Version]
- Detwiler, R.J.; Fapohunda, C.A.; Natale, J. Use of supplementary cementing materials to increase the resistance to chloride ion penetration of concretes cured at elevated temperatures. Mater. J. 1994, 91, 63–66. [Google Scholar]
- Devi, V.S. Durability properties of multiple blended concrete. Constr. Build. Mater. 2018, 179, 649–660. [Google Scholar] [CrossRef]













| Oxides | OPC (% wt) | Bentonite (% wt) | Fly Ash (% wt) |
|---|---|---|---|
| SiO2 | 54.55 | 52.8 | 35.8 |
| Al2O3 | 31.93 | 16.4 | 20.2 |
| Fe2O3 | 3.12 | 5.8 | 11.4 |
| MgO | 1.42 | 1.4 | 1.80 |
| CaO | 4.64 | 4.6 | 14.3 |
| Na2O | 0.3 | 0.62 | 1.20 |
| K2O | 1.3 | 0.7 | 2.2 |
| Relative density (g/cm3) | 2.10 | 2.64 | 1.8 |
| Specific surface area (cm2/gm) | 3207 | 4900 | 3250 |
| Loss on ignition (%) | 1.30 | 9.6 | 0.57 |
| Entity | Specification |
|---|---|
| Color | Colorless |
| Density, kg/m3 | 1458 |
| Total solid content | 48 (% mass) |
| Characteristic | Fine Aggregates | Coarse Aggregates | |
|---|---|---|---|
| RCA | NCA | ||
| Maximum aggregate size (mm) | 4.75 | 19.50 | 19.50 |
| 24-h water absorption (%) | 0.59 | 6.25 | 0.63 |
| 10% Fine value (kN) | - | 129.5 | 172.5 |
| Dry rodded density (kg/m3) | 1615 | 1377 | 1575 |
| Type of Concrete | Specimen ID | Replacement of HCFA with Bentonite |
|---|---|---|
| Geopolymer natural aggregate concrete (GNAC) | GNAC/B0(PC) | 0 |
| GNAC/B5 | 5% | |
| GNAC/B10 | 10% | |
| GNAC/B15 | 15% | |
| GNAC/B20 | 20% | |
| Geopolymer recycled aggregate concrete (GRAC) | GRAC/B0(SC) | 0 |
| GRAC/B5 | 5% | |
| GRAC/B10 | 10% | |
| GRAC/B15 | 15% | |
| GRAC/B20 | 20% |
| Mix ID | Sand (kg/m3) | NCA (kg/m3) | RCA (kg/m3) | Fly Ash (kg/m3) | Bentonite (kg/m3) | NaOH (kg/m3) | Na2SiO3 (kg/m3) | Superplasticizer (SP) (kg/m3) |
|---|---|---|---|---|---|---|---|---|
| GNAC/B0 (PC) | 640 | 1200 | 425 | - | 53 | 107 | 4 | |
| GNAC/B5 | 640 | 1200 | 404 | 21 | 53 | 107 | 4 | |
| GNAC/B10 | 640 | 1200 | 383 | 43 | 53 | 107 | 6 | |
| GNAC/B15 | 640 | 1200 | 361 | 64 | 53 | 107 | 8 | |
| GNAC/B20 | 640 | 1200 | 340 | 85 | 53 | 107 | 10 | |
| GRAC/B0 (SC) | 640 | - | 1080 | 425 | - | 53 | 107 | 8 |
| GRAC/B5 | 640 | - | 1080 | 404 | 21 | 53 | 107 | 10 |
| GRAC/B10 | 640 | - | 1080 | 383 | 43 | 53 | 107 | 12 |
| GRAC/B15 | 640 | - | 1080 | 361 | 64 | 53 | 107 | 14 |
| GRAC/B20 | 640 | - | 1080 | 340 | 85 | 53 | 107 | 16 |
| Test | Testing Day | Total Specimens | |||
|---|---|---|---|---|---|
| Day 3 | Day 28 | Day 56 | Day 90 | ||
| Number of Specimens | |||||
| Compressive strength | 30 | 30 | - | 30 | 90 |
| Splitting tensile strength | - | 30 | - | 30 | 60 |
| Water absorption | - | - | - | 30 | 30 |
| Chloride migration coefficient | - | - | - | 30 | 30 |
| Percentage mass loss | - | 30 | 30 | 30 | 90 |
Publisher’s Note: MDPI stays neutral with regard to jurisdictional claims in published maps and institutional affiliations. |
© 2021 by the authors. Licensee MDPI, Basel, Switzerland. This article is an open access article distributed under the terms and conditions of the Creative Commons Attribution (CC BY) license (https://creativecommons.org/licenses/by/4.0/).
Share and Cite
Waqas, R.M.; Butt, F.; Danish, A.; Alqurashi, M.; Mosaberpanah, M.A.; Masood, B.; Hussein, E.E. Influence of Bentonite on Mechanical and Durability Properties of High-Calcium Fly Ash Geopolymer Concrete with Natural and Recycled Aggregates. Materials 2021, 14, 7790. https://doi.org/10.3390/ma14247790
Waqas RM, Butt F, Danish A, Alqurashi M, Mosaberpanah MA, Masood B, Hussein EE. Influence of Bentonite on Mechanical and Durability Properties of High-Calcium Fly Ash Geopolymer Concrete with Natural and Recycled Aggregates. Materials. 2021; 14(24):7790. https://doi.org/10.3390/ma14247790
Chicago/Turabian StyleWaqas, Rana Muhammad, Faheem Butt, Aamar Danish, Muwaffaq Alqurashi, Mohammad Ali Mosaberpanah, Bilal Masood, and Enas E. Hussein. 2021. "Influence of Bentonite on Mechanical and Durability Properties of High-Calcium Fly Ash Geopolymer Concrete with Natural and Recycled Aggregates" Materials 14, no. 24: 7790. https://doi.org/10.3390/ma14247790
APA StyleWaqas, R. M., Butt, F., Danish, A., Alqurashi, M., Mosaberpanah, M. A., Masood, B., & Hussein, E. E. (2021). Influence of Bentonite on Mechanical and Durability Properties of High-Calcium Fly Ash Geopolymer Concrete with Natural and Recycled Aggregates. Materials, 14(24), 7790. https://doi.org/10.3390/ma14247790

