Nanocrystalline SnO2 Functionalized with Ag(I) Organometallic Complexes as Materials for Low Temperature H2S Detection
Abstract
:1. Introduction
2. Materials and Methods
2.1. Material Synthesis
2.1.1. Synthesis of Nanocrystalline SnO2
2.1.2. Synthesis of Ag Organic Complexes
2.1.3. Synthesis of Composite Materials
2.2. Materials Characterization
3. Results and Discussion
3.1. Characteristics of Nanocrystalline SnO2
3.2. Characteristics of Composite Materials
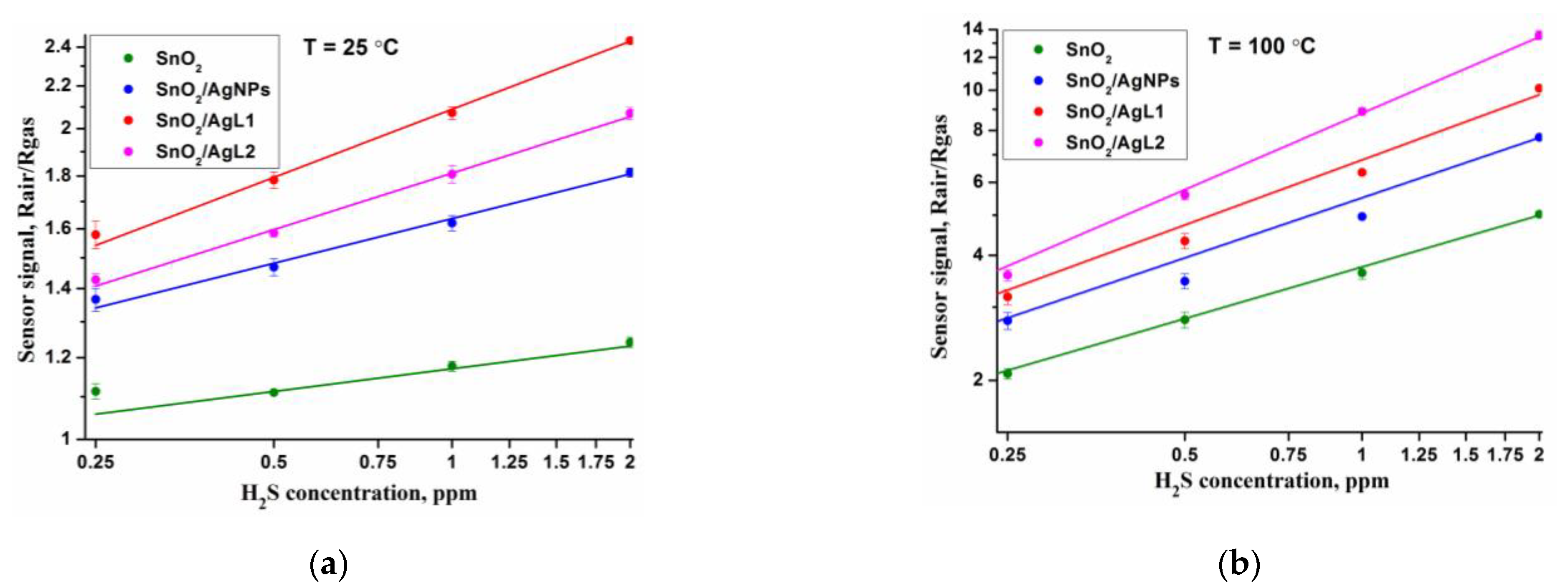
3.3. Gas Sensor Properties
4. Conclusions
Supplementary Materials
Author Contributions
Funding
Data Availability Statement
Acknowledgments
Conflicts of Interest
References
- Toxicological Profile for Hydrogen Sulfide and Carbonyl Sulfide. Agency for Toxic Substances and Disease Registry (ATSDR); U.S. Department of Health and Human Services, Public Health Service: Atlanta, GA, USA, 2016. Available online: https://www.atsdr.cdc.gov/toxprofiles/tp114.pdf (accessed on 16 November 2021).
- Davies, D.B.; Haggerty, S.E. Health Effects Associated with Short-Term Exposure to Low levels of Hydrogen Sulphide (H2S)—A Technical Review; Cantox Environmental Inc. Alberta Health and Wellness, Edmonton: Calgary, AB, Canada, 2002; T2P 3G. [Google Scholar]
- Air Quality Guidelines for Europe, 2nd ed.; World Health Organization. Regional Office for Europe: Geneva, Switzerland, 2000; Available online: https://apps.who.int/iris/handle/10665/107335 (accessed on 16 November 2021).
- Pandey, S.K.; Kim, K.H.; Tang, K.T. A review of sensor-based methods for monitoring hydrogen sulfide. Trends Anal. Chem. 2012, 32, 87–99. [Google Scholar] [CrossRef]
- Llobet, E.; Brunet, J.; Pauly, A.; Ndiaye, A.; Varenne, C. Nanomaterials for the Selective Detection of Hydrogen Sulfide in Air. Sensors 2017, 17, 391. [Google Scholar] [CrossRef] [PubMed]
- Ali, F.I.M.; Awwad, F.; Greish, Y.E.; Mahmoud, S.T. Hydrogen Sulfide (H2S) gas sensor—A Review. IEEE Sens. J. 2019, 19, 2394–2407. [Google Scholar] [CrossRef]
- Rumyantseva, M.N.; Vladimirova, S.A.; Vorobyeva, N.A.; Giebelhaus, I.; Mathur, S.; Chizhov, A.S.; Khmelevsky, N.O.; Aksenenko, A.Y.; Kozlovsky, V.F.; Karakulina, O.M.; et al. p-CoOx/n-SnO2 nanostructures: New highly selective materials for H2S detection. Sens. Actuators B 2018, 255, 564–571. [Google Scholar] [CrossRef]
- Stanoiu, A.; Kuncser, A.C.; Ghica, D.; Florea, O.G.; Somacescu, S.; Simion, C.E. Sensing Properties of NiO Loaded SnO2 Nanoparticles—Specific Selectivity to H2S. Chemosensors 2021, 9, 125. [Google Scholar] [CrossRef]
- Sui, L.; Yu, T.; Zhao, D.; Cheng, X.; Zhang, X.; Wang, P.; Xu, Y.; Gao, S.; Zhao, H.; Gao, Y.; et al. In Situ deposited hierarchical CuO/NiO nanowall arrays film sensor with enhanced gas sensing performance to H2S. J. Hazard. Mat. 2019, 385, 121570. [Google Scholar] [CrossRef] [PubMed]
- Li, Z.; Huang, Y.; Zhang, S.; Chen, W.; Kuang, Z.; Ao, D.; Liu, W.; Fu, Y. A fast response and recovery H2S gas sensor based on α-Fe2O3 nanoparticles with ppb level detection limit. J. Hazard. Mat. 2015, 300, 167–174. [Google Scholar] [CrossRef]
- Prikhodko, K.; Nasriddinov, A.; Vladimirova, S.; Rumyantseva, M.; Gaskov, A. Nanocrystalline Oxides NixCo3−xO4: Sub-ppm H2S Sensing and Humidity Effect. Chemosensors 2021, 9, 34. [Google Scholar] [CrossRef]
- Hoa, T.T.N.; Duy, N.V.; Hung, C.M.; Hieu, N.V.; Hau, H.H.; Hoa, N.D. Dip-coating decoration of Ag2O nanoparticles on SnO2 nanowires for high-performance H2S gas sensors. RSC Adv. 2020, 10, 17713. [Google Scholar]
- Chumakova, V.; Marikutsa, A.; Rumyantseva, M.; Fasquelle, D.; Gaskov, A. Nanocrystalline LaCoO3 modified by Ag nanoparticles with improved sensitivity to H2S. Sens. Actuators B Chem. 2019, 296, 126661. [Google Scholar] [CrossRef]
- Shen, Y.; Zhang, B.; Cao, X.; Wei, D.; Ma, J.; Jia, L.; Gaoa, S.; Cuia, B.; Jin, Y. Microstructure and enhanced H2S sensing properties of Pt-loaded WO3 thin films. Sens. Actuators B Chem. 2014, 193, 273–279. [Google Scholar] [CrossRef]
- Luo, Y.; Zhang, D.; Fan, X. Hydrothermal fabrication of Ag-decorated MoSe2/reduced graphene oxide ternary hybrid for H2S gas sensing. IEEE Sens. J. 2020, 20, 13262–13268. [Google Scholar] [CrossRef]
- Shaposhnik, A.V.; Moskalev, P.V.; Zviagin, A.A.; Duykova, M.V.; Ryabtsev, S.V.; Ghareeb, D.A.A.; Vasiliev, A.A. Selective Determination of Hydrogen Sulfide Using SnO2–Ag Sensor Working in Non-Stationary Temperature Regime. Chemosensors 2021, 9, 203. [Google Scholar] [CrossRef]
- Rumyantseva, M.N.; Vladimirova, S.A.; Platonov, V.B.; Chizhov, A.S.; Batuk, M.; Hadermann, J.; Khmelevsky, N.O.; Gaskov, A.M. Sub-ppm H2S sensing by tubular ZnO-Co3O4 nanofibers. Sens. Actuators B Chem. 2019, 307, 127624. [Google Scholar] [CrossRef]
- Kim, J.-H.; Mirzaei, A.; Bang, J.H.; Kim, H.W.; Kim, S.S. Selective H2S sensing without external heat by a synergy effect in self-heated CuO-functionalized SnO2-ZnO core-shell nanowires. Sens. Actuators B Chem. 2019, 300, 126981. [Google Scholar] [CrossRef]
- Vuong, N.M.; Chinh, N.D.; Huy, B.T.; Lee, Y.-I. CuO-Decorated ZnO Hierarchical Nanostructures as Efficient and Established Sensing Materials for H2S Gas Sensors. Sci. Rep. 2016, 6, 26736. [Google Scholar] [CrossRef] [PubMed] [Green Version]
- Cui, G.; Zhang, P.; Chen, L.; Wang, X.; Li, J.; Shi, C.; Wang, D. Highly sensitive H2S sensors based on Cu2O/Co3O4 nano/microstructure heteroarrays at and below room temperature. Sci. Rep. 2017, 7, 43887. [Google Scholar] [CrossRef] [Green Version]
- Li, Z.; Wang, J.; Wang, N.; Yan, S.; Liu, W.; Fu, Y.Q.; Wang, Z. Hydrothermal synthesis of hierarchically flower-like CuO nanostructures with porous nanosheets for excellent H2S sensing. J. Alloy. Compd. 2017, 725, 1136–1143. [Google Scholar] [CrossRef]
- Kalia, S.; Haldorai, Y. Organic-Inorganic Hybrid Nanomaterials; Springer: Berlin/Heidelberg, Germany, 2015. [Google Scholar]
- Kaushik, A.; Kumar, R.; Arya, S.K.; Nair, M.; Malhotra, B.D.; Bhansali, S. Organic–Inorganic Hybrid Nanocomposite-Based Gas Sensors for Environmental Monitoring. Chem. Rev. 2015, 115, 4571–4606. [Google Scholar] [CrossRef]
- Wang, S.; Kang, Y.; Wang, L.; Zhang, H.; Wang, Y.; Wang, Y. Organic/inorganic hybrid sensors: A review. Sens. Actuators B Chem. 2013, 182, 467–481. [Google Scholar] [CrossRef]
- Do, W.H.; Lee, C.J.; Kim, D.Y.; Jung, M.J. Adsorption of 2-mercaptopyridine and 4-mercaptopyridine on a silver surfaces investigated by SERS spectroscopy. J. Ind. Eng. Chem. 2012, 18, 2141–2146. [Google Scholar] [CrossRef]
- Rumyantseva, M.; Makeeva, E.; Gaskov, A.; Shepel, N.; Peregudova, S.; Khoroshutin, A.; Tokarev, S.; Fedorova, O. H2S Sensing by Hybrids Based on Nanocrystalline SnO2 Functionalized with Cu(II) Organometallic Complexes: The Role of the Ligand Platform. Nanomaterials 2017, 7, 384. [Google Scholar] [CrossRef] [PubMed] [Green Version]
- Ngoc, T.M.; Nguyen, H.; Hung, C.M.; Trung, N.N.; Duy, N.V. H2S Sensing Characteristics of Self-heated Ag-coated SnO2 nanowires. In Proceedings of the 12th Asian Conference on Chemical Sensors (ACCS2017), Hanoi, Vietnam, 12–15 November 2017. [Google Scholar]
- Zubenko, A.D.; Egorova, B.V.; Kalmykov, S.N.; Shepel, N.E.; Karnoukhova, V.A.; Fedyanin, I.V.; Fedorov, Y.V.; Fedorova, O.A. Out-cage metal ion coordination by novel benzoazacrown bisamides with carboxyl, pyridyl and picolinate pendant arms. Tetrahedron 2019, 75, 2848–2859. [Google Scholar] [CrossRef]
- Fedorov, Y.V.; Fedorova, O.A.; Kalmykov, S.N.; Oshchepkov, M.S.; Nelubina, Y.V.; Arkhipov, D.E.; Egorova, B.V.; Zubenko, A.D. Potentiometric studies of complex formation of amidopyridine macrocycles bearing pendant arms with proton and heavy metal ions in aqueous solution. Polyhedron 2017, 124, 229–236. [Google Scholar] [CrossRef]
- García-Tecedor, M.; Maestre, D.; Cremades, A.; Piqueras, J. Growth and characterization of Cr doped SnO2 microtubes with resonant cavity modes. J. Mater. Chem. C 2016, 4, 5709–5716. [Google Scholar] [CrossRef]
- Peercy, P.S.; Morosin, B. Pressure and temperature dependences of the Raman-active phonons in SnO2. Phys. Rev. B 1973, 7, 2779–2786. [Google Scholar] [CrossRef]
- Abello, L.; Bochu, B.; Gaskov, A.; Koudryavtseva, S.; Lucazeau, G.; Roumyantseva, M. Structural characterization of nanocrystalline SnO2 by X-ray and Raman spectroscopy. J. Solid State Chem. 1998, 135, 78–85. [Google Scholar] [CrossRef]
- Liu, L.Z.; Li, T.H.; Wu, X.L.; Shen, J.C.; Chu, P.K. Identification of oxygen vacancy types from Raman spectra of SnO2 nanocrystals. J. Raman Spectrosc. 2012, 43, 1423–1426. [Google Scholar] [CrossRef]
- Nasriddinov, A.; Rumyantseva, M.; Marikutsa, A.; Gaskov, A.; Lee, J.H.; Kim, J.H.; Kim, J.Y.; Kim, S.S.; Kim, H.W. Sub-ppm Formaldehyde Detection by n-n TiO2@SnO2 Nanocomposites. Sensors 2019, 19, 3182. [Google Scholar] [CrossRef] [PubMed] [Green Version]
- Bruevich, V.V.; Makhmutov, T.S.; Elizarov, S.G.; Nechvolodova, E.M.; Paraschuk, D.Y. Raman spectroscopy of intermolecular charge transfer complex between a conjugated polymer and an organic acceptor molecule. J. Chem. Phys. 2007, 127, 104905. [Google Scholar] [CrossRef]
- Nasriddinov, A.; Rumyantseva, M.; Shatalova, T.; Tokarev, S.; Yaltseva, P.; Fedorova, O.; Khmelevsky, N.; Gaskov, A. Organic-Inorganic Hybrid Materials for Room Temperature Light-Activated Sub-ppm NO Detection. Nanomaterials 2019, 10, 70. [Google Scholar] [CrossRef] [Green Version]
- Socrates, G. Infrared and Raman Characteristic Group Frequencies: Tables and Charts, 3rd ed.; John Wiley & Sons Ltd.: Chichester, UK, 2001; pp. 168–169. [Google Scholar]
- Silverstein, D.W.; Milojevich, C.B.; Camden, J.P.; Jensen, L. Investigation of linear and nonlinear Raman scattering for isotopologues of Ru(bpy)3 2+. J. Phys. Chem. C 2013, 117, 20855–20866. [Google Scholar] [CrossRef]
- Ansari, S.G.; Fouad, H.; Shin, H.-S.; Ansari, Z.A. Electrochemical enzyme-less urea sensor based on nano-tin oxide synthesized by hydrothermal technique. Chem.-Biol. Interact. 2015, 242, 45–49. [Google Scholar] [CrossRef] [PubMed]
- Kumar, A.; Rout, L.; Dhaka, R.S.; Samala, S.L.; Dash, P. Design of a graphene oxide-SnO2 nanocomposite with superior catalytic efficiency for the synthesis of β-enaminones and β-enaminoesters. RSC Adv. 2015, 5, 39193–39204. [Google Scholar] [CrossRef]
- Nakamoto, K. Infrared and Raman Spectra of Inorganic and Coordination Compounds. Part A: Theory and Applications in Inorganic Chemistry, 6th ed.; John Wiley & Sons, Inc.: Hoboken, NJ, USA, 2009; pp. 109+183. [Google Scholar]
- Moulder, J.F.; Stickle, W.F.; Sobol, P.E.; Bomben, K.D. Handbook of X-ray Photoelectron Spectroscopy; Perkin-Elmer Corporation: Eden Prairie, MN, USA, 1992. [Google Scholar]
- Wagner, C.D.; Naumkin, A.V.; Kraut-Vass, A.; Allison, J.W.; Powell, C.J.; Rumble, J.R., Jr. NIST Standard Reference Database 20, Version 3.4 (web version); National Institute of Standards and Technology: Gaithersburg, MD, USA, 2003. [Google Scholar]
- Ferraria, A.M.; Carapeto, A.P.; Botelho do Rego, A.M. X-ray photoelectron spectroscopy: Silver salts revisited. Vacuum 2012, 86, 1988–1991. [Google Scholar] [CrossRef]
- Barsan, N.; Weimar, U. Conduction model of metal oxide gas sensors. J. Electroceram. 2001, 7, 143–167. [Google Scholar] [CrossRef]
- Korotcenkov, G.; Brinzari, V.; Golovanov, V.; Blinov, Y. Kinetics of gas response to reducing gases of SnO2 films, deposited by spray pyrolysis. Sens. Actuators B 2004, 98, 41–45. [Google Scholar] [CrossRef]
- Yamazoe, N. New approaches for improving semiconductor gas sensors. Sens. Actuators B 1991, 5, 7–19. [Google Scholar] [CrossRef]
- Matsushima, S.; Teraoka, Y.; Miura, N.; Yamazoe, N. Electronic Interaction between Metal Additives and Tin Dioxide in Tin Dioxide-Based Gas Sensors. Jpn. J. Appl. Phys. 1988, 27, 1798–1802. [Google Scholar] [CrossRef]
- Xua, Q.; Zong, B.; Li, Q.; Fang, X.; Mao, S.; Ostrikov, K. H2S sensing under various humidity conditions with Ag nanoparticle functionalized Ti3C2Tx MXene field-effect transistors. J. Hazard. Mater. 2022, 424, 127492. [Google Scholar] [CrossRef] [PubMed]









| Sample | SnO2/AgNPs | SnO2/AgL1 | SnO2/AgL2 |
|---|---|---|---|
| [Ag]/([Ag] + [Sn]), at.% | 1.06 ± 0.01 | 1.01 ± 0.01 | 0.98 ± 0.01 |
| [Sn]/([Ag] + [Sn]), at.% | 98.94 ± 0.10 | 98.99 ± 0.10 | 99.02 ± 0.10 |
Publisher’s Note: MDPI stays neutral with regard to jurisdictional claims in published maps and institutional affiliations. |
© 2021 by the authors. Licensee MDPI, Basel, Switzerland. This article is an open access article distributed under the terms and conditions of the Creative Commons Attribution (CC BY) license (https://creativecommons.org/licenses/by/4.0/).
Share and Cite
Goncharov, T.; Nasriddinov, A.; Zubenko, A.; Tokarev, S.; Shatalova, T.; Khmelevsky, N.; Fedorova, O.; Rumyantseva, M. Nanocrystalline SnO2 Functionalized with Ag(I) Organometallic Complexes as Materials for Low Temperature H2S Detection. Materials 2021, 14, 7778. https://doi.org/10.3390/ma14247778
Goncharov T, Nasriddinov A, Zubenko A, Tokarev S, Shatalova T, Khmelevsky N, Fedorova O, Rumyantseva M. Nanocrystalline SnO2 Functionalized with Ag(I) Organometallic Complexes as Materials for Low Temperature H2S Detection. Materials. 2021; 14(24):7778. https://doi.org/10.3390/ma14247778
Chicago/Turabian StyleGoncharov, Timofei, Abulkosim Nasriddinov, Anastasia Zubenko, Sergey Tokarev, Tatyana Shatalova, Nikolay Khmelevsky, Olga Fedorova, and Marina Rumyantseva. 2021. "Nanocrystalline SnO2 Functionalized with Ag(I) Organometallic Complexes as Materials for Low Temperature H2S Detection" Materials 14, no. 24: 7778. https://doi.org/10.3390/ma14247778
APA StyleGoncharov, T., Nasriddinov, A., Zubenko, A., Tokarev, S., Shatalova, T., Khmelevsky, N., Fedorova, O., & Rumyantseva, M. (2021). Nanocrystalline SnO2 Functionalized with Ag(I) Organometallic Complexes as Materials for Low Temperature H2S Detection. Materials, 14(24), 7778. https://doi.org/10.3390/ma14247778

