X-ray CT Analysis of the Cross-Section of a 3D-Printed Deformed Layer
Abstract
:1. Introduction
2. Experimental Method
2.1. Printing Conditions
2.1.1. Testing Equipment and Nozzle
2.1.2. Laminated Specimen with Nozzle Traveling Speed
2.1.3. Measurement of the Printing Volume
2.2. Materials and Specimen
2.2.1. Materials Used and Mixing
2.2.2. Specimen Preparation
2.2.3. Compressive Strength Measurement
2.3. Cross-section Measurement Method
2.3.1. Apparent Size Measurement
2.3.2. Measurement of the Shape and Cross-Sectional Area of the Layer Using X-ray CT Equipment
3. Results and Discussion
3.1. Printing Results
3.2. External Dimension Measurements
3.3. Analysis of the Layer Width and Height Using X-ray CT Analysis
3.4. Layer Cross-Sectional Area Calculation Using X-ray CT Analysis
3.5. Comparison of the Layer Cross-Sectional Area Following the Measurement Method
3.6. Compressive Strength Measurement Results
4. Conclusions
- The X-ray CT method could obtain more accurate results than the appearance investigation method to analyze the cross-sectional area of the deformed layer and the shape of the interface. Through the X-ray CT analysis, it was possible to analyze the shape of the interface due to the deformation of the layer, which could not be confirmed in the appearance investigation. Although the deformation of the layer occurred, the cross-sectional area was maintained regardless of the printing order. The appearance investigation method could not analyze the layer interface. Still, the cross-sectional area of the layer was almost similar to the X-ray CT analysis result when the average value of 100 data was used.
- Four nozzle traveling speeds (80, 90, 100, and 110 mm/s) were set for the experimental validation, and printing was performed. Upon measuring the apparent size using Vernier calipers, a significant difference was observed in the area depending on the printing order of the layer. Particularly, a significant variation was observed in Layers 1–3 of the test specimen, showing relatively slow nozzle traveling speeds of 80–90 mm/s. In contrast, the analysis of the cross-sectional area showed a similar layer area regardless of the printing order of the layers. However, the cross-sectional area of Layer 1 of the 80 mm/s specimen was 60%–70% compared to the other layers, which can be attributed to material loss due to overflow.
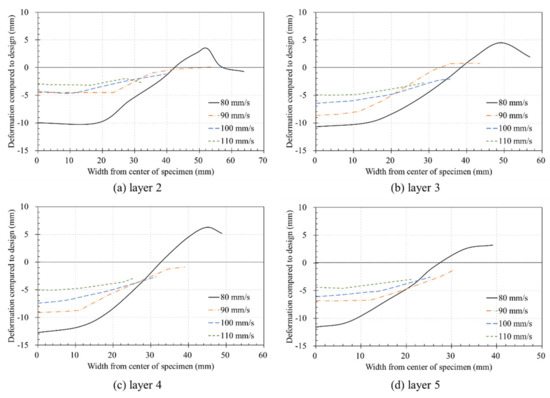
- The nozzle traveling speed affects the cross-sectional area of the layer when the extrusion amount of the material is the same. If the nozzle traveling speed is slow, the time required to pass through any one point of the layer becomes more extended. The extrusion amount increases because the extrusion time of the material becomes longer. Therefore, since the nozzle traveling speed becomes a significant factor in determining the layer’s cross-sectional area, if the nozzle’s traveling speed is slowed, the cross-sectional area of the layer increases.
- Moreover, it was found that the nozzle traveling speed affected the deformation of the layer. The same amount of material extruded means the same pump pressure applied to the material, and it can be assumed that the material extrusion pressure at the nozzle is the same. The slower the nozzle traveling speed, the longer the amount of time affected by the extrusion pressure of the material at any point in the layer. As a result of X-ray CT, the layer interface showed a tendency to become lower at the center of the specimen and higher towards the edge. As such, it is assumed that the shape of the layer interface was formed radially from the center because the extrusion pressure of the material was generated from the nozzle and transmitted radially to the layer. In particular, when the nozzle traveling speed is lowered below a specific critical value, the lower layer is destroyed due to the extrusion pressure, and the material is pushed to the edge.
- Although the layer cross-sectional area varied according to different nozzle traveling speeds, no significant changes were observed in the strength according to the nozzle traveling speed. However, the strength of the printed specimen was lower than that of the mold–cast specimen, as shown in previous studies. Therefore, it is necessary to study the correlation between the surface and compressive strength of printed specimens in future work.
Author Contributions
Funding
Institutional Review Board Statement
Informed Consent Statement
Data Availability Statement
Conflicts of Interest
References
- Kumar, R.; Kumar, M.; Chohan, J.S. The role of additive manufacturing for biomedical applications: A critical review. J. Manuf. Process. 2021, 64, 828–850. [Google Scholar] [CrossRef]
- Ngo, T.D.; Kashani, A.; Imbalzano, G.; Nguyen, K.T.Q.; Hui, D. Additive manufacturing (3D printing): A review of materials, methods, applications and challenges. Compos. Part B Eng. 2018, 143, 172–196. [Google Scholar] [CrossRef]
- Oztan, C.; Coverstone, V. Utilization of additive manufacturing in hybrid rocket technology: A review. Acta Astronaut. 2021, 180, 130–140. [Google Scholar] [CrossRef]
- Paolini, A.; Kollmannsberger, S.; Rank, E. Additive manufacturing in construction: A review on processes, applications, and digital planning methods. Addit. Manuf. 2019, 30, 100894. [Google Scholar] [CrossRef]
- Zhang, J.; Wang, J.; Dong, S.; Yu, X.; Han, B. A review of the current progress and application of 3D printed concrete. Compos. Part A: Appl. Sci. Manuf. 2019, 125, 105533. [Google Scholar] [CrossRef]
- Buswell, R.A.; De Silva, W.R.L.; Jones, S.Z.; Dirrenberger, J. 3D printing using concrete extrusion: A roadmap for research. Cem. Concr. Res. 2018, 112, 37–49. [Google Scholar] [CrossRef]
- Chaunier, L.; Guessasma, S.; Belhabib, S.; Della Valle, G.; Lourdin, D.; Leroy, E. Material extrusion of plant biopolymers: Opportunities & challenges for 3D printing. Addit. Manuf. 2018, 21, 220–233. [Google Scholar] [CrossRef]
- Sanatgar, R.H.; Campagne, C.; Nierstrasz, V. Investigation of the adhesion properties of direct 3D printing of polymers and nanocomposites on textiles: Effect of FDM printing process parameters. Appl. Surf. Sci. 2017, 403, 551–563. [Google Scholar] [CrossRef]
- Lin, L.; Li, M.; Zhou, Q. Study of Thermal-Responsive Poly-L-lactic acid/Nanohydroxyapatite Composite Filament and its 3D Printing. Polym. Sci. Ser. A 2019, 61, 855–864. [Google Scholar] [CrossRef]
- Colombo, A.; Geiker, M.R.; Justnes, H.; Lauten, R.A.; De Weerdt, K. On the effect of calcium lignosulfonate on the rheology and setting time of cement paste. Cem. Concr. Res. 2017, 100, 435–444. [Google Scholar] [CrossRef]
- Jiao, D.; Shi, C.; Yuan, Q.; An, X.; Liu, Y.; Li, H. Effect of constituents on rheological properties of fresh concrete-A review. Cem. Concr. Compos. 2017, 83, 146–159. [Google Scholar] [CrossRef]
- Lee, H.; Kim, J.H.; Moon, J.H.; Kim, W.W.; Seo, E.A. Experimental analysis on rheological properties for control of concrete extrudability. Adv. Concr. Constr. 2020, 9, 93–102. [Google Scholar]
- Lee, K.W.; Lee, H.J.; Choi, M.S. Evaluation of 3D concrete printing performance from a rheological perspective. Adv. Concr. Constr. 2019, 8, 155–163. [Google Scholar]
- Qian, Y.; Kawashima, S. Flow onset of fresh mortars in rheometers: Contribution of paste deflocculation and sand particle migration. Cem. Concr. Res. 2016, 90, 97–103. [Google Scholar] [CrossRef] [Green Version]
- Qian, Y.; Kawashima, S. Distinguishing dynamic and static yield stress of fresh cement mortars through thixotropy. Cem. Concr. Compos. 2018, 86, 288–296. [Google Scholar] [CrossRef]
- Roussel, N. Rheological requirements for printable concretes. Cem. Concr. Res. 2018, 112, 76–85. [Google Scholar] [CrossRef]
- Wangler, T.; Lloret, E.; Reiter, L.; Hack, N.; Gramazio, F.; Kohler, M.; Bernhard, M.; Dillenburger, B.; Buchli, J.; Roussel, N.; et al. Digital Concrete: Opportunities and Challenges. RILEM Tech. Lett. 2016, 1, 67–75. [Google Scholar] [CrossRef]
- Lee, H.; Kim, J.-H.J.; Moon, J.-H.; Kim, W.-W.; Seo, E.-A. Evaluation of the Mechanical Properties of a 3D-Printed Mortar. Materials 2019, 12, 4104. [Google Scholar] [CrossRef] [Green Version]
- Comminal, R.; da Silva, W.R.L.; Andersen, T.J.; Stang, H.; Spangenberg, J. Modelling of 3D concrete printing based on computational fluid dynamics. Cem. Concr. Res. 2020, 138, 106256. [Google Scholar] [CrossRef]
- Ooms, T.; Vantyghem, G.; Van Coile, R.; De Corte, W. A parametric modelling strategy for the numerical simulation of 3D concrete printing with complex geometries. Addit. Manuf. 2021, 38, 101743. [Google Scholar] [CrossRef]
- Jang, S.; Boddorff, A.; Jang, D.J.; Lloyd, J.; Wagner, K.; Thadhani, N.; Brettmann, B. Effect of material extrusion process parameters on filament geometry and inter-filament voids in as-fabricated high solids loaded polymer composites. Addit. Manuf. 2021, 47, 102313. [Google Scholar] [CrossRef]
- Ma, D.; Tian, X.; Wang, S.; Liu, H.; Chen, S.; Han, J.; Xia, L. Strand-Morphology-Based Process Optimization for Extrusion-Based Silicone Additive Manufacturing. Polymers 2021, 13, 3576. [Google Scholar] [CrossRef] [PubMed]
- Lee, H.; Seo, E.-A.; Kim, W.-W.; Moon, J.-H. Experimental Study on Time-Dependent Changes in Rheological Properties and Flow Rate of 3D Concrete Printing Materials. Materials 2021, 14, 6278. [Google Scholar] [CrossRef] [PubMed]
- Lee, H.; Kim, J.-H.J.; Moon, J.-H.; Kim, W.-W.; Seo, E.-A. Correlation between pore characteristics and tensile bond strength of additive manufactured mortar using X-ray computed tomography. Constr. Build. Mater. 2019, 226, 712–720. [Google Scholar] [CrossRef]
- Lifton, J.; Liu, T. An adaptive thresholding algorithm for porosity measurement of additively manufactured metal test samples via X-ray computed tomography. Addit. Manuf. 2021, 39, 101899. [Google Scholar] [CrossRef]
- Otten, W.; Pajor, R.; Schmidt, S.; Baveye, P.; Hague, R.; Falconer, R.E. Combining X-ray CT and 3D printing technology to produce microcosms with replicable, complex pore geometries. Soil Biol. Biochem. 2012, 51, 53–55. [Google Scholar] [CrossRef] [Green Version]
- ASTM International. Standard Specification for Flow Table for Use in Tests of Hydraulic Cement; ASTM International: West Conshohocken, PA, USA, 2014; ASTM C230/C230M. [Google Scholar] [CrossRef]
- ASTM International. Standard Test Method for Compressive Strength of Hydraulic Cement Mortars (Using 2-in. or [50 mm] Cube Specimens); ASTM International: West Conshohocken, PA, USA, 2016; ASTM Standard C109/109M. [Google Scholar] [CrossRef]
- Standards of the Korean Concrete Society. Standard Method of Making Compressive Strength Specimens of Underwater Additive Layering Concrete; Standards of the Korean Concrete Society: Seoul, Korea, 2021; KCI-CT115. [Google Scholar]






















| W/B | Water | OPC | FA | SF | Sand | HWRA | VMA |
|---|---|---|---|---|---|---|---|
| 0.28 | 214.59 | 533.28 | 153.41 | 76.70 | 1054.69 | 15.27 | 0.76 |
| (mm2) | X-ray CT Analysis | Vernier Calipers | ||||
|---|---|---|---|---|---|---|
| Series | Median | Mean | Standard Deviation | Median | Mean | Standard Deviation |
| 80 mm/s | 1108.6 | 1125.5 | 195.2 | 1142.4 | 1136.7 | 537.8 |
| 90 mm/s | 842.1 | 854.1 | 49.2 | 808.4 | 850.3 | 260.9 |
| 100 mm/s | 671.7 | 667.3 | 41.0 | 681.4 | 680.6 | 137.0 |
| 110 mm/s | 561.3 | 565.7 | 24.3 | 579.2 | 580.5 | 77.5 |
Publisher’s Note: MDPI stays neutral with regard to jurisdictional claims in published maps and institutional affiliations. |
© 2021 by the authors. Licensee MDPI, Basel, Switzerland. This article is an open access article distributed under the terms and conditions of the Creative Commons Attribution (CC BY) license (https://creativecommons.org/licenses/by/4.0/).
Share and Cite
Lee, H.-J.; Seo, E.-A.; Kim, W.-W.; Yang, J.-M.; Moon, J.-H. X-ray CT Analysis of the Cross-Section of a 3D-Printed Deformed Layer. Materials 2021, 14, 7764. https://doi.org/10.3390/ma14247764
Lee H-J, Seo E-A, Kim W-W, Yang J-M, Moon J-H. X-ray CT Analysis of the Cross-Section of a 3D-Printed Deformed Layer. Materials. 2021; 14(24):7764. https://doi.org/10.3390/ma14247764
Chicago/Turabian StyleLee, Ho-Jae, Eun-A Seo, Won-Woo Kim, Jun-Mo Yang, and Jae-Heum Moon. 2021. "X-ray CT Analysis of the Cross-Section of a 3D-Printed Deformed Layer" Materials 14, no. 24: 7764. https://doi.org/10.3390/ma14247764
APA StyleLee, H.-J., Seo, E.-A., Kim, W.-W., Yang, J.-M., & Moon, J.-H. (2021). X-ray CT Analysis of the Cross-Section of a 3D-Printed Deformed Layer. Materials, 14(24), 7764. https://doi.org/10.3390/ma14247764

