Novel Diazocrowns with Pyrrole Residue as Lead(II)Colorimetric Probes
Abstract
:1. Introduction
2. Materials and Methods
2.1. General
2.2. Synthesis of Crowns 3 and 4
2.2.1. 1,5-bis(2-nitrophenoxy)pentane (7) and 1,10-bis(2-nitrophenoxy)decane (8)
2.2.2. 1,5-bis(2-aminophenoxy)pentane (5) and 1,10-bis(2-aminophenoxy)decane (6)
2.2.3. Preparation of New Diazocrown 3 and 4
- A: Diaminopodand 5 or 6 (1 mmol) and concentrated hydrochloric acid (0.5 mL) in water (20 mL) (DMF or THF in needed amount can be added to increase solubility of amines);
- B: Sodium nitrite (2 mmol) in water (30 mL);
- C: Pyrrole (1 mmol, 0.07 mL) and sodium hydroxide (0.20 g, 5 mmol) in water (30 mL).
2.2.4. Preparation of Solid Complexes of Crowns 1–4 with Lead(II) Perchlorate
2.3. Lipophilicity Determination
2.4. X-ray Structure Determination
2.5. Cation Binding Studies
2.6. Preparation of Sensing Layers
2.6.1. Test Strips
2.6.2. Optodes
3. Results and Discussion
3.1. Synthesis
3.2. X-ray Structure of 3
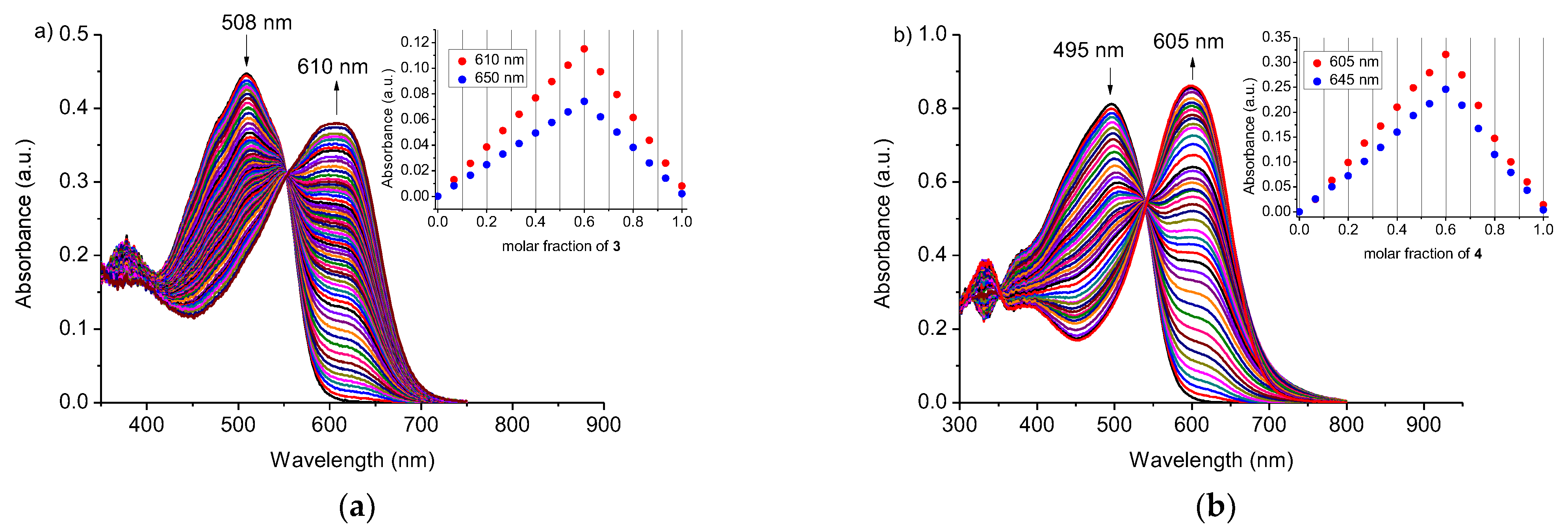
3.3. Heavy Metal Cation Complexation Studies
3.4. Possible Applications
4. Conclusions
Supplementary Materials
Author Contributions
Funding
Institutional Review Board Statement
Informed Consent Statement
Data Availability Statement
Acknowledgments
Conflicts of Interest
Appendix A
References
- Andreas, A.L.; Browser, S.S. Effects of lead and cadmium exposure on oxygen respiration rates of individual Antarctic foraminifera during agglutinated shell formation. J. Exp. Mar. Biol. Ecol. 2021, 537, 51514. [Google Scholar] [CrossRef]
- Nordberg, G.F.; Fowler, B.A.; Nordberg, M.; Friberg, L. Handbook on the Toxicology of Metals; Academic Press: Amsterdam, The Netherlands, 2007. [Google Scholar]
- Kumar, A.; Kumar, A.; Cabral-Pinto, M.; Chaturvedi, A.K.; Shabnam, A.A.; Subrahmanyam, G.; Mondal, R.; Gupta, D.K.; Malyan, S.K.; Kumar, S.S.; et al. Lead toxicity: Health hazards, influence on food chain, and sustainable remediation approaches. Int. J. Environ. Res. Public Health 2020, 17, 2179. [Google Scholar] [CrossRef] [PubMed] [Green Version]
- Riva, M.A.; Lafranconi, A.; D’orso, M.I.; Cesana, G. Lead poisoning: Historical aspects of a paradigmatic “occupational and environmental disease”. Saf. Health Work 2012, 3, 11–16. [Google Scholar] [CrossRef] [PubMed] [Green Version]
- Montes-Santiago, J. The lead-poisoned genius: Saturnism in famous artists across five centuries. Prog. Brain Res. 2013, 203, 223–240. [Google Scholar] [CrossRef]
- Dongore, R.S. Lead: Toxicological Profile, Pollution Aspects and Remedial Solutions; Chooto, P., Ed.; Intech Open: London, UK, 2020; pp. 45–64. [Google Scholar]
- Elstrott, B.; Khan, L.; Olson, S.; Raghunathan, V.; DeLoughery, T.; Shatzel, J.J. The role of iron repletion in adult iron deficiency anemia and other diseases. Eur. J. Haematol. 2020, 104, 153–161. [Google Scholar] [CrossRef]
- De Souza, I.D.; De Andrade, A.S.; Dalmolin, R.J.S. Lead-interacting proteins and their implication in lead poisoning. Crit. Rev. Toxicol. 2018, 48, 375–386. [Google Scholar] [CrossRef]
- WHO. Water Sanitation and Health. Available online: https://www.who.int/teams/environment-climate-change-and-health/water-sanitation-and-health/water-safety-and-quality/drinking-water-quality-guidelines (accessed on 3 October 2021).
- Palisoc, S.T.; Vitto, R.I.M.; Noel, M.G.; Palisoc, K.T.; Natividad, M.T. Highly sensitive determination of heavy metals in water prior to and after remediation using Citrofortunella Microcarpa. Sci. Rep. 2021, 11. [Google Scholar] [CrossRef]
- Astolfi, M.L.; Conti, M.E.; Marconi, E.; Massimi, L.; Canepari, S. Effectiveness of different sample treatments for the elemental characterization of bees and beehive products. Molecules 2020, 25, 4263. [Google Scholar] [CrossRef]
- Tang, X.; Wang, P.Y.; Buttcher, G. Ion-selective electrodes for detection of lead (II) in drinking water: A mini-review. Environments 2018, 5, 95. [Google Scholar] [CrossRef] [Green Version]
- Deibler, K.; Basu, P. Continuing issues with lead: Recent advances in detection. Eur. J. Inorg. Chem. 2013, 2013, 1086–1096. [Google Scholar] [CrossRef] [Green Version]
- Cai, Y.; Li, M.; Wang, M.; Li, J.; Zhang, Y.; Zhao, Y. Optical fiber sensors for metal ions detection based on novel fluorescent materials. Front. Phys. 2020, 8, 598209. [Google Scholar] [CrossRef]
- Kassal, P.; Horak, E.; Sigurnjak, M.; Steinberg, M.D.; Steinberg, I.M. Wireless and mobile optical chemical sensors and biosensors. Rev. Anal. Chem. 2018, 20170024. [Google Scholar] [CrossRef]
- Du, X.; Xie, X. Ion-Selective optodes: Alternative approaches for simplified fabrication and signaling. Sens. Actuators B 2021, 335, 129368. [Google Scholar] [CrossRef]
- Hosseini, S.; Marandi, F.; Şahin, E.; Musevi, S.J. Synthesis, crystal structure and thermal properties of lead(II) complex with bathophenanthroline and benzoyltrifluoroacetonate ligands. J. Chem. 2013, 2013. [Google Scholar] [CrossRef]
- Paar, J. Some recent coordination chemistry of lead(II). Polyhedron 1997, 16, 551–566. [Google Scholar] [CrossRef]
- Essa, S.M.; Hoidy, W.H. Spectrophotometric determination of cobalt(II) and lead(II) using (1,5-dimethyl-2-phenyl-4-((2,3,4-trihydroxy phenyl)diazenyl)-1H-pyrazol-3(2H)-one) as organic reagent: Using it as antimicrobial and antioxidants. Nano Biomed. Eng. 2020, 12, 160–166. [Google Scholar] [CrossRef]
- Wang, Y.T.; Hu, S.; Zhang, Y.; Gong, H.; Sun, R.; Mao, W.; Wang, D.H.; Chen, Y. A colorimetric Pb2+ chemosensor: Rapid naked-eye detection, high selectivity, theoretical insights, and applications. J. Photochem. Photobiol. A Chem. 2018, 355, 101–108. [Google Scholar] [CrossRef]
- Luboch, E.; Bilewicz, R.; Kowalczyk, M.; Wagner-Wysiecka, E.; Biernat, J.F. Azo Macrocyclic Compounds. Adv. Supramol. Chem. 2003, 9, 71–162. [Google Scholar]
- Wagner-Wysiecka, E.; Łukasik, N.; Biernat, J.F.; Luboch, E. Azo group(s) in selected macrocyclic compounds. J. Incl. Phenom. Macrocycl. Chem. 2018, 90, 189–257. [Google Scholar] [CrossRef] [Green Version]
- Wagner-Wysiecka, E.; Skwierawska, A.; Kravtsov, V.C.; Biernat, J.F. New class of chromogenic proton-dissociable azocrown reagents for alkali metal ions. J. Supramol. Chem. 2001, 1, 77–85. [Google Scholar] [CrossRef]
- Wagner-Wysiecka, E.; Luboch, E.; Kowalczyk, M.; Biernat, J.F. Chromogenic macrocyclic derivatives of azoles-synthesis and properties. Tetrahedron 2003, 59, 4415–4420. [Google Scholar] [CrossRef]
- Luboch, E.; Wagner-Wysiecka, E.; Fainerman-Melnikova, M.; Lindoy, L.F.; Biernat, J.F. Pyrrole azocrown ethers. Synthesis, complexation, selective lead transport and ion-selective membrane electrode studies. Supramol. Chem. 2006, 18, 593–601. [Google Scholar] [CrossRef] [Green Version]
- Wagner-Wysiecka, E.; Rzymowski, T.; Fonari, M.S.; Kulmaczewski, R.; Luboch, E. Pyrrole azocrown ethers-synthesis, crystal structures, and fluorescence properties. Tetrahedron 2011, 67, 1862–1872. [Google Scholar] [CrossRef]
- Wagner-Wysiecka, E.; Luboch, E.; Fonari, M.S. The synthesis, X-ray structure and metal cation complexation properties of colored crown with two heterocyclic residues as a part of macrocycle. Pol. J. Chem. 2008, 82, 1319–1330. [Google Scholar]
- Wagner-Wysiecka, E.; Jamrógiewicz, M.; Fonari, M.S.; Biernat, J.F. Azomacrocyclic derivatives of imidazole: Synthesis, structure, and metal ion complexation properties. Tetrahedron 2007, 63, 4414–4421. [Google Scholar] [CrossRef]
- Luboch, E.; Kravtsov, V.C.; Konitz, A. Reductive cyclization products of 1,2-bis(2-nitrophenoxy)ethanes. X-ray structures of 10-membered azoxycrown ether stereoisomers and the sodium iodide complex of a 20-membered azoazoxycrown. J. Supramol. Chem. 2001, 1, 101–110. [Google Scholar] [CrossRef]
- Jaunin, R.; Holl, R. Macrocycles synthétiques. I. Action du sodium sur les o, o’-polyméthylènedioxy-bis-(benzylidène-anilines). Helv. Chim. Acta 1958, 41, 1783–1792. [Google Scholar] [CrossRef]
- Luboch, E.; Jeszke, M.; Szarmach, M.; Łukasik, N. New bis(azobenzocrown)s with dodecylmethylmalonyl linkers as ionophores for sodium selective potentiometric sensors. J. Incl. Phenom. Macrocycl. Chem. 2016, 86, 323–335. [Google Scholar] [CrossRef] [Green Version]
- Dinten, O.; Spichiger, U.E.; Chaniotakis, N.; Gehrig, P.; Rusterholz, B.; Morf, W.E.; Simon, W. Lifetime of neutral-carrier-based liquid membranes in aqueous samples and blood and the lipophilicity of membrane components. Anal. Chem. 1991, 63, 596–603. [Google Scholar] [CrossRef]
- Dolomanov, O.V.; Bourhis, L.J.; Gildea, R.J.; Howard, J.A.K.; Puschmann, H. OLEX2: A complete structure solution, refinement and analysis program. J. Appl. Crystallogr. 2009, 42, 339–341. [Google Scholar] [CrossRef]
- Sheldrick, G.M. SHELXT—Integrated space-group and crystal-structure determination. Acta Cryst. A 2015, 71, 3–8. [Google Scholar] [CrossRef] [PubMed] [Green Version]
- Kyvala, M.; Lukes, I. Program Package “OPIUM”. Available online: https://web.natur.cuni.cz/~kyvala/opium.html (accessed on 5 June 2021).
- Piesch, M.; Dielmann, F.; Reichl, S.; Scheer, M. A general pathway to heterobimetallic triple-decker complexes. Chem. Eur. J. 2020, 26, 1518–1524. [Google Scholar] [CrossRef] [PubMed]
- Babailov, S.P.; Polovkova, M.A.; Kirakosyan, G.A.; Martynov, A.G.; Zapolotsky, E.N.; Gorbunova, Y.G. NMR thermosensing properties on binuclear triple-decker complexes of terbium(III) and dysprosium(III) with 15-crown-5-phthalocyanine. Sens. Actuators A Phys. 2021, 331, 112933. [Google Scholar] [CrossRef]
- Sitzmann, H.; Walter, M.D.; Wolmershäuser, G. A triple-decker sandwich complex of barium. Angew. Chem. Int. Ed. 2002, 41, 2315–2316. [Google Scholar] [CrossRef]
- Scott McIndoe, J.; Vikse, K.L. Assigning the ESI mass spectra of organometallic and coordination compounds. J. Mass. Spectrom. 2019, 54, 466–479. [Google Scholar] [CrossRef] [PubMed]












| Crown | Model | m/z * | Figure |
|---|---|---|---|
| 1 | [3(C20H18N5O3)−][3Pb2+][2ClO4−] | 1950 | S11a |
| [2C20H19N5O3][(C20H18N5O3)−][2Pb2+][2ClO4−] | 1745 | S11b | |
| [2(C20H18N5O3)−][C20H19N5O3][2Pb2+][ClO4−] | 1644 | S11c | |
| [2(C20H18N5O3)−][2Pb2+][ClO4−] | 1267 | S11d | |
| [(C20H18N5O3)−][Pb2+] | 584 | S11e | |
| 2 | [3(C22H22N5O4)−][3Pb2+][2ClO4−] | 2082 | S12a |
| [2C22H23N5O4][(C22H22N5O4)−][2Pb2+][2ClO4−] | 1876 | S12b | |
| [2(C22H22N5O4)−][C22H23N5O4][2Pb2+][ClO4−] | 1776 | S12c | |
| [2(C22H22N5O4)−][2Pb2+][ClO4−] | 1355 | S12d | |
| [(C22H22N5O4)-][Pb2+] | 628 | S12e | |
| 3 | [3(C21H20N5O2)−][3Pb2+][2ClO4−] | 1944 | S13a |
| [2(C21H20N5O2)−][C21H21N5O2][2Pb2+][ClO4−] | 1638 | S13b | |
| [2(C21H20N5O2)−][2Pb2+][ClO4−] | 1263 | S13c | |
| [(C21H20N5O2)−][C21H21N5O2][Pb2+] | 957 | S13d | |
| [(C21H20N5O2)−][Pb2+] | 582 | S13e | |
| 4 | [3(C26H30N5O2)−][3Pb2+][2ClO4−] | 2154 | S14a |
| [2C26H31N5O2][(C26H30N5O2)−][2Pb2+][2ClO4−]- | 1948 | S14b | |
| [2(C26H30N5O2)−][C26H31N5O2][2Pb2+][ClO4−] | 1847 | S14c | |
| [2(C26H30N5O2)−][2Pb2+][ClO4−] | 1403 | S14d | |
| [(C26H30N5O2)−][Pb2+] | 652 | S14e |
| Water Sample | Added Pb(II) (mol/dm3) | Found Pb(II) (mol/dm3) | Recovery (%) | ||
|---|---|---|---|---|---|
| A = f([Pb(II)]) | A = f(log [Pb(II)]) | A = f([Pb(II)]) | A = f(log [Pb(II)]) | ||
| Tap water 1 | no addition | <LOD | - | ||
| 2.00 × 10−6 | 1.95 × 10−6 | - | 97.68 | - | |
| 4.00 × 10−6 | 3.94 × 10−6 | - | 98.58 | - | |
| 8.00 × 10−6 | 8.19 × 10−6 | 7.81 × 10−6 | 102.42 | 97.67 | |
| 2.00 × 10−5 | - | 1.97 × 10−5 | - | 98.54 | |
| 4.00 × 10−5 | - | 4.05 × 10−5 | - | 101.18 | |
| 8.00 × 10−5 | - | 8.14 × 10−5 | - | 101.77 | |
| Tap water 2 | no addition | <LOD | - | ||
| 2.00 × 10−6 | 2.04 × 10−6 | - | 102.19 | - | |
| 4.00 × 10−6 | 4.03 × 10−6 | - | 100.84 | - | |
| 8.00 × 10−6 | 8.10 × 10−6 | 7.89 × 10−6 | 101.29 | 98.68 | |
| 2.00 × 10−5 | - | 2.01 × 10−5 | - | 100.59 | |
| 4.00 × 10−5 | - | 3.96 × 10−5 | - | 99.12 | |
| 8.00 × 10−5 | - | 8.06 × 10−5 | - | 100.73 | |
Publisher’s Note: MDPI stays neutral with regard to jurisdictional claims in published maps and institutional affiliations. |
© 2021 by the authors. Licensee MDPI, Basel, Switzerland. This article is an open access article distributed under the terms and conditions of the Creative Commons Attribution (CC BY) license (https://creativecommons.org/licenses/by/4.0/).
Share and Cite
Galiński, B.; Luboch, E.; Chojnacki, J.; Wagner-Wysiecka, E. Novel Diazocrowns with Pyrrole Residue as Lead(II)Colorimetric Probes. Materials 2021, 14, 7239. https://doi.org/10.3390/ma14237239
Galiński B, Luboch E, Chojnacki J, Wagner-Wysiecka E. Novel Diazocrowns with Pyrrole Residue as Lead(II)Colorimetric Probes. Materials. 2021; 14(23):7239. https://doi.org/10.3390/ma14237239
Chicago/Turabian StyleGaliński, Błażej, Elżbieta Luboch, Jarosław Chojnacki, and Ewa Wagner-Wysiecka. 2021. "Novel Diazocrowns with Pyrrole Residue as Lead(II)Colorimetric Probes" Materials 14, no. 23: 7239. https://doi.org/10.3390/ma14237239
APA StyleGaliński, B., Luboch, E., Chojnacki, J., & Wagner-Wysiecka, E. (2021). Novel Diazocrowns with Pyrrole Residue as Lead(II)Colorimetric Probes. Materials, 14(23), 7239. https://doi.org/10.3390/ma14237239

