Artificial Neural Network (ANN) and Finite Element (FEM) Models for GFRP-Reinforced Concrete Columns under Axial Compression
Abstract
:1. Introduction
2. Research Significance
3. Experimental Program
3.1. Tests Addressing the Effect of Longitudinal Reinforcement Ratio
3.2. Tests Addressing the Effect of Inner Void’s Size
3.3. Tests Addressing the Effect of Varying Amount of Internal GFRP Confinement
3.4. Tests with the Help of ABAQUS Software
4. Finite Element Modeling
4.1. Model Geometry, Interaction, Loading, and Boundary Conditions
4.2. Material Simulations
4.2.1. Concrete
4.2.2. GFRP Bars
4.2.3. Steel End Plates
4.3. FEM Results and Discussions
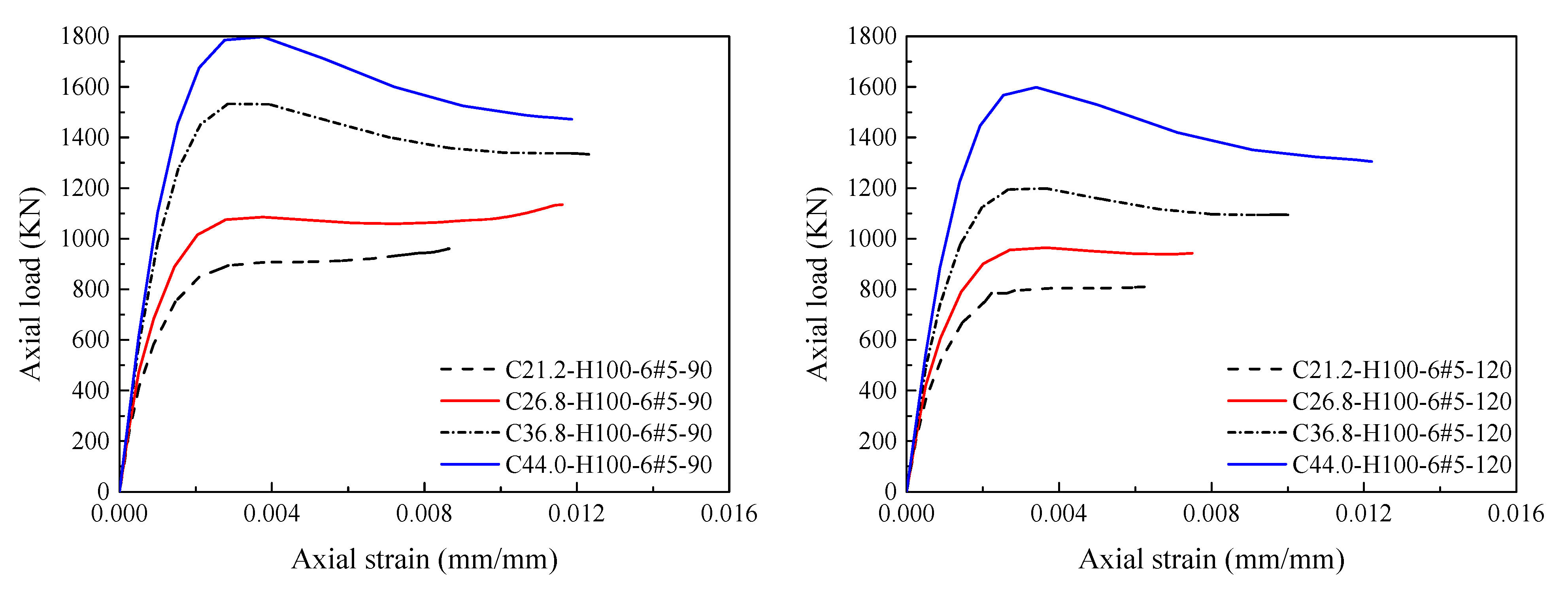
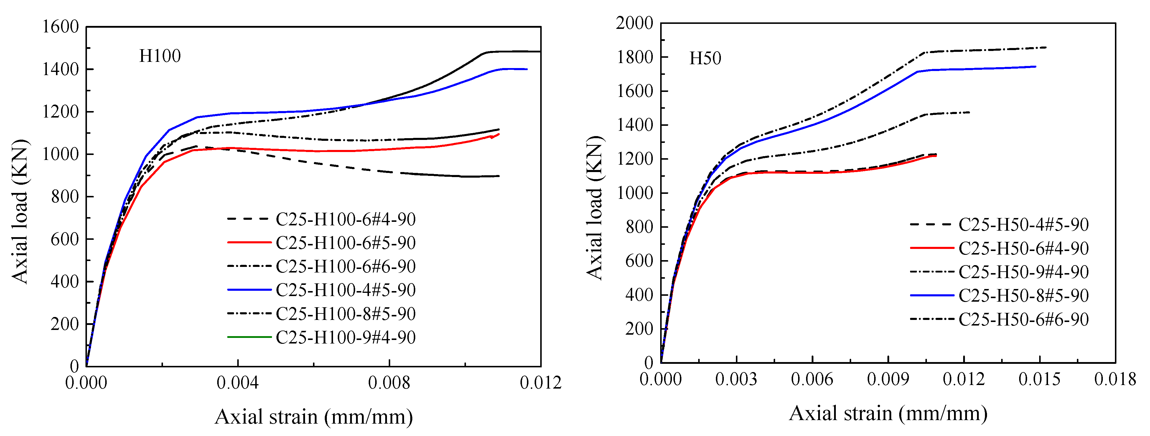
4.3.1. Failure Mode
4.3.2. Load-Strain Response
5. Artificial Neural Network (ANN) Technique
5.1. Model Development
5.2. Performance of Proposed Axial Load Capacities
5.3. Complete Axial Load-Strain Model
6. Proposed Minimum Thresholds for Acceptable Performance
6.1. Thresholds of Inner-to-Outer Core Diameter (Di/D) Ratios
6.2. Minimum Amount of FRP for Adequate Confinement
7. Conclusions
- The proposed FEM model captured the structural response of GFRP-reinforced HCCs with high accuracy. The average correlated R2 value between the available testing results and numerical data was 88% for both the peak and ultimate loads.
- The failure modes of the HCCs were numerically obtained and compared with the tested ones. Both the experimentally tested and numerically obtained patterns were in a good match. The influence of varying test parameters (i.e., amount of longitudinal and lateral reinforcement) on these patterns can be seen.
- To estimate the maximum axial load capacity of GFRP-RC HCCs, the contribution of the reinforcement is necessary. The authors proposed a new model for predicting the peak axial load capacity of GFRP-RC HCCs based on a database of 60 FRP-reinforced columns with R2 = 0.95.
- To capture the overall stress-strain response of FRP-reinforced columns, artificial neural network (ANN) models are proposed to estimate both the axial compressive loads at the first and second peak conditions. The effects of different amounts of longitudinal reinforcement, volumetric radios of GFRP confinement, inner-to-outer diameter ratios, and compressive strengths of the standard cylinder were all considered in the model. Besides, several RA (Regression Analytical) models to predict the different components of the axial strength and strains have been introduced and some of them are compared with the ANN models. For this purpose, the proposed ANN models have been successfully applied using transformed easy-to-use equations rather than using their complex computational models. The predicted results of the proposed analytical model agree well with the tested and numerically obtained results. They yield better results with marginal errors as compared with the existing analytical models.
- A design-oriented stress-strain model that can capture the softening and hardening behaviors of GFRP-reinforced HCCs was suggested. The model features and the test parameters appeared to be accurately considered when the experimental and analytical load-strain responses matched closely.
- Based on parametric, experimental, and numerical data, the sufficiently confined concrete threshold of FRP-reinforced columns was proposed to be at least 0.66. This guarantees a safe and good design for HCCs resulting in a hardening behavior.
Author Contributions
Funding
Institutional Review Board Statement
Informed Consent Statement
Data Availability Statement
Acknowledgments
Conflicts of Interest
Abbreviations
| Ac | concrete section area (without taking into account the longitudinal GFRP bars) (Ag-AFRP) (mm2): |
| Acc | concrete-core area (without taking into account the longitudinal GFRP bars) (Acore-AFRP) (mm2); |
| Ace | area of the concrete core (mm2); |
| Ag | gross cross-sectional area of concrete column (mm2); |
| Acore | effective core area denoted by the center-to-center spacing of the GFRP spirals (mm2); |
| AFRP | the total cross-sectional area of the vertical GFRP bars (mm2); |
| Ah | the cross-sectional area of GFRP spiral (mm2); |
| Di | diameter of the inner hole (mm); |
| Ds | diameter of the GFRP spirals (center-to-center of spirals) (mm); |
| D | diameter of the whole concrete column section (mm); |
| EFRP | elastic modulus of the GFRP rebars (MPa); |
| fc’ | compressive strength of concrete cylinder (MPa); |
| fcc’ | confined concrete stress (MPa); |
| fc’’ | unconfined concrete strength considering size effects (MPa); |
| fl | lateral confining stress (MPa); |
| fl’ | effective lateral confining stress (MPa); |
| fFRP | ultimate tensile strength of the GFRP reinforcements (MPa); |
| εFRP | ultimate tensile strain of the GFRP reinforcements (mm/mm); |
| ke | reduction factor regarding the vertical unconfined area between spirals (mm/mm); |
| Pn1 | peak load in the elastic region (kN); |
| Pn2 | peak load in the post-peak region (kN); |
| Pf | load at column’s failure (kN); |
| s | center-to-center vertical spacing of spirals (mm); |
| s’ | clear vertical spacing between spirals (mm); |
| α1 | influence factor for the concrete compressive strength; |
| ρe | effective longitudinal reinforcement ratio concerning the effective core area; |
| L.S.R. | hoop confinement stiffness ratio; |
| ψ | dilation angle of concrete; |
| Kc | the shape factor of yielding surface; |
| Ec | elastic modulus of unconfined concrete (MPa); |
| σc | the axial compressive stress of concrete (MPa); |
| εcin | the inelastic strain of concrete in compression (mm/mm); |
| εcpl | the plastic strain of concrete in compression (mm/mm); |
| ft | maximum tensile strength of concrete (MPa); |
| dc | compression damage parameter; |
| dt | tension damage parameter; |
| εc1 | peak strain of unconfined concrete (mm/mm); |
| εcc1 | peak strain of confined concrete (mm/mm); |
| diameter of GFRP spiral (mm); | |
| εcu | ultimate strain of unconfined concrete (mm/mm); |
| εccu | ultimate strain of confined concrete (mm/mm); |
| fbent | tensile strength of the bent GFRP bars ACI (2015) (MPa); |
| εc1 | axial strain of concrete (mm/mm); |
| εocel | elastic strain of compressed unconfined concrete (mm/mm); |
| εotel | elastic tensile strain of unconfined concrete (mm/mm); |
| εcr | crack strain of unconfined concrete (mm/mm); |
| ρv | ratio of GFRP spirals. |
References
- Hasan, H.A.; Karim, A.; Sheikh, M.N.; Hadi, M.N.S. Moment-curvature behavior of glass fiber-reinforced polymer bar-reinforced normal-strength concrete and high-strength concrete columns. ACI Struct. J. 2019, 116, 65–75. [Google Scholar] [CrossRef]
- Hadi, M.N.S.; Youssef, J. Experimental Investigation of GFRP-Reinforced and GFRP-Encased Square Concrete Specimens under Axial and Eccentric Load, and Four-Point Bending Test. J. Compos. Constr. 2016, 20, 04016020. [Google Scholar] [CrossRef] [Green Version]
- Tobbi, H.; Farghaly, A.S.; Benmokrane, B. Concrete columns reinforced longitudinally and transversally with glass fiber-reinforced polymer bars. ACI Struct. J. 2012, 109, 551–558. [Google Scholar]
- Afifi, M.Z.; Mohamed, H.M.; Benmokrane, B. Axial capacity of circular concrete columns reinforced with GFRP bars and spirals. J. Compos. Constr. 2014, 18, 04013017. [Google Scholar] [CrossRef]
- AlAjarmeh, O.S.; Manalo, A.C.; Benmokrane, B.; Karunasena, W.; Mendis, P. Axial performance of hollow concrete columns reinforced with GFRP composite bars with different reinforcement ratios. Compos. Struct. 2019, 213, 153–164. [Google Scholar] [CrossRef]
- AlAjarmeh, O.; Manalo, A.; Benmokrane, B.; Karunasena, W.; Mendis, P.; Nguyen, Q.T. Compressive behavior of axially loaded circular hollow concrete columns reinforced with GFRP bars and spirals. Constr. Build. Mater. 2018, 194, 12–23. [Google Scholar] [CrossRef]
- AlAjarmeh, O.S.; Manalo, A.C.; Benmokrane, B.; Karunasena, W.; Mendis, P. Effect of Spiral Spacing and Concrete Strength on Behavior of GFRP-Reinforced Hollow Concrete Columns. J. Compos. Constr. 2020, 24, 04019054. [Google Scholar] [CrossRef]
- Karim, H.; Sheikh, M.N.; Hadi, M.N. Axial load-axial deformation behaviour of circular concrete columns reinforced with GFRP bars and helices. Constr. Build. Mater. 2016, 112, 1147–1157. [Google Scholar] [CrossRef] [Green Version]
- Hadi, M.N.S.; Ali, S.; Sheikh, M.N. Experimental Study of GFRP-Reinforced Geopolymer Concrete Columns under Different Loading Conditions. J. Compos. Constr. 2021, 25, 04021052. [Google Scholar] [CrossRef]
- Hadhood, A.; Mohamed, H.M.; Benmokrane, B. Experimental Study of Circular High-Strength Concrete Columns Reinforced with GFRP Bars and Spirals under Concentric and Eccentric Loading. J. Compos. Constr. 2017, 21, 04016078. [Google Scholar] [CrossRef]
- Hadhood, A.; Mohamed, H.M.; Ghrib, F.; Benmokrane, B. Efficiency of glass-fiber reinforced-polymer (GFRP) discrete hoops and bars in concrete columns under combined axial and flexural loads. Compos. Part B Eng. 2017, 114, 223–236. [Google Scholar] [CrossRef]
- Hasan, H.A.; Sheikh, M.N.; Hadi, M.N. Performance evaluation of high strength concrete and steel fibre high strength concrete columns reinforced with GFRP bars and helices. Constr. Build. Mater. 2017, 134, 297–310. [Google Scholar] [CrossRef] [Green Version]
- Youssef, J.; Hadi, M.N. Axial load-bending moment diagrams of GFRP reinforced columns and GFRP encased square columns. Constr. Build. Mater. 2017, 135, 550–564. [Google Scholar] [CrossRef] [Green Version]
- Salah-Eldin, A.; Mohamed, H.M.; Benmokrane, B. Structural performance of high-strength-concrete columns reinforced with GFRP bars and ties subjected to eccentric loads. Eng. Struct. 2019, 185, 286–300. [Google Scholar] [CrossRef]
- Lignola, G.P.; Prota, A.; Manfredi, G.; Cosenza, E. Experimental Performance of RC Hollow Columns Confined with CFRP. J. Compos. Constr. 2007, 11, 42–49. [Google Scholar] [CrossRef]
- Kusumawardaningsih, Y.; Hadi, M. Comparative behaviour of hollow columns confined with FRP composites. Compos. Struct. 2010, 93, 198–205. [Google Scholar] [CrossRef]
- Hsu, H.L.; Liang, L.L. Performance of hollow composite members subjected to cyclic eccentric loading. Earthq. Eng. Struct. Dyn. 2003, 32, 443–461. [Google Scholar] [CrossRef]
- Lee, J.-H.; Choi, J.-H.; Hwang, D.-K.; Kwahk, I.-J. Seismic performance of circular hollow RC bridge columns. KSCE J. Civ. Eng. 2014, 19, 1456–1467. [Google Scholar] [CrossRef]
- Mo, Y.; Wong, D.C.; Maekawa, K. Seismic Performance of Hollow Bridge Columns. ACI Struct. J. 2003, 100, 337–348. [Google Scholar] [CrossRef]
- Zahn, F.; Park, R.; Priestley, M. Flexural strength and ductility of circular hollow reinforced concrete columns without confinement on inside face. Struct. J. 1990, 87, 156–166. [Google Scholar]
- Liang, X.; Beck, R.; Sritharan, S. Understanding the Confined Concrete Behavior on the Response of Hollow Bridge Columns; A Final Report to the California Department of Transportation; Department of Civil, Construction and Environmental Engineering Iowa State University: Ames, IA, USA, 2005. [Google Scholar]
- Hoshikuma, J.; Priestley, M.J.N. Flexural Behavior of Circular Hollow Columns with a Single Layer of Reinforcement under Seismic Loading; Technical Report SSRP 2000/13; University of California: San Diego, CA, USA, November 2000. [Google Scholar]
- Paolino, C. Seismic Performance of Existing Hollow Reinforced Concrete Bridge Columns. Ph.D. Thesis, University of Naples Federico II, Naples, Italy, April 2017. [Google Scholar]
- Yeh, Y.; Mo, Y.L.; Yang, C.Y. Seismic performance of hollow circular bridge piers. Struct. J. 2001, 98, 862–871. [Google Scholar]
- Yeh, Y.-K.; Mo, Y.L.; Yang, C.Y. Seismic Performance of Rectangular Hollow Bridge Columns. J. Struct. Eng. 2002, 128, 60–68. [Google Scholar] [CrossRef]
- Pavese, A.; Bolognini, D.; Peloso, S. Frp Seismic Retrofit of Rc Square Hollow Section Bridge Piers. J. Earthq. Eng. 2004, 8, 225–250. [Google Scholar] [CrossRef]
- Osada, K.; Yamaguchi, T.; Ikeda, S. Seismic Performance and the Strengthening of Hollow Circular RC Piers Having Reinforcement Cut-off Planes and Variable Wall Thickness. Concr. Res. Technol. 1999, 10, 13–24. [Google Scholar] [CrossRef]
- Pinto, A.V.; Molina, J.; Tsionis, G. Cyclic tests on large-scale models of existing bridge piers with rectangular hollow cross-section. Earthq. Eng. Struct. Dyn. 2003, 32, 1995–2012. [Google Scholar] [CrossRef]
- Cassese, P.; De Risi, M.T.; Verderame, G.M. A degrading shear strength model for R.C. columns with hollow circular cross-section. Int. J. Civ. Eng. 2018, 17, 1241–1259. [Google Scholar] [CrossRef]
- Turmo, J.; Ramos, G.; Aparicio, A. Shear truss analogy for concrete members of solid and hollow circular cross section. Eng. Struct. 2009, 31, 455–465. [Google Scholar] [CrossRef]
- Hadi, M.; Le, T. Behaviour of hollow core square reinforced concrete columns wrapped with CFRP with different fibre orientations. Constr. Build. Mater. 2013, 50, 62–73. [Google Scholar] [CrossRef] [Green Version]
- Yazici, V. Strengthening hollow reinforced concrete columns with fibre reinforced polymers. CI Struct. J. 2001, 98, 395–406. [Google Scholar]
- Bing, L.; Park, R.; Tanaka, H. Stress-strain behavior of high-strength concrete confined by ultra-high- and normal-strength transverse reinforcement. ACI Struct. J. 2001, 98, 395–406. [Google Scholar]
- Bousalem, B.; Chikh, N. Development of a confined model for rectangular ordinary reinforced concrete columns. Mater. Struct. 2006, 40, 605–613. [Google Scholar] [CrossRef]
- Chung, H.-S.; Yang, K.-H.; Lee, Y.-H.; Eun, H.-C. Stress–strain curve of laterally confined concrete. Eng. Struct. 2002, 24, 1153–1163. [Google Scholar] [CrossRef]
- Valipour, H.R.; Foster, S.J. Nonlinear static and cyclic analysis of concrete-filled steel columns. J. Constr. Steel Res. 2010, 66, 793–802. [Google Scholar] [CrossRef]
- Konstantinidis, D.; Kappos, A.; Izzuddin, B.A. Analytical Stress–Strain Model for High-Strength Concrete Members under Cyclic Loading. J. Struct. Eng. 2007, 133, 484–494. [Google Scholar] [CrossRef]
- Mazzoni, S.; McKenna, F.; Fenves, G.L. Open System for Earthquake Engineering Simulations User Manual; PEER, Univ. of California: Berkeley, CA, USA, 2003. [Google Scholar]
- Chen, R.P.; Ma, Q.L.; Zhang, Y.; Wu, H.N.; Liu, Y.; Lu, L. Experimental study on the mechanical behaviour of eccentric compression short column strengthened by ultra-high-performance fibre-reinforced concrete. Structures 2021, 33, 508–522. [Google Scholar] [CrossRef]
- Turvey, G.; Zhang, Y. A computational and experimental analysis of the buckling, postbuckling and initial failure of pultruded GRP columns. Comput. Struct. 2006, 84, 1527–1537. [Google Scholar] [CrossRef]
- Elchalakani, M.; Karrech, A.; Dong, M.; Ali, M.S.M.; Yang, B. Experiments and finite element analysis of GFRP reinforced geopolymer concrete rectangular columns subjected to concentric and eccentric axial loading. Structures 2018, 14, 273–289. [Google Scholar] [CrossRef]
- Ibrahim, A.M.; Fahmy, M.F.; Wu, Z. 3D finite element modeling of bond-controlled behavior of steel and basalt FRP-reinforced concrete square bridge columns under lateral loading. Compos. Struct. 2016, 143, 33–52. [Google Scholar] [CrossRef]
- Chellapandian, M.; Prakash, S.; Rajagopal, A. Analytical and finite element studies on hybrid FRP strengthened RC column elements under axial and eccentric compression. Compos. Struct. 2018, 184, 234–248. [Google Scholar] [CrossRef]
- Piscesa, B.; Attard, M.M.; Samani, A.K. 3D Finite element modeling of circular reinforced concrete columns confined with FRP using a plasticity based formulation. Compos. Struct. 2018, 194, 478–493. [Google Scholar] [CrossRef]
- Hany, N.; Hantouche, E.G.; Harajli, M.H. Finite element modeling of FRP-confined concrete using modified concrete damaged plasticity. Eng. Struct. 2016, 125, 1–14. [Google Scholar] [CrossRef]
- Dong, M.; Lokuge, W.; Elchalakani, M.; Karrech, A. Modelling glass fibre-reinforced polymer reinforced geopolymer concrete columns. Structures 2019, 20, 813–821. [Google Scholar] [CrossRef]
- Shi, Y.; Swait, T.; Soutis, C. Modelling damage evolution in composite laminates subjected to low velocity impact. Compos. Struct. 2012, 94, 2902–2913. [Google Scholar] [CrossRef]
- Matthews, F.L.; Davies, G.; Hitchings, D.; Soutis, C. Finite Element Modelling of Composite Materials and Structures; Elsevier: Amsterdam, The Netherlands, 2000. [Google Scholar]
- Abaqus Unified FEA, Complete Solutions for Realistic Simulation. Available online: http://www.3ds.com/products-services/simulia/products/abaqus/ (accessed on 12 January 2021).
- Google ScholarRaza, A.; Ali, B.; Masood, B.; Rehman, A.U. Axial performance of GFRP composite bars and spirals in circular hollow concrete columns. Structures 2020, 29, 600–613. [Google Scholar] [CrossRef]
- Oreta, A.W.C.; Kawashima, K. Neural network modeling of confined compressive strength and strain of circular concrete columns. J. Struct Eng. 2003, 129, 554–561. [Google Scholar] [CrossRef]
- Cascardi, A.; Micelli, F.; Aiello, M.A. An Artificial Neural Networks model for the prediction of the compressive strength of FRP-confined concrete circular columns. Eng. Struct. 2017, 140, 199–208. [Google Scholar] [CrossRef]
- Mansouri, I.; Ozbakkaloglu, T.; Kisi, O.; Xie, T. Predicting behavior of FRP-confined concrete using neuro fuzzy, neural network, multivariate adaptive regression splines and M5 model tree techniques. Mater. Struct. 2016, 49, 4319–4334. [Google Scholar] [CrossRef]
- Mansouri, I.; Kisi, O.; Sadeghian, P.; Lee, C.-H.; Hu, J.W. Prediction of Ultimate Strain and Strength of FRP-Confined Concrete Cylinders Using Soft Computing Methods. Appl. Sci. 2017, 7, 751. [Google Scholar] [CrossRef] [Green Version]
- Ghanem, S.Y.; Elgazzar, H. Predicting the behavior of reinforced concrete columns confined by fiber reinforced polymers using data mining techniques. SN Appl. Sci. 2021, 3, 170. [Google Scholar] [CrossRef]
- Lim, J.C.; Karakus, M.; Ozbakkaloglu, T. Evaluation of ultimate conditions of FRP-confined concrete columns using genetic programming. Comput. Struct. 2016, 162, 28–37. [Google Scholar] [CrossRef]
- Fam, A.Z.; Rizkalla, S.H. Confinement model for axially loaded concrete confined by circular fiber reinforced polymer tubes. Struct. J. 2001, 98, 451–461. [Google Scholar]
- Micelli, F.; Modarelli, R. Experimental and analytical study on properties affecting the behaviour of FRP-confined concrete. Compos. Part B Eng. 2013, 45, 1420–1431. [Google Scholar] [CrossRef]
- ACI. Guide for the Design and Construction of Structural Concrete Reinforced with Fiber-Reinforced Polymer (FRP) Bars; ACI: Farmington Hills, MI, USA, 2015. [Google Scholar]
- CSA S806–12. Design and Construction of Building Components with Fiber-Reinforced Polymers; Canadian Standards Association: Mississauga, ON, Canada, 2012. [Google Scholar]
- FIB. FRP Reinforcement in RC Structures; Technical Report; International Federation for Structural Concrete: Lausanne, Switzerland, September 2007. [Google Scholar] [CrossRef]
- ACI 318-14. Building Code Requirements for Structural Concrete and Commentary. ACI: Farmington Hills, MI, USA, 2014. [Google Scholar]
- Hadhood, A.; Mohamed, H.M.; Benmokrane, B. Axial Load–Moment Interaction Diagram of Circular Concrete Columns Reinforced with CFRP Bars and Spirals: Experimental and Theoretical Investigations. J. Compos. Constr. 2017, 21, 04016092. [Google Scholar] [CrossRef]
- Hadhood, A.; Mohamed, H.M.; Benmokrane, B. Strength of circular HSC columns reinforced internally with carbon-fiber-reinforced polymer bars under axial and eccentric loads. Constr. Build. Mater. 2017, 141, 366–378. [Google Scholar] [CrossRef]
- Afifi, M.Z.; Mohamed, H.M.; Benmokrane, B. Strength and Axial Behavior of Circular Concrete Columns Reinforced with CFRP Bars and Spirals. J. Compos. Constr. 2014, 18, 04013035. [Google Scholar] [CrossRef]
- Mohamed, H.M.; Afifi, M.Z.; Benmokrane, B. Performance Evaluation of Concrete Columns Reinforced Longitudinally with FRP Bars and Confined with FRP Hoops and Spirals under Axial Load. J. Bridg. Eng. 2014, 19, 04014020. [Google Scholar] [CrossRef]
- Maranan, G.; Manalo, A.; Benmokrane, B.; Karunasena, W.; Mendis, P. Behavior of concentrically loaded geopolymer-concrete circular columns reinforced longitudinally and transversely with GFRP bars. Eng. Struct. 2016, 117, 422–436. [Google Scholar] [CrossRef]
- Xue, W.; Peng, F.; Fang, Z. Behavior and design of slender rectangular concrete columns longitudinally reinforced with fibre-reinforced polymer bars. ACI Struct. J. 2018, 115, 311–322. [Google Scholar] [CrossRef]
- Choo, C.C.; Harik, I.E.; Gesund, H. Strength of rectangular concrete columns reinforced with fiber-reinforced polymer bars. ACI Struct. J. 2006, 103, 452. [Google Scholar]
- Elmessalami, N.; El Refai, A.; Abed, F. Fiber-reinforced polymers bars for compression reinforcement: A promising alternative to steel bars. Constr. Build. Mater. 2019, 209, 725–737. [Google Scholar] [CrossRef]
- Raza, A.; Khan, Q.U.Z.; Ahmad, A. Numerical Investigation of Load-Carrying Capacity of GFRP-Reinforced Rectangular Concrete Members Using CDP Model in ABAQUS. Adv. Civ. Eng. 2019, 2019, 1745341. [Google Scholar] [CrossRef] [Green Version]
- ACI 363. State-of-the-Art Report on High-Strength Concrete (ACI 363R-92). ACI J. Proc. 1984, 81, 364–411. [Google Scholar]
- Hassan, A.; Arif, M.; Shariq, M. Use of geopolymer concrete for a cleaner and sustainable environment-A review of mechanical properties and microstructure. J. Clean. Prod. 2019, 223, 704–728. [Google Scholar] [CrossRef]
- Prakash, S.; Belarbi, A.; You, Y.-M. Seismic performance of circular RC columns subjected to axial force, bending, and torsion with low and moderate shear. Eng. Struct. 2010, 32, 46–59. [Google Scholar] [CrossRef]
- Alfarah, B.; L´opez-Almansa, F.; Oller, S. New methodology for calculating damage variables evolution in Plastic Damage Model for RC structures. Eng. Struct. 2017, 132, 70–86. [Google Scholar] [CrossRef] [Green Version]
- Youssf, O.; ElGawady, M.; Mills, J.; Ma, X. Finite element modelling and dilation of FRP-confined concrete columns. Eng. Struct. 2014, 79, 70–85. [Google Scholar] [CrossRef]
- Papanikolaou, V.K.; Kappos, A. Confinement-sensitive plasticity constitutive model for concrete in triaxial compression. Int. J. Solids Struct. 2007, 44, 7021–7048. [Google Scholar] [CrossRef] [Green Version]
- Desayi, P.; Krishnan, S. Equation for the stress-strain curve of concrete. J. Proc. 1964, 61, 345–350. [Google Scholar]
- Zeng, X. Finite element modelling and analysis of concrete confined by stirrups in square RC columns. Civil. Eng. J. 2016, 17, 1–11. [Google Scholar] [CrossRef]
- Majewski, S. The Mechanics of Structural Concrete in Terms of Elasto-Plasticity; Publishing House of Silesian University of Technology: Gliwice, Poland, 2003. [Google Scholar]
- Kmiecik, P.; Kamiński, M. Modelling of reinforced concrete structures and composite structures with concrete strength degradation taken into consideration. Arch. Civ. Mech. Eng. 2011, 11, 623–636. [Google Scholar] [CrossRef]
- Hsu, L.S.; Hsu, C.-T.T. Complete stress—Strain behaviour of high-strength concrete under compression. Mag. Concr. Res. 1994, 46, 301–312. [Google Scholar] [CrossRef]
- International Code Council. Concrete Manual Based on the 2015 IBC & And ACI 318–14. Available online: https://shop.iccsafe.org/media/wysiwyg/material/9090S15-TOC.pdf (accessed on 4 October 2015).
- Aslani, F.; Jowkarmeimandi, R. Stress–strain model for concrete under cyclic loading. Mag. Concr. Res. 2012, 64, 673–685. [Google Scholar] [CrossRef] [Green Version]
- Hu, H.-T.; Huang, C.-S.; Wu, M.-H.; Wu, Y.-M. Nonlinear Analysis of Axially Loaded Concrete-Filled Tube Columns with Confinement Effect. J. Struct. Eng. 2003, 129, 1322–1329. [Google Scholar] [CrossRef]
- Isleem, H.F.; Wang, Z.; Wang, D.; Smith, S.T. Monotonic and Cyclic Axial Compressive Behavior of CFRP-Confined Rectangular RC Columns. J. Compos. Constr. 2018, 22, 04018023. [Google Scholar] [CrossRef]
- Isleem, H.F.; Wang, D.Y.; Wang, Z.Y. Modeling the axial compressive stress-strain behavior of CFRP-confined rectangular RC columns under monotonic and cyclic loading. Compos. Struct. 2018, 185, 229–240. [Google Scholar] [CrossRef]
- Isleem, H.F.; Wang, D.; Wang, Z. Axial stress–strain model for square concrete columns internally confined with GFRP hoops. Mag. Concr. Res. 2018, 70, 1064–1079. [Google Scholar] [CrossRef]
- Isleem, H.F.; Wang, D.Y.; Wang, Z.Y. A new numerical model for polymer-confined rectangular concrete columns. Proc. Inst. Civil. Eng. (ICE) Struct. Build. 2019, 172, 528–544. [Google Scholar] [CrossRef]
- Wang, Z.; Wang, D.; Smith, S.T.; Lu, D. CFRP-Confined Square RC Columns. II: Cyclic Axial Compression Stress-Strain Model. J. Compos. Constr. 2012, 16, 161–170. [Google Scholar] [CrossRef]
- Isleem, H.F.; Wang, Z.; Wang, D. A new model for reinforced concrete columns strengthened with fibre-reinforced polymer. Proc. Inst. Civ. Eng.-Struct. Build. 2020, 173, 602–622. [Google Scholar] [CrossRef]
- Mander, J.B.; Priestley, M.J.N.; Park, R. Theoretical Stress-Strain Model for Confined Concrete. J. Struct. Eng. 1988, 114, 1804–1826. [Google Scholar] [CrossRef] [Green Version]
- Isleem, H.F.; Tahir, M.; Wang, Z. Axial stress–strain model developed for rectangular RC columns confined with FRP wraps and anchors. Structures 2020, 23, 779–788. [Google Scholar] [CrossRef]
- Tahir, M.; Isleem, H.F.; Wang, Z. Axial compressive stress–strain model for hybrid-reinforced concrete columns with FRP ties. Proc. Inst. Civ. Eng.-Struct. Build. 2021, 1–15. [Google Scholar] [CrossRef]
- Wang, Z.Y.; Wang, D.Y.; Smith, S.T.; Lu, D.G. CFRP-confined square RC columns. I: Experimental investigation. J. Compos. Constr. 2012, 16, 150–160. [Google Scholar] [CrossRef]
- Wang, Z.; Isleem, H.F. A Stress-Strain Model Considering Bilinear and PostPeak Softening Behaviors for FRP-Confined RC Columns. Indian J. Sci. Technol. 2019, 12, 1–8. [Google Scholar] [CrossRef]
- Abid, M.; Isleem, H.F.; Shah, M.K.; Zeb, S. Analytical Review on Eccentric Axial Compression Behavior of Short and Slender Circular RC Columns Strengthened Using CFRP. Polymers 2021, 13, 2763. [Google Scholar] [CrossRef] [PubMed]
- Isleem, H.F.; Peng, F.; Tayeh, B.A. Confinement model for LRS FRP-confined concrete using conventional regression and artificial neural network techniques. Compos. Struct. 2021, 279, 114779. [Google Scholar] [CrossRef]
- Yang, J.Q.; Feng, P. Analysis-oriented model for FRP confined high-strength concrete: 3D interpretation of path dependency. Compos. Struct. 2021, 278, 114695. [Google Scholar] [CrossRef]
- Yang, J.Q.; Feng, P. Analysis-oriented models for FRP-confined concrete: 3D interpretation and general methodology. Eng. Struct. 2020, 216, 110749. [Google Scholar] [CrossRef]
- Dang, Z.; Feng, P.; Yang, J.Q.; Zhang, Q. Axial compressive behavior of engineered cementitious composite confined by fiber-reinforced polymer. Compos. Struct. 2020, 243, 112191. [Google Scholar] [CrossRef]
- El-Sayed, A.K.; El-Salakawy, E.; Benmokrane, B. Mechanical and Structural Characterization of New Carbon FRP Stirrups for Concrete Members. J. Compos. Constr. 2007, 11, 352–362. [Google Scholar] [CrossRef]
- Ishihara, K.; Obara, T.; Sato, Y.; Ueda, T.; Kakuta, Y. Evaluation of ultimate strength of FRP rods at bent-up portion. In Non-Metallic (FRP) Reinforcement for Concrete Structures, Proceedings of the Third International Symposium; Sapporo, Japan, 14–16 October 1997, Japan Concrete Institute: Tokyo, Japan, 1997; pp. 27–34. [Google Scholar]
- Maruyama, T.; Honama, M.; Okmura, H. Experimental study on tensile strength of bent portion of FRP rods. In Fiber Reinforced Plastic Reinforcement for Concrete Structures; Nanni, A., Dolan, C.W., Eds.; ACI Special Publication SP; American Concrete Institute: Detroit, MI, USA, 1993; Volume 138, pp. 163–176. [Google Scholar]
- Shehata, E.; Morphy, R.; Rizkalla, S. Fiber reinforced polymer shear reinforcement for concrete members: Behavior and design guidelines. Can. J. Civ. Eng. 2000, 27, 859–872. [Google Scholar] [CrossRef]
- MATLAB and Statistics Toolbox Release 2012b; The MathWorks, Inc.: Natick, MA, USA, 2012.
- Beale, M.H.; Hagan, M.T.; Demuth, H.B. Neural Network Toolbox TM 7. User’s Guide; The MathWorks, Inc.: Natick, MA, USA, 2020. [Google Scholar]
- Guo, Z.H.; Zhang, X.Q.; Zhang, D.C.; Wang, R.Q. Experimental investigation of the complete stress-strain curve of concrete. J. Build Struct. 1982, 3, 1–12. (In Chinese) [Google Scholar]
- Pham, T.; Hadi, M. Stress Prediction Model for FRP Confined Rectangular Concrete Columns with Rounded Corners. J. Compos. Constr. 2014, 18, 04013019. [Google Scholar] [CrossRef] [Green Version]





























| Reference | Proposed Equation | FRP | Predicted Condition | Estimated Errors | ||
|---|---|---|---|---|---|---|
| AAE (%) | MSE (%) | SD (%) | ||||
| CSA-S806-12 [60] | – | Peak Ultimate | 15.74 18.01 | 2.78 5.27 | 0.31 2.78 | |
| ACI318-14 [62] | – | Peak Ultimate | 15.74 18.01 | 2.78 5.27 | 0.31 2.78 | |
| Tobbi et al. [3] | G | Peak Ultimate | 28.10 28.65 | 9.06 11.07 | 1.22 4.19 | |
| Afifi et al. [4] | G | Peak Ultimate | 28.10 28.65 | 9.06 11.07 | 1.22 4.19 | |
| Afifi et al. [65] | C | Peak Ultimate | 15.57 19.92 | 3.10 5.55 | 0.70 3.61 | |
| Mohamed et al. [66] | G | Peak Ultimate | 5.44 13.75 | 0.43 3.09 | 0.31 3.00 | |
| Maranan et al. [67] | G | Peak Ultimate | 4.77 14.70 | 0.35 3.25 | 0.34 3.34 | |
| Hadhood et al. [63] | C | Peak Ultimate | 6.02 13.04 | 0.48 2.77 | 0.49 2.87 | |
| Hadhood et al. [63] | C | Peak Ultimate | 5.31 14.16 | 0.43 3.09 | 0.38 3.16 | |
| Hadhood et al. [64] | C | Peak Ultimate | 4.99 13.77 | 0.34 3.00 | 0.34 3.06 | |
| Xue et al. [68] | G | Peak Ultimate | 5.44 13.75 | 0.43 3.09 | 0.31 3.00 | |
| Coded Columns with Geometry and Concrete Type | Reinforcement Details | Longitudinal Reinforcement | Hoop Reinforcement | Key Experimental Results | |||||||||||
|---|---|---|---|---|---|---|---|---|---|---|---|---|---|---|---|
| Code | D (mm) | Di (mm) | fc’ (MPa) | ρFRP (%) | Reinforcement Hoop/Longitudinal | fFRP (MPa) | EFRP (GPa) | εFRP (%) | fFRP (MPa) | EFRP (MPa) | εFRP (%) | Pn1 (KN) | Pn2 (KN) | εcu (%) | |
| AlAjarmeh et al. [7] | |||||||||||||||
| C26.8-H00-6#5-90 | 250 | 90 | 26.8 | 0.000 | - | 6ϕ15.9 | 1237 | 60,000 | 2.1 | 1315 | 62,500 | 2.3 | 1022.0 | 854.6 | 0.387 |
| C26.8-H50-6#5-90 | 250 | 90 | 26.8 | 3.840 | 9.5ϕ50 | 6ϕ15.9 | 1237 | 60,000 | 2.1 | 1315 | 62,500 | 2.3 | 1197.0 | 1434.0 | 1.233 |
| C26.8-H100-6#5-90 | 250 | 90 | 26.8 | 1.930 | 9.5ϕ100 | 6ϕ15.9 | 1237 | 60,000 | 2.1 | 1315 | 62,500 | 2.3 | 1189.0 | 1102.0 | 1.110 |
| C26.8-H150-6#5-90 | 250 | 90 | 26.8 | 1.280 | 9.5ϕ150 | 6ϕ15.9 | 1237 | 60,000 | 2.1 | 1315 | 62,500 | 2.3 | 1108.0 | 1110.0 | 1.102 |
| C21.2-H100-6#5-90 | 250 | 90 | 21.2 | 1.930 | 9.5ϕ100 | 6ϕ15.9 | 1237 | 60,000 | 2.1 | 1315 | 62,500 | 2.3 | 907.0 | 1006.7 | 0.743 |
| C36.8-H100-6#5-90 | 250 | 90 | 36.8 | 1.930 | 9.5ϕ100 | 6ϕ15.9 | 1237 | 60,000 | 2.1 | 1315 | 62,500 | 2.3 | 1570.0 | 1424.0 | 1.347 |
| C44.0-H100-6#5-90 | 250 | 90 | 44.0 | 1.930 | 9.5ϕ100 | 6ϕ15.9 | 1237 | 60,000 | 2.1 | 1315 | 62,500 | 2.3 | 1880.0 | 1644.0 | 1.128 |
| AlAjarmeh et al. [5] | |||||||||||||||
| C25-H100-6#4-90 | 250 | 90 | 25.0 | 1.930 | 9.5ϕ100 | 6ϕ12.7 | 1282 | 61,300 | 2.1 | 1315 | 62,500 | 2.3 | 1035.3 | 985.1 | 1.058 |
| C25-H100-6#5-90 | 250 | 90 | 25.0 | 1.930 | 9.5ϕ100 | 6ϕ15.9 | 1237 | 60,500 | 2.1 | 1315 | 62,500 | 2.3 | 1109.2 | 1024.4 | 1.069 |
| C25-H100-6#6-90 | 250 | 90 | 25.0 | 1.930 | 9.5ϕ100 | 6ϕ19.1 | 1270 | 60,500 | 2.1 | 1315 | 62,500 | 2.3 | 1140.0 | 1247.9 | 1.148 |
| C25-H100-4#5-90 | 250 | 90 | 25.0 | 1.930 | 9.5ϕ100 | 4ϕ15.9 | 1237 | 60,500 | 2.1 | 1315 | 62,500 | 2.3 | 983.3 | 875.5 | 1.062 |
| C25-H100-8#5-90 | 250 | 90 | 25.0 | 1.930 | 9.5ϕ100 | 8ϕ15.9 | 1237 | 60,500 | 2.1 | 1315 | 62,500 | 2.3 | 1267.9 | 1406.1 | 1.106 |
| C25-H100-9#4-90 | 250 | 90 | 25.0 | 1.930 | 9.5ϕ100 | 9ϕ12.7 | 1282 | 61,300 | 2.1 | 1315 | 62,500 | 2.3 | 1035.0 | 1204.2 | 1.077 |
| AlAjarmeh et al. [6] | |||||||||||||||
| C31.8-H100-6#5-00 | 250 | 0 | 31.8 | 1.490 | 9.5ϕ100 | 6ϕ15.9 | 1237 | 60,000 | 2.1 | 1315 | 62,500 | 2.3 | 1588.0 | 1368.0 | - |
| C31.8-H100-6#5-40 | 250 | 40 | 31.8 | 1.560 | 9.5ϕ100 | 6ϕ15.9 | 1237 | 60,000 | 2.1 | 1315 | 62,500 | 2.3 | 1408.0 | 1295.0 | - |
| C31.8-H100-6#5-65 | 250 | 65 | 31.8 | 1.690 | 9.5ϕ100 | 6ϕ15.9 | 1237 | 60,000 | 2.1 | 1315 | 62,500 | 2.3 | 1559.0 | 1458.0 | - |
| C31.8-H100-6#5-90 | 250 | 90 | 31.8 | 1.930 | 9.5ϕ100 | 6ϕ15.9 | 1237 | 60,000 | 2.1 | 1315 | 62,500 | 2.3 | 1411.0 | 1304.0 | - |
| Finite Element (FE) experiments [49] | |||||||||||||||
| C26.8-H00-6#5-90 | 250 | 90 | 26.8 | 0.000 | - | 6ϕ15.9 | 1237 | 60,000 | 2.1 | 1315 | 62,500 | 2.3 | 1007.8 | 769.2 | 0.357 |
| C26.8-H50-6#5-90 | 250 | 90 | 26.8 | 3.840 | 9.5ϕ50 | 6ϕ15.9 | 1237 | 60,000 | 2.1 | 1315 | 62,500 | 2.3 | 1133.2 | 1477.5 | 1.310 |
| C26.8-H100-6#5-90 | 250 | 90 | 26.8 | 1.930 | 9.5ϕ100 | 6ϕ15.9 | 1237 | 60,000 | 2.1 | 1315 | 62,500 | 2.3 | 1070.2 | 1132.3 | 1.143 |
| C26.8-H150-6#5-90 | 250 | 90 | 26.8 | 1.280 | 9.5ϕ150 | 6ϕ15.9 | 1237 | 60,000 | 2.1 | 1315 | 62,500 | 2.3 | 1103.6 | 962.0 | 1.059 |
| C21.2-H100-6#5-90 | 250 | 90 | 21.2 | 1.930 | 9.5ϕ100 | 6ϕ15.9 | 1237 | 60,000 | 2.1 | 1315 | 62,500 | 2.3 | 879.5 | 976.7 | 0.903 |
| C36.8-H100-6#5-90 | 250 | 90 | 36.8 | 1.930 | 9.5ϕ100 | 6ϕ15.9 | 1237 | 60,000 | 2.1 | 1315 | 62,500 | 2.3 | 1532.4 | 1337.6 | 1.144 |
| C44.0-H100-6#5-90 | 250 | 90 | 44.0 | 1.930 | 9.5ϕ100 | 6ϕ15.9 | 1237 | 60,000 | 2.1 | 1315 | 62,500 | 2.3 | 1787.4 | 1479.8 | 1.104 |
| C25-H100-6#4-90 | 250 | 90 | 25.0 | 1.930 | 9.5ϕ100 | 6ϕ12.7 | 1282 | 61,300 | 2.1 | 1315 | 62,500 | 2.3 | 1027.3 | 895.2 | 1.010 |
| C25-H100-6#5-90 | 250 | 90 | 25.0 | 1.930 | 9.5ϕ100 | 6ϕ15.9 | 1237 | 60,500 | 2.1 | 1315 | 62,500 | 2.3 | 1010.0 | 1119.2 | 1.113 |
| C25-H100-6#6-90 | 250 | 90 | 25.0 | 1.930 | 9.5ϕ100 | 6ϕ19.1 | 1270 | 60,500 | 2.1 | 1315 | 62,500 | 2.3 | 1094.6 | 1480.6 | 1.315 |
| C25-H100-4#5-90 | 250 | 90 | 25.0 | 1.930 | 9.5ϕ100 | 4ϕ15.9 | 1237 | 60,500 | 2.1 | 1315 | 62,500 | 2.3 | 945.2 | 932.2 | 1.029 |
| C25-H100-8#5-90 | 250 | 90 | 25.0 | 1.930 | 9.5ϕ100 | 8ϕ15.9 | 1237 | 60,500 | 2.1 | 1315 | 62,500 | 2.3 | 1155.0 | 1395.1 | 1.270 |
| C25-H100-9#4-90 | 250 | 90 | 25.0 | 1.930 | 9.5ϕ100 | 9ϕ12.7 | 1282 | 61,300 | 2.1 | 1315 | 62,500 | 2.3 | 1090.6 | 1130.7 | 1.124 |
| C25-H50-6#4-90 | 250 | 90 | 25.0 | 3.840 | 9.5ϕ50 | 6ϕ12.7 | 1282 | 61,300 | 2.1 | 1315 | 62,500 | 2.3 | 1091.4 | 1226.5 | 1.194 |
| C25-H50-6#6-90 | 250 | 90 | 25.0 | 3.840 | 9.5ϕ50 | 6ϕ19.1 | 1270 | 60,500 | 2.1 | 1315 | 62,500 | 2.3 | 1249.7 | 1855.8 | 1.512 |
| C25-H50-4#5-90 | 250 | 90 | 25.0 | 3.840 | 9.5ϕ50 | 4ϕ15.9 | 1237 | 60,500 | 2.1 | 1315 | 62,500 | 2.3 | 1094.7 | 1234.9 | 1.199 |
| C25-H50-8#5-90 | 250 | 90 | 25.0 | 3.840 | 9.5ϕ50 | 8ϕ15.9 | 1237 | 60,500 | 2.1 | 1315 | 62,500 | 2.3 | 1228.0 | 1741.8 | 1.456 |
| C25-H50-9#4-90 | 250 | 90 | 25.0 | 3.840 | 9.5ϕ50 | 9ϕ12.7 | 1282 | 61,300 | 2.1 | 1315 | 62,500 | 2.3 | 1155.2 | 1478.9 | 1.323 |
| C31.8-H100-6#5-00 | 250 | 0 | 31.8 | 1.490 | 9.5ϕ100 | 6ϕ15.9 | 1237 | 60,000 | 2.1 | 1315 | 62,500 | 2.3 | 1476.0 | 1408.6 | 0.940 |
| C31.8-H100-6#5-40 | 250 | 40 | 31.8 | 1.560 | 9.5ϕ100 | 6ϕ15.9 | 1237 | 60,000 | 2.1 | 1315 | 62,500 | 2.3 | 1353.5 | 1280.8 | 0.977 |
| C31.8-H100-6#5-65 | 250 | 65 | 31.8 | 1.690 | 9.5ϕ100 | 6ϕ15.9 | 1237 | 60,000 | 2.1 | 1315 | 62,500 | 2.3 | 1438.6 | 1355.9 | 1.097 |
| C31.8-H100-6#5-90 | 250 | 90 | 31.8 | 1.930 | 9.5ϕ100 | 6ϕ15.9 | 1237 | 60,000 | 2.1 | 1315 | 62,500 | 2.3 | 1342.8 | 1119.4 | 1.116 |
| C26.8-H50-6#5-00 | 250 | 0 | 26.8 | 3.402 | 9.5ϕ50 | 6ϕ15.9 | 1237 | 60,000 | 2.1 | 1315 | 62,500 | 2.3 | 1317.9 | 1864.2 | 1.175 |
| C26.8-H50-6#5-45 | 250 | 45 | 26.8 | 3.486 | 9.5ϕ50 | 6ϕ15.9 | 1237 | 60,000 | 2.1 | 1315 | 62,500 | 2.3 | 1275.0 | 1803.6 | 1.305 |
| C26.8-H150-6#5-00 | 250 | 0 | 26.8 | 0.842 | 9.5ϕ150 | 6ϕ15.9 | 1237 | 60,000 | 2.1 | 1315 | 62,500 | 2.3 | 1203.1 | 1109.2 | 0.921 |
| C26.8-H150-6#5-45 | 250 | 45 | 26.8 | 0.926 | 9.5ϕ150 | 6ϕ15.9 | 1237 | 60,000 | 2.1 | 1315 | 62,500 | 2.3 | 1166.7 | 1097.9 | 1.015 |
| C21.2-H100-6#5-00 | 250 | 0 | 21.2 | 1.492 | 9.5ϕ100 | 6ϕ15.9 | 1237 | 60,000 | 2.1 | 1315 | 62,500 | 2.3 | 1027.4 | 1218.7 | 1.134 |
| C21.2-H100-6#5-45 | 250 | 45 | 21.2 | 1.576 | 9.5ϕ100 | 6ϕ15.9 | 1237 | 60,000 | 2.1 | 1315 | 62,500 | 2.3 | 974.9 | 1206.2 | 1.224 |
| C21.2-H50-6#5-90 | 250 | 90 | 21.2 | 3.840 | 9.5ϕ50 | 6ϕ15.9 | 1237 | 60,000 | 2.1 | 1315 | 62,500 | 2.3 | 948.5 | 1376.3 | 1.077 |
| C21.2-H150-6#5-90 | 250 | 90 | 21.2 | 1.280 | 9.5ϕ150 | 6ϕ15.9 | 1237 | 60,000 | 2.1 | 1315 | 62,500 | 2.3 | 860.1 | 849.2 | 0.876 |
| C44.0-H100-6#5-00 | 250 | 0 | 44.0 | 1.492 | 9.5ϕ100 | 6ϕ15.9 | 1237 | 60,000 | 2.1 | 1315 | 62,500 | 2.3 | 2064.5 | 1810.1 | 1.031 |
| C44.0-H100-6#5-45 | 250 | 45 | 44.0 | 1.576 | 9.5ϕ100 | 6ϕ15.9 | 1237 | 60,000 | 2.1 | 1315 | 62,500 | 2.3 | 1981.1 | 1724.2 | 1.055 |
| C44.0-H50-6#5-90 | 250 | 90 | 44.0 | 3.840 | 9.5ϕ50 | 6ϕ15.9 | 1237 | 60,000 | 2.1 | 1315 | 62,500 | 2.3 | 1846.5 | 1818.8 | 1.206 |
| C44.0-H150-6#5-90 | 250 | 90 | 44.0 | 1.280 | 9.5ϕ150 | 6ϕ15.9 | 1237 | 60,000 | 2.1 | 1315 | 62,500 | 2.3 | 1792.3 | 1387.1 | 1.033 |
| C26.8-H100-6#5-00 | 250 | 0 | 26.8 | 1.492 | 9.5ϕ100 | 6ϕ15.9 | 1237 | 60,000 | 2.1 | 1315 | 62,500 | 2.3 | 1229.7 | 1308.4 | 1.036 |
| C26.8-H100-6#5-45 | 250 | 45 | 26.8 | 1.576 | 9.5ϕ100 | 6ϕ15.9 | 1237 | 60,000 | 2.1 | 1315 | 62,500 | 2.3 | 1185.6 | 1287.4 | 1.137 |
| C44.0-H100-6#5-120 | 250 | 120 | 44.0 | 2.361 | 9.5ϕ100 | 6ϕ15.9 | 1237 | 60,000 | 2.1 | 1315 | 62,500 | 2.3 | 1582.5 | 1305.1 | 1.220 |
| C31.8-H100-6#5-120 | 250 | 120 | 31.8 | 2.361 | 9.5ϕ100 | 6ϕ15.9 | 1237 | 60,000 | 2.1 | 1315 | 62,500 | 2.3 | 1194.9 | 1094.3 | 1.000 |
| C26.8-H00-6#5-45 | 250 | 45 | 26.8 | 0.000 | - | 6ϕ15.9 | 1237 | 60,000 | 2.1 | 1315 | 62,500 | 2.3 | 1105.8 | 1041.0 | 0.357 |
| C26.8-H50-6#5-120 | 250 | 120 | 26.8 | 4.271 | 9.5ϕ50 | 6ϕ15.9 | 1237 | 60,000 | 2.1 | 1315 | 62,500 | 2.3 | 999.0 | 1126.8 | 0.783 |
| C26.8-H100-6#5-120 | 250 | 120 | 26.8 | 2.361 | 9.5ϕ100 | 6ϕ15.9 | 1237 | 60,000 | 2.1 | 1315 | 62,500 | 2.3 | 956.1 | 942.4 | 0.744 |
| C26.8-H150-6#5-120 | 250 | 120 | 26.8 | 1.711 | 9.5ϕ150 | 6ϕ15.9 | 1237 | 60,000 | 2.1 | 1315 | 62,500 | 2.3 | 945.4 | 913.2 | 0.737 |
| C21.2-H100-6#5-120 | 250 | 120 | 21.2 | 2.361 | 9.5ϕ100 | 6ϕ15.9 | 1237 | 60,000 | 2.1 | 1315 | 62,500 | 2.3 | 785.2 | 872.0 | 0.929 |
| Property | Value |
|---|---|
| Mesh size of concrete material (mm) | 15/Element Shape: Hex-Structured |
| Mesh size of steel end plates (mm) | 10/Element Shape: Hex-Sweep |
| Mesh size of GFRP rebars and spirals (mm) | 10 |
| Minimum step size | 1 × 10−8 |
| Initial step size | 0.005 |
| Maximum step size | 0.01 |
| Concrete and steel end plate element type | Standard C3D8R/Geometric Order: Linear/Family: 3D Stress |
| GFRP rebars and spiral element type | Standard T3D2/Geometric Order: Linear/Family: Truss |
| Interaction constraint of FRP reinforcement to concrete | Embedded Region |
| Applied displacement (mm) | 50 |
| Step-1 type | Static, General |
| Equation solver | Direct |
| Automatic stabilization | Use damping factors from previous general steps |
| Parameter | Value |
|---|---|
| Dilatation angle (ψ), Degrees | 30 |
| Plastic potential eccentricity (ε) | 0.1 |
| σbo/σco [77] | 1.5(fc’’)−0.075 |
| The shape factor of yielding surface (Kc) | 0.6667 |
| Viscosity parameter (𝜇) | 5 × 105 |
| Input/Output | Maximum | Minimum | Mean | Standard Deviation | |
|---|---|---|---|---|---|
| λvb | – | 2.04 | 0.68 | 1.19 | 0.35 |
| λlb | – | 2.09 | 0.00 | 0.68 | 0.51 |
| fc’ | MPa | 44.00 | 21.20 | 26.80 | 6.57 |
| Ac | mm2 | 47,916.14 | 36,601.86 | 41,551.86 | 3138.02 |
| Di/D | (mm/mm) | 0.48 | 0.00 | 0.36 | 0.14 |
| pn1 | Kn | 2064.49 | 785.21 | 1155.13 | 291.75 |
| pn2 | Kn | 1864.16 | 769.17 | 1241.42 | 279.56 |
Publisher’s Note: MDPI stays neutral with regard to jurisdictional claims in published maps and institutional affiliations. |
© 2021 by the authors. Licensee MDPI, Basel, Switzerland. This article is an open access article distributed under the terms and conditions of the Creative Commons Attribution (CC BY) license (https://creativecommons.org/licenses/by/4.0/).
Share and Cite
Isleem, H.F.; Tayeh, B.A.; Alaloul, W.S.; Musarat, M.A.; Raza, A. Artificial Neural Network (ANN) and Finite Element (FEM) Models for GFRP-Reinforced Concrete Columns under Axial Compression. Materials 2021, 14, 7172. https://doi.org/10.3390/ma14237172
Isleem HF, Tayeh BA, Alaloul WS, Musarat MA, Raza A. Artificial Neural Network (ANN) and Finite Element (FEM) Models for GFRP-Reinforced Concrete Columns under Axial Compression. Materials. 2021; 14(23):7172. https://doi.org/10.3390/ma14237172
Chicago/Turabian StyleIsleem, Haytham F., Bassam A. Tayeh, Wesam Salah Alaloul, Muhammad Ali Musarat, and Ali Raza. 2021. "Artificial Neural Network (ANN) and Finite Element (FEM) Models for GFRP-Reinforced Concrete Columns under Axial Compression" Materials 14, no. 23: 7172. https://doi.org/10.3390/ma14237172
APA StyleIsleem, H. F., Tayeh, B. A., Alaloul, W. S., Musarat, M. A., & Raza, A. (2021). Artificial Neural Network (ANN) and Finite Element (FEM) Models for GFRP-Reinforced Concrete Columns under Axial Compression. Materials, 14(23), 7172. https://doi.org/10.3390/ma14237172

