Application of Modern Research Methods for the Physicochemical Characterization of Ion Exchangers
Abstract
1. Introduction
1.1. Manufacture of Ion Exchangers and Main Processes of Production
1.2. Microporous, Macroporous and Hypercross-Linked as Well as Polyhydrophilic Ion Exchangers
1.3. Forms of Ion Exchangers
1.4. Types of Functional Groups
- ✓
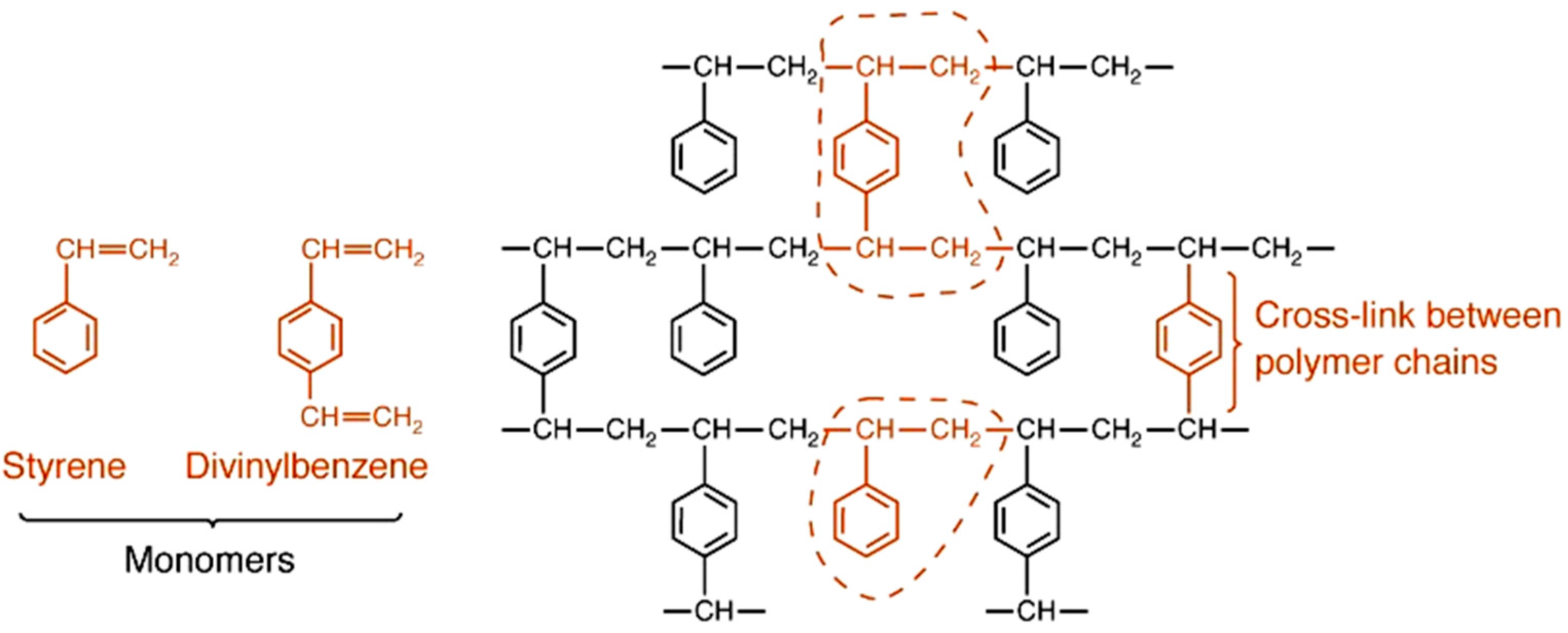
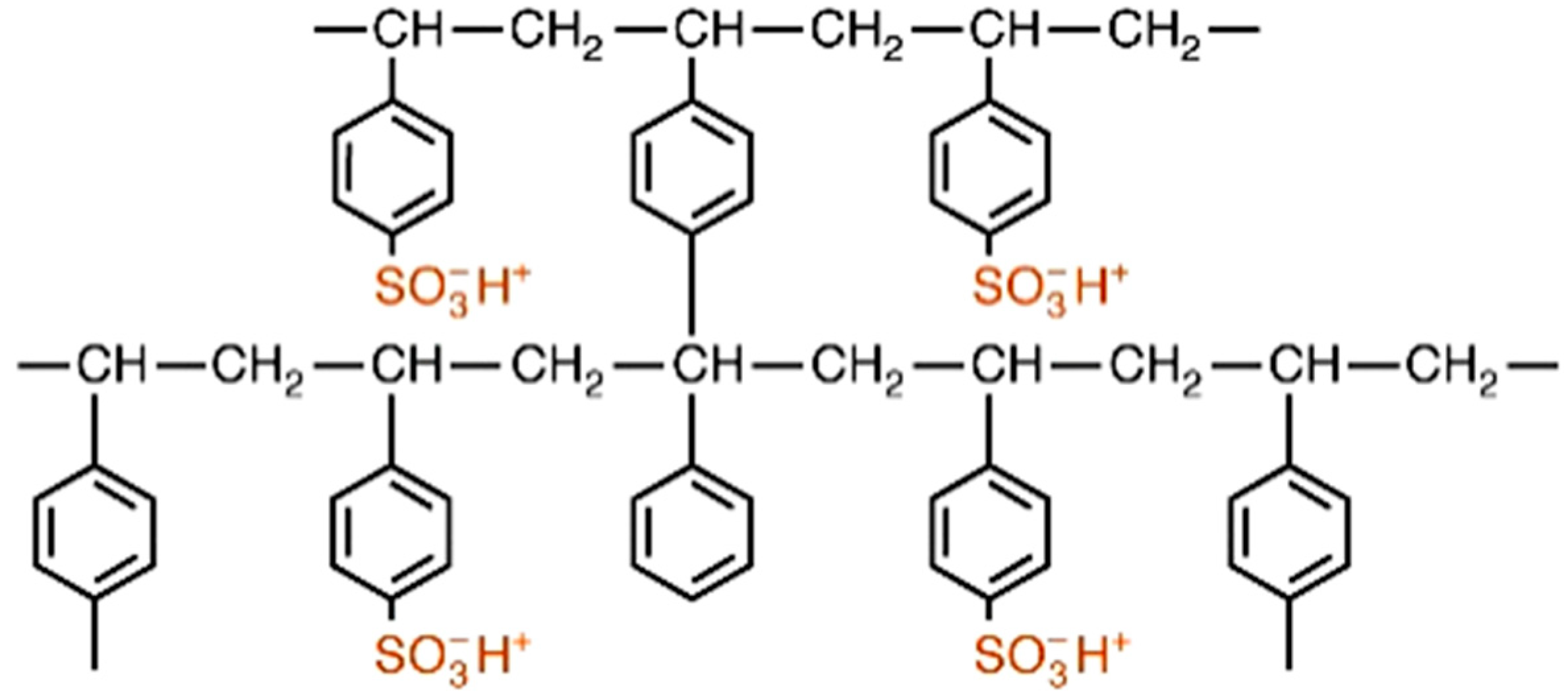
- Strongly acidic cation (SAC) exchangers possess good physical and oxidation stability, variable capacities (5.4 meq/L) depending on the regeneration levels, but small operating efficiency (in the case of water softening in the Na+ cycle and demineralization) (Figure 4).
- ✓
- Weakly acidic cation (WAC) exchangers with a partial exchange capacity, much higher capacity than SAC, high operating efficiency, but the limitations include a relatively high cost, poor kinetics and physical stability (for dealkalization in the H+ cycle and for brackish water softening in the Na+ cycle), weak acid groups such as -COO−, ionise only at high pH. At low pH, that is, a high concentration of hydrogen ions, they form undissociated -COOH [31].
- ✓
- Strongly basic anion exchangers (SBA) with a quaternary ammonium group with good kinetics and short rinses, but there is a trade-off between the exchange efficiency and the resulting quality. They are thermodynamically unstable, prone to organic fouling and cost considerably more than the cation equivalent. Their capacities are equal to 2.5–4.0 meq/g. The SBA ion exchangers of type 1 (trimethylammonium) and type 2 (dimethylhydroxyethylammonium) quaternary ammonium functional anion exchangers are obtained by amination of the polymer matrix with trimethylamine (TMA) or dimethylethanolamine (DMEA). Type 1 ion exchangers are either gel with a particularly suitable temperature and oxidation stability or macroporous with higher capacity and resistance against organic fouling (Figure 5).
- ✓
- Weakly basic anion (WBA) exchangers with a tertiary amine group removes only strong (hydrochloric, sulfuric, nitric) acids. They are characterized by a large operating capacity and regeneration efficiency with good resistance to organic fouling and thermal stability, but longer rinse times, poor kinetics and they cost even more than SBA. Weak base groups lose a proton when the pH value is high, forming uncharged NH2 ions. Consequently, for the resins which are weakly ionic, the exploitable capacity depends on the pH of the liquid being treated. Weak base anion exchangers are particularly effective in handling natural organics [32].
1.5. Affinity of Ion Exchangers
1.6. Ion Exchangers Advantages and Applications
2. Materials and Methods
2.1. Ion Exchangers
2.2. Instruments
3. Results and Discussion
3.1. Optical Profilometry of Ion Exchangers
3.2. X-ray Photoelectron Spectroscopy (XPS) of Ion Exchangers
4. Conclusions
Author Contributions
Funding
Institutional Review Board Statement
Informed Consent Statement
Data Availability Statement
Acknowledgments
Conflicts of Interest
References
- Hubicki, Z.; Kołodyńska, D. Selective removal of heavy metal ions from waters and waste waters using ion exchange methods. In Ion Exchange Technologies; Kilislioğlu, A., Ed.; InTech: London, UK, 2012; pp. 193–240. ISBN 980-953-307-139-3. [Google Scholar]
- Harland, C.E. Ion Exchange: Theory and Practice; Royal Society of Chemistry: Cambridge, UK, 1994. [Google Scholar]
- Zagorodni, A.A. Ion Exchange Materials: Properties and Applications; Elsevier: Amsterdam, The Netherlands, 2006; ISBN 978-0-08-044552-6. [Google Scholar]
- Kunin, R. Ion Exchange Resin, 3rd ed.; Wiley: New York, NY, USA, 1958. [Google Scholar]
- Kurniawan, T.A.; Chan, G.Y.S.; Lo, W.H.; Babel, S. Physico-chemical treatment techniques for wastewater laden with heavy metals. Chem. Eng. J. 2006, 118, 83–89. [Google Scholar] [CrossRef]
- Chiarizia, R.; Horwitz, E.P.; Alexandratos, S.D.; Gula, M.J. Diphonixs resin: A review of its properties and applications. Sep. Sci. Technol. 1997, 32, 1–35. [Google Scholar] [CrossRef]
- Horng, L.L.; Clifford, D. The behaviour of polyprotic anions in ion-exchange resins. React. Funct. Polym. 1997, 35, 41–54. [Google Scholar] [CrossRef]
- Dragan, S.; Avram, E.; Dinu, M.V. Organic ion exchangers as beads. Synthesis, characterization and applications. Polym. Adv. Technol. 2006, 17, 571–578. [Google Scholar] [CrossRef]
- Minczewski, J.; Chwastowska, J.; Dybczyński, R. Separation and Preconcentration Methods in Inorganic Trace Analysis; John Wiley & Sons: New York, NY, USA, 1982. [Google Scholar]
- Dorfner, K. (Ed.) Ion Exchangers; Walter De Gruyter: Berlin, Germany, 1991. [Google Scholar]
- Helfferich, F. Ion Exchange Resins; Mc-Grow Hill: New York, NY, USA, 1962. [Google Scholar]
- Gardziella, A.; Pilato, L.A.; Knop, A. Phenolic Resins: Chemistry, Applications, Standardization, Safety and Ecology, 2nd ed.; Springer: Berlin, Germany, 2000. [Google Scholar]
- Grenier-Loustalot, M.F.; Larroque, S.; Grande, D.; Grenier, P.; Bedel, D. Phenolic resins: 2. influence of catalyst type on reaction mechanisms and kinetics. Polymer 1996, 37, 1363–1369. [Google Scholar] [CrossRef]
- Luca, C.; Vlad, C.D.; Bunia, I. Trends in weak base anion exchangers resins. Rev. Roum. Chim. 2009, 54, 107–117. [Google Scholar]
- Dyer, A. Ion Exchange. In Encyclopedia of Separation Science; Wilson, I., Poole, C., Cooke, M., Eds.; Academic Press: New York, NY, USA, 2000; pp. 156–173. [Google Scholar]
- Chaabouni, A.; Guesmi, F.; Louati, I.; Hannachi, C.; Hamrouni, B. Temperature effect on ion exchange equilibrium between CMX membrane and electrolytes solutions. J. Water Reuse Desalination 2015, 5, 535–541. [Google Scholar] [CrossRef]
- Ivanov, V.A.; Timofeevskaya, V.D.; Gorshkov, V.I.; Drozdova, N.V. The role of temperature in ion exchange processes of separation and purification. J. Radioanal. Nucl. Chem. 1996, 208, 23–45. [Google Scholar] [CrossRef]
- Davankov, V.; Rogozhin, V.; Tsjurupa, M. Macronet Polystyrene Structures for Ionites and Method of Producing Same. US Patent US-3729457-A, 24 April 1973. [Google Scholar]
- Davankov, V.; Tsyurupa, M.; Ilyin, M.; Pavlova, L. Hypercross-linked polystyrene and its potentials for liquid chromatography: A mini-review. J. Chromatogr. A 2002, 965, 65–73. [Google Scholar] [CrossRef]
- Huang, J.; Turner, R. Hypercrosslinked polymers: A review. Polym. Rev. 2018, 58, 1–41. [Google Scholar] [CrossRef]
- Sutton, R.M.C.; Hill, S.J.; Jones, P. Comparison of the chelating ion exchange properties of dye coated cellulose and polystyrene substrates for the separation and determination of trace metals from aqueous media. J. Chromatogr. A 1996, 739, 81–86. [Google Scholar] [CrossRef]
- Trochimczuk, A.; Legan, M. Porowaty Materiał Monolityczny Będący Anionitem o Strukturze Typu Poly(HIPE) Oraz Sposób jego Wytwarzania. Polish Patent 232550, 30 June 2016. [Google Scholar]
- Novoselova, L.Y.; Sirotkina, E.E. Polyolefinic fibrous ion-exchange materials: Properties and applications. Chem. Sustain. Dev. 2006, 14, 199–213. [Google Scholar]
- Shimamura, M.; Teramoto, K.; Yoshioka, T.; Tanaka, M. Handbook of Fiber Science and Technology; Marcel Dekker: New York, NY, USA; Basel, Switzerland, 1989; Volume 3, Part B; pp. 209–252. [Google Scholar]
- Kołodyńska, D. Organic-inorganic composite materials as sorbents and ion-exchangers used in environmental protection. In Advanced Organic-Inorganic Composites: Materials, Devices and Allied Applications; Inamuddin, Ed.; Nova Science Publishers, Inc.: New York, NY, USA, 2011; pp. 69–130. ISBN 978-1-61324-264-3. [Google Scholar]
- Soldatov, V.S.; Martzinkevich, R.V.; Pokrovskaya, A.I. Voloknistye anionity na osnove polipropilena. J. Appl. Chem. 1984, 57, 1410–1413. (In Russian) [Google Scholar]
- Nesteronok, P.V.; Soldatov, V.S. Acid-Base Properties of Ion Exchangers. IV. Synthesis and Potentiometric Analysis of Polyampholytes on the Base of Polyacrylonitrile Fibers. Solvent Extr. Ion Exch. 2012, 30, 414–421. [Google Scholar] [CrossRef]
- Riley, A.L.; Pepper, S.E.; Canner, A.J.; Brown, S.F.; Ogden, M.D. Metal recovery from jarosite waste. A resin screening study. Sep. Sci. Technol. 2018, 53, 22–35. [Google Scholar] [CrossRef]
- Silva, R.A.; Hawboldt, K.; Zhang, Y. Application of resins with functional groups in the separation of metal ions/species—A review. Miner. Process. Extr. Metall. Rev. 2018, 39, 395–413. [Google Scholar] [CrossRef]
- Kołodyńska, D.; Hubicki, Z. Investigation of sorption and separation of lanthanides on the ion exchangers of various types. In Ion Exchange Technologies; Kilislioğlu, A., Ed.; InTech: London, UK, 2012; pp. 101–154. ISBN 980-953-307-139-3. [Google Scholar]
- Vergili, I.; Gönder, Z.B.; Kaya, Y.; Gürdağ, G.; Çavuş, S. Sorption of Pb (II) from battery industry wastewater using a weak acid cation exchange resin. Process. Saf. Environ. Prot. 2017, 107, 498–507. [Google Scholar] [CrossRef]
- Neagu, V.; Bunia, I. Acrylic weak base anion exchangers and their chemical stability in aggressive media. Polym. Degrad. Stab. 2004, 83, 133–138. [Google Scholar] [CrossRef]
- Harker, J.H.; Backhurst, J.R.; Richardson, J.F. Chemical Engineering; Elsevier: Amsterdam, The Netherlands, 2002. [Google Scholar]
- Alexandratos, S.D. Ion-Exchange Resins: A Retrospective from industrial and engineering chemistry research. Ind. Eng. Chem. Res. 2009, 8, 388–398. [Google Scholar] [CrossRef]
- Dabrowski, A.; Hubicki, Z.; Podkoscielny, P.; Robens, E. Selective removal of the heavy metal ions from waters and industrial wastewaters by ion-exchange method. Chemosphere 2004, 56, 91–106. [Google Scholar] [CrossRef]
- Greig, J.A. Ion Exchange Developments and Applications: Proceedings of IEX ’96; The Royal Society of Chemistry: Cambridge, UK, 1996. [Google Scholar]
- Schweitzer, R.A. (Ed.) Handbook of Separation Techniques for Chemical Engineers, 2nd ed.; McGraw-Hill: New York, NY, USA, 1988. [Google Scholar]
- Sengupta, A.K. (Ed.) Ion Exchange Technology: Advances in Environmental Pollution Control; Technornic Publishing Co.: Lancaster, PA, USA, 1995. [Google Scholar]
- Palacios, V.M.; Caro, I.; Pérez, L. Application of ion exchange techniques to industrial processes of metal ion removal from wine. Adsorption 2001, 7, 131–138. [Google Scholar] [CrossRef]
- Dickert, C. Ion Exchange, Kirk-Othme Encyclopedia of Chemical Technology; Wiley: New York, NY, USA, 1981. [Google Scholar]
- Noel, R. Method of Processing Whey for Demineralization Purposes. US Patent 6383540, 7 May 2002. [Google Scholar]
- Karnib, M.; Kabbanib, A.; Holail, H.; Olama, Z. Heavy metals removal using activated carbon, silica and silica activated carbon composite. Energy Procedia 2014, 50, 113–120. [Google Scholar] [CrossRef]
- Zuliani, A.; Cano, M.; Calsolaro, F.; Santiago, A.R.P.; Giner-Casares, J.J.; Rodríguez-Castellón, E.; Berlier, G.; Cravotto, G.; Martina, K.; Luque, R. Improving the electrocatalytic performance of sustainable Co/carbon materials for oxygen evolution reaction by ultrasound and microwave assisted synthesis. Sustain. Energy Fuels 2021, 5, 720–731. [Google Scholar] [CrossRef]
- Sun, D.T.; Peng, L.; Reeder, W.S.; Moosavi, S.M.; Tiana, D.; Britt, D.K.; Oveisi, E.; Queen, W.L. Rapid, selective heavy metal removal from water by a metal-organic framework/polydopamine composite. ACS Cent. Sci. 2018, 4, 349–356. [Google Scholar] [CrossRef] [PubMed]
- Elder, D.P.; Park, A.; Patel, P.; Marzolini, N. Development of a palatable liquid formulation of a bitter tasting drug using ion exchange resins for taste masking. In Ion Exchange at the Millennium: Proceedings of IEX 2000; Churchill College: Cambridge, UK, 2000; pp. 307–313. [Google Scholar]
- Irwin, J.; Machale, R.; Watts, P.J. Drug-delivery by ion-exchnage. Part VII: Release of acidic drugs from anionic exchange resinate complexes. Drug Deliv. Ind. Pharm. 1990, 16, 883–898. [Google Scholar] [CrossRef]
- Barton, C.S.; Stewart, D.I.; Morris, K.; Bryant, D.E. Performance of three resin-based materials for treating uranium-contaminated groundwater within a PRB. J. Hazard. Mater. 2004, 116, 191–204. [Google Scholar] [CrossRef][Green Version]
- Csoban, K.; Parkanyi-Berka, M.; Joo, P.; Behra, P. Sorption experiments of Cr(III) onto silica. Colloids Surf. A 1998, 141, 347–364. [Google Scholar] [CrossRef]
- He, Y.; Cervera, L.; Garrido-Eciya, M.I.; de la Guardia, M. On-line bidirectional electrostacking of chromium(III) and chromium(VI) for flame atomic absorption spectrometry determination. Anal. Chim. Acta 2000, 421, 57–65. [Google Scholar] [CrossRef]
- Muraviev, D.; Gonzalo, A.; Valiente, M. Ion exchange on resins with temperature-responsive selectivity III. Influence of complex formation stoichiometry on temperature dependence of resin selectivity. J. Chromatogr. A 2000, 868, 143–152. [Google Scholar] [CrossRef]
- Tenorio, J.A.S.; Espinosa, D.C.R. Treatment of chromium plating process effluents with ion exchange resins. Waste Manag. 2001, 21, 637–642. [Google Scholar] [CrossRef]
- Rengaraj, S.; Yeon, K.H.; Moon, S.H. Removal of chromium from water and wastewater by ion exchange resins. J. Hazard. Mater. 2001, 87, 273–287. [Google Scholar] [CrossRef]
- Staby, A.; Jensen, I.H. Comparison of chromatographic ion-exchange resins. II. More strong anion-exchange resins. J. Chromatogr. A 2001, 908, 149–161. [Google Scholar] [CrossRef]
- Arslanoglu, H.; Tumen, F. A study on cations and colour removal from thin sugar juice by modified sugar beet pulp. J. Food Sci. Technol. 2012, 49, 319–327. [Google Scholar] [CrossRef] [PubMed]
- Vidal, R.H.L.; Pereira, C.G. Ion exchange resin applied to obtain clarified cashew juice. Sep. Sci. Technol. 2015, 50, 2737–2746. [Google Scholar] [CrossRef]
- Singh, S.V.; Jain, R.K.; Gupta, A.K. Adsorptive reduction of naringin from kinnow mandarin juice with non-ionic macroporous adsorbent resin. Indian Chem. Eng. 2016, 58, 136–156. [Google Scholar] [CrossRef]
- Coca, M.; Mato, S.; González-Benito, G.; Urueña, M.Á.; García-Cubero, M.T. Use of weak cation exchange resin Lewatit S 8528 as alternative to strong ion exchange resins for calcium salt removal. J. Food Eng. 2010, 97, 569–573. [Google Scholar] [CrossRef]
- Shaw, D.R.; Dreisinger, D.B.; Lancaster, T.; Richmond, G.D.; Tomlinson, M. The commercialization of the FENIX iron control system for purifying copper electrowinning electrolytes. JOM 2004, 7, 38–41. [Google Scholar] [CrossRef]
- Alexandratos, S.D.; Hussain, L.A. Bifunctionality as a means of enhancing complexation kinetics in selective ion exchange resins. Ind. Eng. Chem. Res. 1995, 34, 251–254. [Google Scholar] [CrossRef]
- Kołodyńska, D.; Sofińska-Chmiel, W.; Mendyk, E.; Hubicki, Z. Dowex M 4195 and Lewatit TP 220 in heavy metal ions removal from acidic streams. Sep. Sci. Technol. 2014, 49, 2003–2015. [Google Scholar] [CrossRef]
- Sofińska-Chmiel, W.; Mendyk, E.; Hubicki, Z.; Kołodyńska, D. Zastosowanie profilometrii optycznej w badaniach jonitów. Przemysł Chem. 2015, 94, 711–714. (In Polish) [Google Scholar]
- Dudek, S.; Kołodyńska, D. Enhanced arsenic (V) removal on iron based sorbent modified by lanthanum(III). Materials 2020, 13, 2553. [Google Scholar] [CrossRef] [PubMed]
- Oancea, A.M.S.; Radulescu, M.; Oancea, D.; Pincovschi, E. Three generations of polystyrene-type strong acid cation exchangers: Textural effects on proton/cadmium(II) ion exchange kinetics. Ind. Eng. Chem. Res. 2006, 45, 9096–9106. [Google Scholar] [CrossRef]
- Abrams, I.M.; Millar, J.R. A history of the origin and development of macroporous ion exchange resins. React. Funct. Polym. 1997, 35, 7–22. [Google Scholar] [CrossRef]
- Jacob, C. Seawater desalintion: Boron removal by ion exchange technology. Desalination 2007, 205, 47–52. [Google Scholar] [CrossRef]
- Boncukcuoǧlu, R.R.; Yilmaz, A.E.; Kocakerim, M.M.; Çopur, M. An empirical model for kinetics of boron removal from boron-containing wastewaters by ion exchange in a batch reactor. Desalination 2004, 160, 159–166. [Google Scholar] [CrossRef]
- Nadav, N. Boron removal from seawater reverse osmosis permeate utilizing selective ion exchange resin. Desalination 1999, 124, 131–135. [Google Scholar] [CrossRef]
- Simonnot, M.O.; Castel, C.; Nicolai, M.; Rosin, C.; Sardin, M.; Jauffret, H. Born removal from drinking water with a born selective resin: Is the treatment really selective? Water Res. 2000, 34, 109–116. [Google Scholar] [CrossRef]
- Demey, H.; Vincent, T.; Ruiz, M.; Sastre, A.M.; Guibal, E. Development of a new chitosan/Ni(OH)2-based sorbent for boron removal. Chem. Eng. J. 2014, 244, 576–586. [Google Scholar] [CrossRef]
- Kowalczyk, M.; Kołodyńska, D.; Hubicki, Z. Modern hybrid sorbents—New ways of heavy metal removal from waters and wastewaters. Eng. Process. Process Intensif. 2013, 70, 55–65. [Google Scholar] [CrossRef]
- Mohan, D.; Pittman, C.U. Arsenic removal from water/wastewater using adsorbents—A critical review. J. Hazard. Mater. 2007, 142, 1–53. [Google Scholar] [CrossRef]
- Sarkar, S.; Blaney, L.M.; Gupta, A.; Ghosh, D.; SenGupta, A.K. Use of Arsen Xnp, a hybrid anion exchanger, for arsenic removal in remote villages in the Indian subcontinent. React. Funct. Polym. 2007, 67, 1599–1611. [Google Scholar] [CrossRef]
- SenGupta, A.K.; Cumbal, L.H. Hybrid Anion Exchanger for Selective Removal of Contaminating Ligands from Fluids and Method of Manufacture Thereof. U.S. Patent 7291578, 6 November 2007. [Google Scholar]
- Cumbal, L.H.; SenGupta, A.K. Arsenic removal using polymer supported hydrated iron (III) oxide nanoparticles. Environ. Sci. Technol. 2005, 39, 6508–6515. [Google Scholar] [CrossRef] [PubMed]
- DeMarco, M.J.; SenGupta, A.K.; Greenleaf, J.E. Arsenic removal using a polymeric/inorganic hybrid sorbent. Water Res. 2003, 37, 164–176. [Google Scholar] [CrossRef]
- Kołodyńska, D.; Hubicki, Z. Application of novel complexing agent in sorption of heavy metal ions from wastewaters on ion exchangers of various type. Ann. Univ. Mariae Curie-Skłodowska 2009, 64, 227–245. [Google Scholar] [CrossRef][Green Version]
- Crosby, S.A.; Glasson, D.R.; Cuttler, A.H.; Butler, I.; Turner, D.R.; Whitfield, M.; Millward, G.E. Surface areas and porosities of iron(III)- and iron(II)-derived oxyhydroxides. Environ. Sci. Technol. 1983, 17, 709–713. [Google Scholar] [CrossRef] [PubMed]
- Pan, B.; Wu, J.; Pan, B.; Lv, L.; Zhang, W.; Xiao, L.; Wang, X.; Tao, X.; Zheng, S. Development of polymer-based nanosized hydrated ferric oxides (HFOs) for enhanced phosphate removal from waste effluents. Water Res. 2009, 43, 4421–4429. [Google Scholar] [CrossRef] [PubMed]
- Payne, B.P.; Biesinger, M.C.; McIntyre, N.S. X-ray photoelectron spectroscopy studies of reactions on chromium metal and chromium oxide surfaces. J. Electron Spectrosc. Relat. Phenom. 2011, 184, 29–37. [Google Scholar] [CrossRef]
- Gobbo, P.; Novoa, S.; Biesinger, M.C.; Workentin, M.S. Interfacial strain-promoted alkyne-azidecycloaddition (I-SPAAC) for the synthesis of nanomaterial hybrids. Chem. Commun. 2013, 49, 3982–3984. [Google Scholar] [CrossRef]
- Gobbo, P.; Mossman, Z.; Nazemi, A.; Niaux, A.; Biesinger, M.C.; Gilles, E.R.; Workentin, M.S. Versatile stained alkyne modified water-soluble aunps for interfacial strain promoted azide-alkyne cycloaddition (ISPAAC). J. Mater. Chem. B 2014, 2, 1764–1769. [Google Scholar] [CrossRef]
- Wanger, C.; Riggs, W.; Davis, L.; Moulder, J.; Muilenberg, G. Handbook of X-ray Photoelectron Spectroscopy; Physical Electronics: Eden Prairie, MN, USA, 1979. [Google Scholar]
- Dowex M 4195–Lenntech. Available online: https://www.lenntech.com/Data-sheets/Dowex-M-4195-L.pdf (accessed on 29 December 2017).
- Wagner, C.D.; Naumkin, A.V.; Kraut-Vass, A.; Allison, J.W.; Powell, C.J.; Rumble, J.R. NIST Standard Reference Database 20, Version 3.4. Available online: http:/srdata.nist.gov/xps/ (accessed on 29 December 2017).










| Properties | Dowex M 4195 | Amberlite IRA 743 | Purolite Arsen Xnp |
|---|---|---|---|
| Appearance | dark green | white | reddish-brown |
| Matrix | ST-DVB | ST-DVB | ST-DVB |
| Structure | macroporous | macroporous | macroporous |
| Functional groups | bis-picolylamine, bis(2-pyridyl-methyl) amine | N-methyl- D-glucamine (free base form) | sulfonic acid groups/hydrated iron oxide nanoparticles |
| Size (mm) | 0.300–0.8500 | 0.500–0.700 | 0.300–1.200 |
| pH range | 0–14 | 0–14 | 4–9 |
| Max temp. (°C) | 80 | 75 | 80 |
| SBET (m2/g) | 3.2 | 14.5 | 7.1 |
| pHZPC | 2.4 | 8.00 | 8.31 |
| Total capacity (eq/L) | 1.4 (6 g Cu(II)/L) | 0.7 | 0.8 |
| Dowex M 4195 | Amberlite IRA 743 | Purolite Arsen Xnp |
|---|---|---|
| before the sorption of Cu(II) or As(V) | ||
![]() | ![]() | ![]() |
| after the sorption of Cu(II) or As(V) | ||
![]() | ![]() | ![]() |
| Ion Exchanger | Surface Microgeometry Maps (Middle Part of the Cut Beads) | Surface Microgeometry Maps (Edge Part of the Cut Beads) |
|---|---|---|
Dowex M4195![]() | ![]() | ![]() |
| Roughness parameters | Ra—203.86 nm ± 27.72 nm Rq—254.39 nm Rt—2.62 um | Ra—24.41 nm ± 3.31 nm Rq—31.10 nm Rt—0.329 um |
Dowex M4195-Cu(II)![]() | ![]() | ![]() |
| Roughness parameters | Ra—550.13 nm ±74.81 nm Rq—999.39 nm Rt—20.53 um | Ra—56.69 nm ± 7.71 nm Rq—76.61 nm Rt—0.952 um |
| Ion Exchanger | Surface Microgeometry Maps (Middle Part of the Cut Beads) | Surface Microgeometry Maps (Edge Part of the Cut Beads) |
|---|---|---|
Amberlite IRA 743![]() | ![]() | ![]() |
| Roughness parameters | Ra—771.44 nm ± 104.91 nm Rq—986.66 nm Rt—11.38 um | Ra—799.77 nm ±108.78 nm Rq—1020.00 nm Rt—11.14 um |
Amberlite IRA 743-Cu(II)![]() | ![]() | ![]() |
| Roughness parameters | Ra—751.34 nm ± 102.18 nm Rq—959.35 nm Rt—10.95 um | Ra—698.34 nm ± 94.97 nm Rq—895.70 nm Rt—10.57 um |
| Purolite Arsen Xnp | ![]() | ![]() |
| Roughness parameters | Ra—770.49 nm ± 104.78 nm Rq—985.56 nm Rt—12.02 um | Ra—698.25 nm ± 94.96 nm Rq—895.70 nm Rt—10.57 um |
| Purolite Arsen Xnp—As(V) ![]() | ![]() | ![]() |
| Roughness parameters | Ra—627.51 nm ± 85.34 nm Rq—790.80 nm Rt—10.34 um | Ra—625.36 nm ± 85.05 nm Rq—788.23 nm Rt—7.76 um |
| Name | Position [eV] | Area | % Atom Concentration | % Mass Concentration |
|---|---|---|---|---|
| C 1s | 284.7 | 42,140.11 | 82.2 | 76.2 |
| O 1s | 531.6 | 11,815.51 | 7.9 | 9.7 |
| N 1s | 399.3 | 6908.79 | 7.5 | 8.1 |
| S 2p | 168.3 | 2069.96 | 2.4 | 6.0 |
| Name | Position [eV] | Area | % Atom Concentration | Phase |
|---|---|---|---|---|
| O 1s | 531.4 | 812.25 | 68.9 | SO42−, C=O |
| O 1s | 532.9 | 365.79 | 31.1 | O-H |
| C 1s | 284.7 | 2322.86 | 66.6 | C=C, C-C, C-H |
| C 1s | 286.0 | 868.44 | 24.9 | C-N |
| C 1s | 287.5 | 82.66 | 2.4 | C=O, C-N |
| C 1s | 289.0 | 35.96 | 1.0 | Shake-up |
| C 1s | 290.8 | 52.84 | 1.5 | π-π |
| C 1s | 292.3 | 127.03 | 3.6 | π-π |
| N 1s | 399.3 | 349.52 | 70.5 | N-pyridine |
| N 1s | 401.7 | 146.36 | 29.5 | C-N |
| S 2p 3/2 | 167.9 | 120.52 | 100.0 | SO42− |
| S 2p 1/2 | 169.0 | 60.26 | - | - |
| Name | Position [eV] | Area | % Atom Concentration | % Mass Concentration |
|---|---|---|---|---|
| C 1s | 284.7 | 43,824.25 | 78.6 | 68.7 |
| O 1s | 531.3 | 14,057.58 | 8.6 | 10.1 |
| N 1s | 399.0 | 8241.83 | 8.2 | 8.4 |
| S 2p | 168.0 | 1794.61 | 1.9 | 4.5 |
| Cl 2p | 198.0 | 2417.58 | 1.9 | 4.8 |
| Cu 2p | 932.1 | 10,911.83 | 0.8 | 3.5 |
| Name | Position [eV] | Area | % Atom Concentration | Phase |
|---|---|---|---|---|
| O 1s | 531.3 | 655.87 | 63.2 | SO42−, C=O |
| O 1s | 532.9 | 382.52 | 36.8 | O-H |
| C 1s | 284.7 | 2054.58 | 60.6 | C=C, C-C, C-H |
| C 1s | 286.0 | 929.85 | 27.4 | C-N |
| C 1s | 287.4 | 119.93 | 3.5 | C=O, C-N |
| C 1s | 289.0 | 59.05 | 1.7 | Shake-up |
| C 1s | 290.2 | 36.17 | 1.1 | π-π |
| C 1s | 292.3 | 191.03 | 5.7 | π-π |
| N 1s | 399.6 | 465.61 | 81.9 | N-pyridine |
| N 1s | 401.6 | 102.64 | 18.1 | C-N |
| S 2p 3/2 | 167.8 | 75.16 | 100.0 | SO42− |
| S 2p 1/2 | 169.0 | 37.58 | - | - |
| Cl 2p 3/2 | 197.8 | 97.94 | 100.0 | Cl− |
| Cl 2p 1/2 | 199.4 | 48.97 | - | - |
| Cu 2p 3/2 | 932.6 | 520.86 | 74.9 | Cu(0). Cu(I) |
| Cu 2p 1/2 | 952.5 | 260.43 | - | - |
| Cu 2p 3/2 | 935.0 | 173.88 | 25.1 | Cu(II) |
| Cu 2p 1/2 | 955.2 | 86.94 | - | - |
Publisher’s Note: MDPI stays neutral with regard to jurisdictional claims in published maps and institutional affiliations. |
© 2021 by the authors. Licensee MDPI, Basel, Switzerland. This article is an open access article distributed under the terms and conditions of the Creative Commons Attribution (CC BY) license (https://creativecommons.org/licenses/by/4.0/).
Share and Cite
Chen, Y.-G.; Sofińska-Chmiel, W.; Lv, G.-Y.; Kołodyńska, D.; Chen, S.-H. Application of Modern Research Methods for the Physicochemical Characterization of Ion Exchangers. Materials 2021, 14, 7067. https://doi.org/10.3390/ma14227067
Chen Y-G, Sofińska-Chmiel W, Lv G-Y, Kołodyńska D, Chen S-H. Application of Modern Research Methods for the Physicochemical Characterization of Ion Exchangers. Materials. 2021; 14(22):7067. https://doi.org/10.3390/ma14227067
Chicago/Turabian StyleChen, Yi-Gong, Weronika Sofińska-Chmiel, Gui-Yuan Lv, Dorota Kołodyńska, and Su-Hong Chen. 2021. "Application of Modern Research Methods for the Physicochemical Characterization of Ion Exchangers" Materials 14, no. 22: 7067. https://doi.org/10.3390/ma14227067
APA StyleChen, Y.-G., Sofińska-Chmiel, W., Lv, G.-Y., Kołodyńska, D., & Chen, S.-H. (2021). Application of Modern Research Methods for the Physicochemical Characterization of Ion Exchangers. Materials, 14(22), 7067. https://doi.org/10.3390/ma14227067

























