Extensional Magnetorheology of Viscoelastic Human Blood Analogues Loaded with Magnetic Particles
Abstract
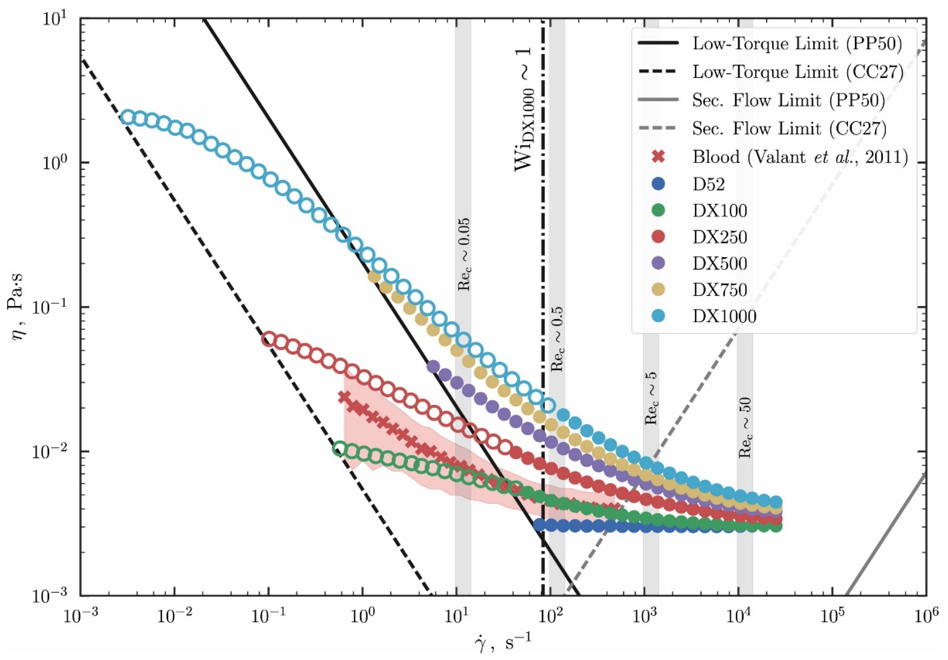
1. Introduction
2. Materials and Methods
2.1. Blood Analogues
2.2. Magnetic Particles
2.3. Extensional Rheometry and Extensional Magnetorheometry
3. Results and Discussion
3.1. Effect of Xanthan Gum Concentration
3.2. Extensional Magnetorheology of Human Blood Analogues Loaded with Magnetic Particles
4. Conclusions and Remarks
Supplementary Materials
Author Contributions
Funding
Institutional Review Board Statement
Informed Consent Statement
Conflicts of Interest
Appendix A. Sedimentation Issues with Carbonyl Iron Particles
Appendix B. Increasing the Intensity of the Magnetic Field
References
- Nader, E.; Skinner, S.; Romana, M.; Fort, R.; Lemonne, N.; Guillot, N.; Gauthier, A.; Antoine-Jonville, S.; Renoux, C.; Hardy-Dessources, M.D.; et al. Blood Rheology: Key Parameters, Impact on Blood Flow, Role in Sickle Cell Disease and Effects of Exercise. Front. Physiol. 2019, 10, 1329. [Google Scholar] [CrossRef]
- Kim, S.; Cho, Y.I.; Jeon, A.H.; Hogenauer, B.; Kensey, K.R. A new method for blood viscosity measurement. J. Non-Newton. Fluid Mech. 2000, 94, 47–56. [Google Scholar] [CrossRef]
- Brust, M.; Schaefer, C.; Doerr, R.; Pan, L.; Garcia, M.; Arratia, P.E.; Wagner, C. Rheology of Human Blood Plasma: Viscoelastic Versus Newtonian Behavior. Phys. Rev. Lett. 2013, 110, 078305. [Google Scholar] [CrossRef]
- Gambaruto, A.; Janela, J.; Moura, A.; Sequeira, A. Shear-thinning effects of hemodynamics in patient-specific cerebral aneurysms. Math. Biosci. Eng. 2013, 10, 649–665. [Google Scholar] [CrossRef]
- Ghassemi, M.; Shahidian, A. Fluid Mechanics. In Nano and Bio Heat Transfer and Fluid Flow, 1st ed.; Academic Press: Cambridge, MA, USA, 2017; pp. 57–87. [Google Scholar] [CrossRef]
- Stoltz, J.F.; Lucius, M. Viscoelasticity and thixotropy of human blood. Biorheology 1981, 18, 453–473. [Google Scholar] [CrossRef] [PubMed]
- Baskurt, O.K.; Meiselman, H.J. Blood Rheology and Hemodynamics. Semin. Thromb. Hemost. 2003, 29, 435–450. [Google Scholar] [CrossRef]
- Sousa, P.C.; Pinho, F.T.; Oliveira, M.S.N.; Alves, M.A. Extensional flow of blood analog solutions in microfluidic devices. Biomicrofluidics 2011, 5, 014108. [Google Scholar] [CrossRef]
- Sousa, P.C.; Pinho, F.T.; Alves, M.A.; Oliveira, M.S.N. A Review of Hemorheology: Measuring Techniques and Recent Advances. Korea-Aust. Rheol. J. 2016, 28, 1–22. [Google Scholar] [CrossRef]
- Shaw, S. Mathematical Model on Magnetic Drug Targeting in Microvessel. In Magnetism and Magnetic Materials; Panwar, N., Ed.; IntechOpen: London, UK, 2018. [Google Scholar] [CrossRef][Green Version]
- Häfeli, U.; Schütt, W.; Teller, J.; Zborowski, M. Scientific and Clinical Applications of Magnetic Carriers, 1st ed.; Springer: New York, NY, USA, 1997. [Google Scholar] [CrossRef]
- Stanciu, L.; Won, Y.H.; Ganesana, M.; Andreescu, S. Magnetic particle-based hybrid platforms for bioanalytical sensors. Sensors 2009, 9, 2976–2999. [Google Scholar] [CrossRef]
- Faraji, M.; Yamini, Y.; Rezaee, M. Magnetic nanoparticles: Synthesis, stabilization, functionalization, characterization, and applications. J. Iran. Chem. Soc. 2010, 7, 1–37. [Google Scholar] [CrossRef]
- Furlani, E.P. Magnetic Biotransport: Analysis and Applications. Materials 2010, 3, 2412–2446. [Google Scholar] [CrossRef]
- Medeiros, S.F.; Santos, A.M.; Fessi, H.; Elaissari, A. Stimuli-responsive magnetic particles for biomedical applications. Pharm. Nanotechnol. 2011, 403, 139–161. [Google Scholar] [CrossRef] [PubMed]
- Morillas, J.R.; Vicente, J. Magnetorheology: A review. Soft Matter 2020, 16, 9614. [Google Scholar] [CrossRef]
- Rodrigues, T.; Galindo-Rosales, F.J.; Campo-Deaño, L. Haemodynamics around confined microscopic cylinders. J. Non-Newton. Fluid Mech. 2020, 286, 104406. [Google Scholar] [CrossRef]
- Campo-Deaño, L.; Dullens, R.P.A.; Aarts, D.G.A.L.; Pinho, F.T.; Oliveira, M.S.N. Viscoelasticity of blood and viscoelastic blood analogues for use in polydymethylsiloxane in vitro models of the circulatory system. Biomicrofluidics 2013, 7, 034102. [Google Scholar] [CrossRef]
- Sousa, P.C.; Vaz, R.; Cerejo, A.; Oliveira, M.S.N.; Alves, M.A.; Pinho, F.T. Rheological behavior of human blood in uniaxial extensional flow. J. Rheol. 2018, 62, 447–456. [Google Scholar] [CrossRef]
- Mathues, W.; Mcllroy, C.; Harlen, O.G.; Clasen, C. Capillary breakup of suspensions near pinch-off. Phys. Fluids 2015, 27, 093301. [Google Scholar] [CrossRef]
- Mcllroy, C.; Harlen, O.G. Modelling capillary break-up of particulate suspensions. Phys. Fluids 2014, 26, 033101. [Google Scholar] [CrossRef]
- Liu, J. Magnetorheological Fluids: From Basic Physics to Application. JSME Int. J. Ser. B Fluids Therm. Eng. 2002, 45, 55–60. [Google Scholar] [CrossRef][Green Version]
- Galindo-Rosales, F.J.; Segovia-Gutiérrez, J.P.; Pinho, F.T.; Alves, M.A.; Vicente, J. Extensional rheometry of magnetic dispersions. J. Rheol. 2015, 59, 193–209. [Google Scholar] [CrossRef]
- García-Ortiz, J.H.; Galindo-Rosales, F.J. Extensional Magnetorheology as a Tool for Optimizing the Formulation of Ferrofluids in Oil-Spill Clean-Up Processes. Processes 2020, 8, 597. [Google Scholar] [CrossRef]
- Ramanujan, R.V. Magnetic Particles for Biomedical Applications. In Biomedical Materials, 1st ed.; Springer: Boston, MA, USA, 2009. [Google Scholar] [CrossRef]
- Anker, J.N.; Mefford, O.T. Biomedical Applications of Magnetic Particles, 1st ed.; CRC Press: Boca Raton, FL, USA, 2020. [Google Scholar] [CrossRef]
- Doswald, S.; Stark, W.J.; Beck-Schimmer, B. Biochemical functionality of magnetic particles as nanosensors: How far away are we to implement them into clinical practice? J. Nanobiotechnol. 2019, 17, 73. [Google Scholar] [CrossRef]
- Grob, D.T.; Wise, N.; Oduwole, O.; Sheard, S. Magnetic susceptibility characterization of superparamagnetic microspheres. J. Magn. Magn. Mater. 2018, 452, 134–140. [Google Scholar] [CrossRef]
- Yao, M.; McKinley, G.H. Numerical simulation of extensional deformations of viscoelastic liquid bridges in filament stretching devices. J. Non-Newton. Fluid Mech. 1998, 74, 47–88. [Google Scholar] [CrossRef]
- Campo-Deaño, L.; Clasen, C. The slow retraction method (SRM) for the determination of ultra-short relaxation times in capillary breakup extensional rheometry experiments. J. Non-Newton. Fluid Mech. 2010, 165, 1688–1699. [Google Scholar] [CrossRef]
- Sadek, S.H.; Najafabadi, H.H.; Galindo-Rosales, F.J. Capillary breakup extensional electrorheometry (CaBEER). J. Rheol. 2020, 64, 43–54. [Google Scholar] [CrossRef]
- Sadek, S.H.; Najafabadi, H.H.; Galindo-Rosales, F.J. Capillary breakup extensional magnetorheometry. J. Rheol. 2020, 64, 55–65. [Google Scholar] [CrossRef]
- Ng, H.C.H.; Poole, R.J. Highlighting the need for high-speed imaging in capillary breakup extensional rheometry. Meas. Sci. Technol. 2021, 32, 095301. [Google Scholar] [CrossRef]
- McKinley, G.H. Visco-elasto-capillary thinning and break-up of complex fluids. Annu. Rheol. Rev. 2005, 3, 1–49. [Google Scholar]
- Mewis, J.; Wagner, N.J. Colloidal Suspension Rheology, 1st ed.; Cambridge University Press: Cambridge, UK, 2012. [Google Scholar]
- Scirocco, R.; Vermant, J.; Mewis, J. Shear thickening in filled Boger fluids. J. Rheol. 2005, 49, 551–567. [Google Scholar] [CrossRef]
- Dai, S.; Qi, F.; Tanner, R.I. Viscometric functions of concentrated non-colloidal suspensions of spheres in a viscoelastic matrix. J. Rheol. 2014, 58, 183–198. [Google Scholar] [CrossRef]
- Yang, M.; Krishnan, S.; Shaqfeh, E.S.G. Numerical simulations of the rheology of suspensions of rigid spheres at low volume fraction in a viscoelastic fluid under shear. J. Non-Newton. Fluid Mech. 2016, 233, 181–197. [Google Scholar] [CrossRef]
- Yang, M.; Shaqfeh, E.S.G. Mechanism of shear thickening in suspensions of rigid spheres in Boger fluids. Part I: Dilute suspensions. J. Rheol. 2018, 62, 1363–1377. [Google Scholar] [CrossRef]
- Einarsson, J.; Yang, M.; Shaqfeh, E.S.G. Einstein viscosity with fluid elasticity. Phys. Rev. Fluids 2018, 3, 013301. [Google Scholar] [CrossRef]
- Clasen, C.; Eggers, J.; Fontelos, M.; Li, J.; McKinley, G.H. The beads-on-string structure of viscoelastic threads. J. Fluid Mech. 2006, 556, 283–308. [Google Scholar] [CrossRef]
- Bhat, P.P.; Appathurai, S.; Harris, M.T.; Pasquali, M.; McKinley, G.H.; Basaran, O.A. Formation of beads-on-a-string structures during break-up of viscoelastic filaments. Nat. Phys. 2010, 6, 625–631. [Google Scholar] [CrossRef]
- Milas, M.; Rinaudo, M.; Tinland, B. The viscosity dependence on concentration, molecular weight and shear rate of xanthan solutions. Polym. Bull. 1985, 14, 157–164. [Google Scholar] [CrossRef]
- Liu, Y.; Jun, Y.; Steinberg, V. Concentration dependence of the longest relaxation times of dilute and semi-dilute polymer solutions. J. Rheol. 2009, 53, 1069. [Google Scholar] [CrossRef]








| Acronym | Formulation | Blood Analogue | Density [g/cm3] | Surface Tension [mN/m] |
|---|---|---|---|---|
| XG0 | 0 ppm XG + 52% wt. of DMSO in water | Newtonian [17] | 1.070 | 56.95 ± 0.01 |
| XG100 | 100 ppm XG + 52% wt. of DMSO in water | Viscoelastic [18] | 1.071 | 56.63 ± 0.01 |
| XG250 | 250 ppm XG + 52% wt. of DMSO in water | Viscoelastic [17] | 1.071 | 57.30 ± 0.01 |
| XG500 | 500 ppm XG + 52% wt. of DMSO in water | Viscoelastic [17] | 1.072 | 57.01 ± 0.01 |
| Magnetic Particle | Density [g/cm3] | Iron Content [% wt.] | Diameter [µm] |
|---|---|---|---|
| DB M-270 | 1.6 | 14 | 2.75 |
Publisher’s Note: MDPI stays neutral with regard to jurisdictional claims in published maps and institutional affiliations. |
© 2021 by the authors. Licensee MDPI, Basel, Switzerland. This article is an open access article distributed under the terms and conditions of the Creative Commons Attribution (CC BY) license (https://creativecommons.org/licenses/by/4.0/).
Share and Cite
Nunes, J.M.; Galindo-Rosales, F.J.; Campo-Deaño, L. Extensional Magnetorheology of Viscoelastic Human Blood Analogues Loaded with Magnetic Particles. Materials 2021, 14, 6930. https://doi.org/10.3390/ma14226930
Nunes JM, Galindo-Rosales FJ, Campo-Deaño L. Extensional Magnetorheology of Viscoelastic Human Blood Analogues Loaded with Magnetic Particles. Materials. 2021; 14(22):6930. https://doi.org/10.3390/ma14226930
Chicago/Turabian StyleNunes, João M., Francisco J. Galindo-Rosales, and Laura Campo-Deaño. 2021. "Extensional Magnetorheology of Viscoelastic Human Blood Analogues Loaded with Magnetic Particles" Materials 14, no. 22: 6930. https://doi.org/10.3390/ma14226930
APA StyleNunes, J. M., Galindo-Rosales, F. J., & Campo-Deaño, L. (2021). Extensional Magnetorheology of Viscoelastic Human Blood Analogues Loaded with Magnetic Particles. Materials, 14(22), 6930. https://doi.org/10.3390/ma14226930

