Synthesis and Characterization of Al- and SnO2-Doped ZnO Thermoelectric Thin Films
Abstract
:1. Introduction
2. Materials and Methods
3. Results and Discussion
3.1. Structural and Morphological Characterization
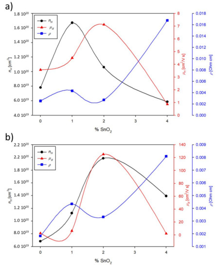
3.2. Transport and Thermoelectric Characterization
4. Summary
Author Contributions
Funding
Institutional Review Board Statement
Informed Consent Statement
Data Availability Statement
Acknowledgments
Conflicts of Interest
Appendix A



| Sample | Heat Diffusion Time | Thermal Effusivity | Thermal Conductivity | |
|---|---|---|---|---|
| AZO_0S | 5.19·10−10 | 0.541 | 3738 | 8.88 |
| AZO_2S | 5.24·10−10 | 0.529 | 3854 | 8.56 |
Appendix B


Appendix C



References
- Chu, S.; Majumdar, A. Opportunities and challenges for a sustainable energy future. Nature 2012, 488, 294. [Google Scholar] [CrossRef] [PubMed]
- BP Statistical Review of World Energy. Available online: https://www.bp.com/en/global/corporate/energy-economics/statistical-review-of-world-energy.html (accessed on 20 August 2021).
- Annual Energy Flow Charts by Lawrence Livermore Nat. Lab. Available online: https://flowcharts.llnl.gov/commodities/energy (accessed on 20 August 2021).
- Seebeck, T.J. Ueber die magnetische polarisation der metalle and erze durch temperatur-differenz. Ann. Phys. 1821, 82, 133–160. [Google Scholar]
- Mireles, V.; Stultz, J.W. Radioisotope Thermoelectric Generator Waste Heat System for the Cassini Propulsion Module. J. Aerosp. 1994, 103, 548. [Google Scholar]
- Crane, D.; LaGrandeur, J.; Jovovic, V.; Ranalli, M.; Adldinger, M.; Poliquin, E.; Dean, J.; Kossakovski, D.; Mazar, B.; Maranville, C. TEG On-Vehicle Performance and Model Validation and What It Means for Further TEG Development. J. Electron. Mater. 2013, 42, 1582–1591. [Google Scholar] [CrossRef]
- Goldsmid, H.J.; Douglas, R.W. The use of semiconductors in thermoelectric refrigeration. Br. J. Appl. Phys. 1954, 5, 386. [Google Scholar] [CrossRef]
- Hicks, L.D.; Dresselhaus, M.S. Effect of quantum-well structures on the thermoelectric figure of merit. Phys. Rev. B 1993, 47, 12727–12731. [Google Scholar] [CrossRef] [PubMed]
- Venkatasubramanian, R.; Siivola, E.; Colpritts, T. Thin-film thermoelectric devices with high room-temperature figures of merit. Nature 2001, 413, 597–602. [Google Scholar] [CrossRef]
- Zhao, L.D.; Lo, S.H.; Zhang, Y.; Sun, H.; Tan, G.; Uher, C.; Wolverton, C.; Dravid, V.P.; Kanatzidis, M.G. Ultralow thermal conductivity and high thermoelectric figure of merit in SnSe crystals. Nature 2014, 508, 373–377. [Google Scholar] [CrossRef] [PubMed]
- Zhou, C.; Lee, Y.K.; Yu, Y.; Byun, S.; Luo, Z.Z.; Lee, H.; Ge, B.; Lee, Y.L.; Chen, X.; Lee, J.Y.; et al. Polycrystalline SnSe with a thermoelectric figure of merit greater than the single crystal. Nat. Mater. 2021, 20, 1378–1384. [Google Scholar] [CrossRef]
- Fergus, J.W. Oxide materials for high temperature thermoelectric energy conversion. J. Eur. Ceram. Soc. 2012, 32, 525–540. [Google Scholar] [CrossRef]
- Ohtaki, M.; Araki, K.; Yamamoto, K. High Thermoelectric Performance of Dually Doped ZnO Ceramics. J. Electron. Mater. 2009, 38, 1234. [Google Scholar] [CrossRef]
- Saini, S.; Yaddanapudi, H.; Tian, K.; Yin, Y.; Magginetti, D.; Tiwari, A. Terbium Ion Doping in Ca3Co4O9: A Step towards High-Performance Thermoelectric Materials. Sci. Rep. 2017, 7, 44621. [Google Scholar] [CrossRef] [Green Version]
- Petsagkourakis, I.; Tybrandt, K.; Crispin, X.; Ohkubo, I.; Satoh, N.; Mori, T. Thermoelectric materials and applications for energy harvesting power generation. Sci. Technol. Adv. Mater. 2018, 19, 836–862. [Google Scholar] [CrossRef] [PubMed]
- Kishore, R.A.; Priya, S. A Review on Low-Grade Thermal Energy Harvesting: Materials, Methods and Devices. Materials 2018, 11, 1433. [Google Scholar] [CrossRef] [Green Version]
- Mele, P.; Saini, S.; Honda, H.; Matsumoto, K.; Miyazaki, K.; Hagino, H.; Ichinose, A. Effect of substrate on thermoelectric properties of Al-doped ZnO thin films. Appl. Phys. Lett. 2013, 102, 253903. [Google Scholar] [CrossRef]
- Saini, S.; Mele, P.; Honda, H.; Henry, D.J.; Hopkins, P.E.; Molina-Luna, L.; Matsumoto, K.; Miyazaki, K.; Ichinose, A. Enhanced thermoelectric performance of Al-doped ZnO thin films on amorphous substrate. Jpn. J. Appl. Phys. 2014, 53, 060306. [Google Scholar] [CrossRef] [Green Version]
- Tynell, T.; Giri, A.; Gaskins, J.; Hopkins, P.E.; Mele, P.; Miyazaki, K.; Karppinen, M. Efficiently suppressed thermal conductivity in ZnO thin films via periodic introduction of organic layers. J. Mater. Chem. A 2014, 2, 12150–12152. [Google Scholar] [CrossRef] [Green Version]
- Darwish, A.M.; Muhammad, A.; Sarkisov, S.S.; Mele, P.; Saini, S.; Liu, J.; Shiomi, J. Thermoelectric properties of Al-doped ZnO composite films with polymer nanoparticles prepared by pulsed laser deposition. Compos. Part B Eng. 2019, 167, 406–410. [Google Scholar] [CrossRef]
- Saini, S.; Mele, P.; Oyake, T.; Shiomi, J.; Niemelä, J.P.; Karppinen, M.; Miyazaki, K.; Li, B.; Kawaharamura, T.; Ichinose, A.; et al. Porosity-tuned thermal conductivity in thermoelectric Al-doped ZnO thin films grown by mist-chemical vapor deposition. Thin Solid Film. 2019, 685, 180–185. [Google Scholar] [CrossRef]
- Mele, P.; Saini, S.; Mori, T.; Kakefuda, Y.; Adam, M.I.; Singh, S.J. Thermoelectric properties of Al2O3-doped AZO thin films. article in preparation.
- Loureiro, J.; Neves, N.; Barros, R.; Mateus, T.; Santos, R.; Filonovich, S.; Reparaz, S.; Sotomayor-Torres, C.M.; Wyczik, F.; Divay, L.; et al. Transparent aluminium zinc oxide thin films with enhanced thermoelectric properties. J. Mater. Chem. A 2014, 2, 6649–6655. [Google Scholar] [CrossRef]
- Liu, S.; Lan, M.; Li, G.; Piao, Y.; Ahmoum, H.; Wang, Q. Breaking the tradeoff among thermoelectric parameters by multicomposite of porosity and CNT in AZO films. Energy 2021, 225, 120320. [Google Scholar] [CrossRef]
- Hirose, Y.; Tsuchii, M.; Shigematsu, K.; Kakefuda, K.; Mori, T.; Hasegawa, T. Thermoelectric properties of amorphous ZnOxNy thin films at room temperature. Appl. Phys. Lett. 2019, 114, 193903. [Google Scholar] [CrossRef]
- Nguyen, N.H.T.; Nguyen, T.H.; Liu, Y.-R.; Aminzare, M.; Pham, A.T.T.; Cho, S.; Wong, D.P.; Chen, K.-H.; Seetawan, T.; Pham, N.K.; et al. Thermoelectric Properties of Indium and Gallium Dually Doped ZnO Thin Films. ACS Appl. Mater. Interfaces 2016, 8, 33916–33923. [Google Scholar] [CrossRef]
- Singh, S.; Pandey, S.K. Fabrication of Simple Apparatus for Resistivity Measurement in High-Temperature Range 300–620 K. IEEE Trans. Instrum. Meas. 2018, 67, 2169–2176. [Google Scholar] [CrossRef] [Green Version]
- Byeon, D.; Sobota, R.; Singh, S.; Ghodke, S.; Choi, S.; Kubo, N.; Adachi, M.; Yamamoto, Y.; Matsunami, M.; Takeuchi, T. Long-Term Stability of the Colossal Seebeck Effect in Metallic Cu2Se. J. Electron. Mater. 2020, 49, 2855–2861. [Google Scholar] [CrossRef]
- Novotny, M.; Cızek, J.; Kuzel, R.; Bulır, J.; Lancok, J.; Connolly, J.; McCarthy, E.; Krishnamurthy, S.; Mosnier, J.-P.; Anwand, W.; et al. Structural characterization of ZnO thin films grown on various substrates by pulsed laser deposition. J. Phys. D Appl. Phys. 2012, 45, 225101. [Google Scholar] [CrossRef]
- Snyder, C.J.; Toberer, E.S. Complex thermoelectric materials. Nat. Mater. 2008, 7, 101. [Google Scholar] [CrossRef] [PubMed]
- Yaakob, M.K.; Hussin, N.H.; Taib, M.F.M.; Kudin, T.I.T.; Hassan, O.H.; Ali, A.M.M.; Yahya, M.Z.A. First Principles LDA + U Calculations for ZnO Materials. Integr. Ferroelectr. 2014, 155, 15–22. [Google Scholar] [CrossRef]
- Mele, P.; Kamei, H.; Yasumune, H.; Matsumoto, K.; Miyazaki, K. Development of Thermoelectric Module Based on Dense Ca3Co4O9 and Zn0.98Al0.02O Legs. Met. Mater. Int. 2014, 20, 389–397. [Google Scholar] [CrossRef]
- Nolas, G.S.; Goldsmid, H.J. Thermal Conductivity: Theory, Properties and Applications; Kluwer Academic/Plenum: New York, NY, USA, 2004; p. 114. [Google Scholar]
- Zhu, L.; Hong, M.; Ho, G.W. Hierarchical Assembly of SnO2/ZnO Nanostructures for Enhanced Photocatalytic Performance. Sci. Rep. 2015, 5, 11609. [Google Scholar] [CrossRef] [PubMed] [Green Version]
- Lu, Z.; Zhou, Q.; Wang, C.; Wei, Z.; Xu, L.; Gui, Y. Electrospun ZnO–SnO2 Composite Nanofibers and Enhanced Sensing Properties to SF6 Decomposition Byproduct H2S. Front. Chem. 2018, 6, 540. [Google Scholar] [CrossRef] [PubMed] [Green Version]
- Kakefuda, Y.; Yubuta, K.; Shishido, T.; Yoshikawa, A.; Okada, S.; Ogino, H.; Kawamoto, N.; Baba, T.; Mori, T. Thermal conductivity of PrRh4.8B2, a layered boride compound. APL Mater. 2017, 5, 126103. [Google Scholar] [CrossRef]
- Piotrowski, M.; Franco, M.; Sousa, V.; Rodrigues, J.; Deepak, F.L.; Kakefuda, Y.; Baba, T.; Kawamoto, N.; Owens-Baird, B.; Alpuim, P.; et al. Probing of thermal transport in 50 nm Thick PbTe nanocrystal films by time-domain thermoreflectance. J. Phys. Chem. C 2018, 122, 27127–27134. [Google Scholar] [CrossRef] [Green Version]
- Daou, R.; Pawula, F.; Lebedev, O.; Berthebaud, D.; Hebert, S.; Maignan, A.; Kakefuda, Y.; Mori, T. Anisotropic thermal transport in magnetic intercalates FexTiS2. Phys. Rev. B 2019, 99, 085422. [Google Scholar]
- Baba, T. Analysis of One-dimensional Heat Diffusion after Light Pulse Heating by the Response Function Method. Jpn. J. Appl. Phys. 2009, 48, 05EB04. [Google Scholar] [CrossRef]










| Sample | Thickness [nm] | nH [cm−3] | μH [cm2/V·s] | σ [S/cm] | S [μV/K] | PF [μW/m·K2] | [W/m·K] | |||
|---|---|---|---|---|---|---|---|---|---|---|
| (300 K) | (300 K) | (353 K) | (573K) | (353 K) | (573K) | (353 K) | (573K) | (300 K) | ||
| AZO_0S | 595 | −7.812·1019 | 3.571 | 394.7 | 405.3 | −40.41 | −58.66 | 64.47 | 139.5 | 8.88 |
| AZO_1S | 505 | −1.671·1020 | 4.503 | 231.2 | 245.0 | −48.07 | −68.02 | 53.43 | 113.4 | - |
| AZO_2S | 300 | −1.061·1020 | 7.119 | 369.2 | 385.0 | −48.13 | −74.17 | 85.54 | 211.8 | 8.56 |
| AZO_4S | 295 | −5.865·1019 | 0.8606 | 59.63 | 80.23 | −68.57 | −95.73 | 28.03 | 70.70 | - |
| AZO_0A | 535 | −6.832·1019 | 2.576 | 547.8 | 561.4 | −23.38 | −29.61 | 29.94 | 49.21 | - |
| AZO_1A | 498 | −1.124·1020 | 6.345 | 229.8 | 247.7 | −47.66 | −71.72 | 52.19 | 127.4 | - |
| AZO_2A | 535 | −1.986·1020 | 125.1 | 301.4 | 307.6 | −49.00 | −71.87 | 72.38 | 158.9 | - |
| AZO_4A | 480 | −1.394·1020 | 2.143 | 123.7 | 155.4 | −44.06 | −67.45 | 24.01 | 70.70 | - |
Publisher’s Note: MDPI stays neutral with regard to jurisdictional claims in published maps and institutional affiliations. |
© 2021 by the authors. Licensee MDPI, Basel, Switzerland. This article is an open access article distributed under the terms and conditions of the Creative Commons Attribution (CC BY) license (https://creativecommons.org/licenses/by/4.0/).
Share and Cite
Latronico, G.; Singh, S.; Mele, P.; Darwish, A.; Sarkisov, S.; Pan, S.W.; Kawamura, Y.; Sekine, C.; Baba, T.; Mori, T.; et al. Synthesis and Characterization of Al- and SnO2-Doped ZnO Thermoelectric Thin Films. Materials 2021, 14, 6929. https://doi.org/10.3390/ma14226929
Latronico G, Singh S, Mele P, Darwish A, Sarkisov S, Pan SW, Kawamura Y, Sekine C, Baba T, Mori T, et al. Synthesis and Characterization of Al- and SnO2-Doped ZnO Thermoelectric Thin Films. Materials. 2021; 14(22):6929. https://doi.org/10.3390/ma14226929
Chicago/Turabian StyleLatronico, Giovanna, Saurabh Singh, Paolo Mele, Abdalla Darwish, Sergey Sarkisov, Sian Wei Pan, Yukihiro Kawamura, Chihiro Sekine, Takahiro Baba, Takao Mori, and et al. 2021. "Synthesis and Characterization of Al- and SnO2-Doped ZnO Thermoelectric Thin Films" Materials 14, no. 22: 6929. https://doi.org/10.3390/ma14226929
APA StyleLatronico, G., Singh, S., Mele, P., Darwish, A., Sarkisov, S., Pan, S. W., Kawamura, Y., Sekine, C., Baba, T., Mori, T., Takeuchi, T., Ichinose, A., & Wilson, S. (2021). Synthesis and Characterization of Al- and SnO2-Doped ZnO Thermoelectric Thin Films. Materials, 14(22), 6929. https://doi.org/10.3390/ma14226929

