Hygric Properties of Machine-Made, Historic Clay Bricks from North-Eastern Poland (Former East Prussia): Characterization and Specification for Replacement Materials
Abstract
:1. Introduction
2. Materials and Methods
2.1. Description of Materials
2.2. Description of Testing Methods
2.2.1. Compressive Strength and Freezing and Thawing Resistance
2.2.2. Mercury Intrusion Porosimetry (MIP)
2.2.3. X-ray Micro-Computed Tomography (Micro-CT)
2.2.4. Water Sorptivity
3. Results and Discussion
3.1. Sorptivity
3.2. Assessment of Frost Resistance
3.3. Porosity and Pore Size Distribution
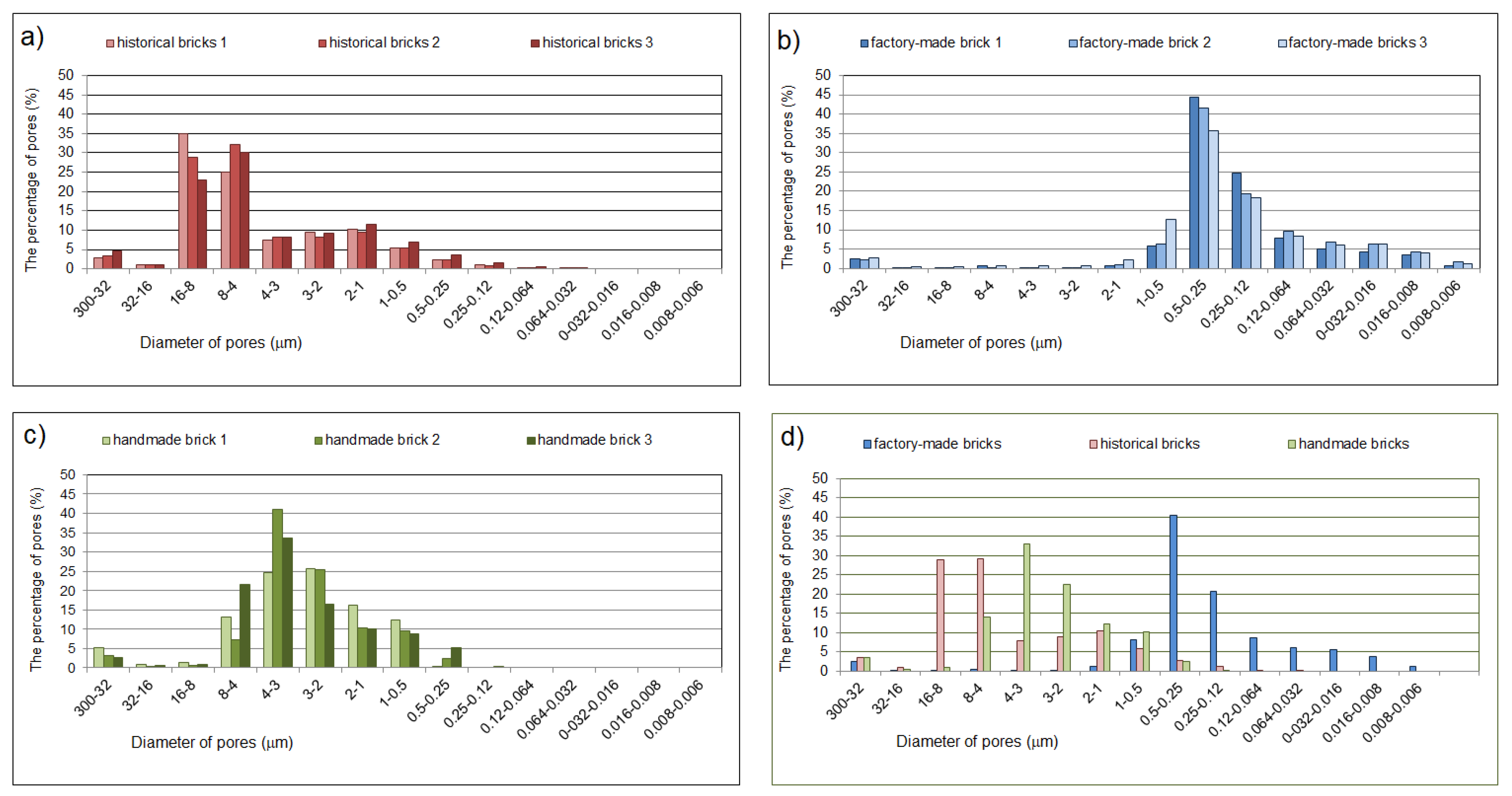
3.3.1. MIP Results
3.3.2. Micro-CT Measurement
4. Conclusions
- The distribution of porosity in factory-made bricks (mainly the lack of pores larger than 3 micrometers), indicates that these masonry elements cannot be used in renovating historic structures. However, despite the lack of frost resistance (in reference to the industry standard), the brick was still characterized by a high compressive strength of 37.0 MPa, even after 25 cycles of freezing and thawing.
- Almost all of the indicators related to pore distribution support the assumption that hand-formed bricks are appropriate for use in restoration, from the point of view of frost resistance.
- Despite similar porosity and density values, all the types of bricks studied had significant differences in pore structure, as confirmed by the median pore diameter values and sorptivity test results. The factory-made bricks had mainly narrow pores, which are responsible for slow but significant capillary action (resulting in frost damage). The apparent resistance of the historical bricks to freezing and thawing (observed on the basis of their pore distribution) may have been a result of changes in their microstructure and chemical composition over time, but certainly not from their original structure.
- The indicators used to predict frost resistance, including the Maage and Franke and Bantrup factors above all, satisfactorily determine ceramic materials’ resistance to freezing/thawing.
- All of the models presented above, for predicting frost resistance, gave a useful indicator. However, tests on real samples are still the most important.
- The sorptivity study indicated that capillary action in the handmade and historic bricks (although machine-made) were similar, which is crucial when considering water transport within an entire wall. However, the ability of historic bricks to pull water was much lower.
- The comprehensive strengths of the historic and hand-made bricks, before the freeze/thaw study, were very similar. However, the factory-made bricks were characterized by significantly higher comprehensive strength. Comprehensive strength after the freeze/thaw study could not be compared, due to the lack of test results for the historic bricks. However, it can be assumed that it would be similar to that of the handmade brick.
Author Contributions
Funding
Institutional Review Board Statement
Informed Consent Statement
Data Availability Statement
Acknowledgments
Conflicts of Interest
References
- Ng, W.; Chau, C.-K. New Life of the Building Materials- Recycle, Reuse and Recovery. Energy Procedia 2015, 75, 2884–2891. [Google Scholar] [CrossRef] [Green Version]
- Hughes, J. Ineducable us: The applications and contexts of microscopy used for the characterisation of historic building materials. RILEM Tech. Lett. 2017, 2, 136–144. [Google Scholar] [CrossRef] [Green Version]
- El-Midany, A.A.; Mahmoud, H.M. Mineralogical, physical and chemical characteristics of historic brick-made structures. Miner. Pet. 2015, 109, 733–739. [Google Scholar] [CrossRef]
- Elert, K.; Cultrone, G.; Navarro, C.R.; Pardo, E.S. Durability of bricks used in the conservation of historic buildings—Influence of composition and microstructure. J. Cult. Heritage 2003, 4, 91–99. [Google Scholar] [CrossRef]
- Ghiassi, B.; Lourenço, P.B. Lourenço, Long-term Performance and Durability of Masonry Structures: Degradation Mechanisms, Health Monitoring and Service Life Design; Elsevier Science & Technology: London, UK, 2018; ISBN 9780081021101. [Google Scholar]
- Koronthalyova, O. Moisture storage capacity and microstructure of ceramic brick and autoclaved aerated concrete. Constr. Build. Mater. 2011, 25, 879–885. [Google Scholar] [CrossRef]
- Guizzardi, M.; Derome, D.; Vonbank, R.; Carmeliet, J. Hygrothermal behavior of a massive wall with interior insulation during wetting. Build. Environ. 2015, 89, 59–71. [Google Scholar] [CrossRef]
- Roels, S.; Carmeliet, J.J.; Hens, H.; Adan, O.O.; Brocken, H.H.; Cerny, R.; Pavlik, Z.; Hall, C.; Kumaran, K.; Pel, L.L.; et al. Interlaboratory Comparison of Hygric Properties of Porous Building Materials. J. Therm. Envel. Build. Sci. 2004, 27, 307–325. [Google Scholar] [CrossRef]
- Pietrak, K.; Kubiś, M.; Cieślikiewicz, Ł.; Furmański, P.; Seredyński, M.; Wasik, M.; Wiśniewski, T.; Łapka, P. Measurement of thermal, hygric and physical properties of bricks and mortar common for the Polish market. IOP Conf. Ser. Mater. Sci. Eng. 2019, 660. [Google Scholar] [CrossRef]
- Oumeziane, Y.A.; Pierre, A.; El Mankibi, F.; Lepiller, V.; Gasnier, M.; Désévaux, P. Hygrothermal properties of an early 20th century clay brick from eastern France: Experimental characterization and numerical modelling. Constr. Build. Mater. 2020, 273, 121763. [Google Scholar] [CrossRef]
- Stryszewska, T.; Kańka, S. Forms of Damage of Bricks Subjected to Cyclic Freezing and Thawing in Actual Conditions. Materials 2019, 12, 1165. [Google Scholar] [CrossRef] [Green Version]
- Oti, J.; Kinuthia, J.; Bai, J. Freeze–thaw of stabilised clay brick. Proc. Inst. Civ. Eng.-Waste Resour. Manag. 2010, 163, 129–135. [Google Scholar] [CrossRef]
- Aljaberi, Z.; Gheni, A.; Myers, J.; ElGawady, M. Ability to resist different weathering actions of eco-friendly wood fiber masonry blocks. In Brick and Block Masonry, 1st ed.; CRC Press: Boca Raton, FL, USA, 2016; pp. 883–888. [Google Scholar] [CrossRef]
- Nieminen, P.; Romu, M. Porosity and Frost Resistance of Clay Bricks. In Proceedings of the 8th International Brick and Block Masonry Conference, Dublin, Ireland, 19–21 September 1988; Volume 1, pp. 103–109. Available online: http://www.hms.civil.uminho.pt/ibmac/1988/103.pdf (accessed on 21 May 2021).
- Maage, M. Frost resistance and pore size distribution in bricks. Mater. Struct. 1984, 17, 345–350. [Google Scholar] [CrossRef]
- Mallidi, S.R. Application of mercury intrusion porosimetry on clay bricks to assess freeze-thaw durability—A bibliography with abstracts. Constr. Build. Mater. 1996, 10, 461–465. [Google Scholar] [CrossRef]
- Koroth, S.R. Evaluation and Improvement of Frost Durability of Clay Bricks. Ph.D. Thesis, Concordia University, Montreal, QC, Canada, 1997. [Google Scholar]
- Ravaglioli, A. Evaluation of the frost resistance of pressed ceramic products based on the dimensional distribution of pores. Trans. J. Br. Ceram. Soc. 1976, 75, 92–95. Available online: https://pascal-francis.inist.fr/vibad/index.php?action=getRecordDetail&idt=PASCAL7760151449 (accessed on 16 February 2021).
- Robinson, G.C. The relationship between pore structure and durability of brick. Am. Ceram. Soc. Bull. 1984, 63, 295–300. [Google Scholar]
- Madso, F.E. Tegl SOM Byggemateriale, Fremstilling og Egenskaper; Mur-Sentret: Oslo, Norway, 1979. [Google Scholar]
- Nakamura, M. Automatic unidirectional freeze-thaw test for frost durability of building materials. Am. Ceram. Soc. Bull. 1988, 67, 1966–1968. [Google Scholar]
- Grubeša, I.N.; Vračević, M.; Ducman, V.; Marković, B.; Szenti, I.; Kukovecz, Á. Influence of the Size and Type of Pores on Brick Resistance to Freeze-Thaw Cycles. Materials 2020, 13, 3717. [Google Scholar] [CrossRef]
- Stryszewska, T.; Matysek, P.; Kańka, S.; Witkowski, M. The influence of water saturation on mechanical properties of ceramic bricks – tests on 19th- century and contemporary bricks. Mater. Constr. 2016, 66, e095. [Google Scholar] [CrossRef] [Green Version]
- Borusiewicz, W. Konserwacja Zabytków Budownictwa Murowanego; Arkady: Warsaw, Poland, 1985; ISBN 83-213-3240-4. [Google Scholar]
- Polak, K. Stratigraphic research of former garnison arrest at Bohaterów Monte Cassino Street 3 in Olsztynie (in Polish). 2015. Conservation Documentation.
- PN-B-12012:2007-Metody Badań Elementów Murowych–Określanie Odporności na Zamrażanie-Odmrażanie Elementów Murowych Ceramicznych. Available online: https://sklep.pkn.pl/pn-b-12012-2007p.html (accessed on 6 May 2021).
- PN-EN 771-1:2011-Wymagania Dotyczące Elementów Murowych–Część 1: Elementy murowe ceramiczne. Available online: https://sklep.pkn.pl/pn-en-771-1-2011p.html (accessed on 6 May 2021).
- PN-EN 772-1:2011-Metody Badań Elementów Murowych–Część 1: Określenie Wytrzymałości na ściskanie. Available online: https://sklep.pkn.pl/pn-en-772-1-2011p.html (accessed on 6 May 2021).
- Kung, J.H. Frost Durability of Canadian Clay Bricks. In Proceedings of the 7th International Brick Masonry Conference, Melbourne, Australia, 17–20 February 1985; pp. 245–251. Available online: https://scholar.google.com/scholar_lookup?title=Frost+Durability+of+Canadian+Clay+Bricks,+Proceedings+of+the+7th+International+Brick+Masonry+Conference,+Melbourne,+VI,+Australia,+17–20+February+1985&author=Kung,+J.H.&publication_year=1985 (accessed on 16 February 2021).
- Cultrone, G.; Sebastián, E.; Elert, K.; de la Torre, M.J.; Cazalla, O.; Rodriguez–Navarro, C. Influence of mineralogy and firing temperature on the porosity of bricks. J. Eur. Ceram. Soc. 2004, 24, 547–564. [Google Scholar] [CrossRef]
- Bossa, N.; Chaurand, P.; Vicente, J.; Borschneck, D.; Levard, C.; Aguerre-Chariol, O.; Rose, J. Micro- and nano-X-ray computed-tomography: A step forward in the characterization of the pore network of a leached cement paste. Cem. Concr. Res. 2015, 67, 138–147. [Google Scholar] [CrossRef]
- Chung, S.-Y.; Kim, J.-S.; Stephan, D.; Han, T.-S. Overview of the use of micro-computed tomography (micro-CT) to investigate the relation between the material characteristics and properties of cement-based materials. Constr. Build. Mater. 2019, 229, 116843. [Google Scholar] [CrossRef]
- Sikora, P.; Rucinska, T.; Stephan, D.; Chung, S.-Y.; Elrahman, M.A. Evaluating the effects of nanosilica on the material properties of lightweight and ultra-lightweight concrete using image-based approaches. Constr. Build. Mater. 2020, 264, 120241. [Google Scholar] [CrossRef]
- Chung, S.-Y.; Elrahman, M.A.; Kim, J.-S.; Han, T.-S.; Stephan, D.; Sikora, P. Comparison of lightweight aggregate and foamed concrete with the same density level using image-based characterizations. Constr. Build. Mater. 2019, 211, 988–999. [Google Scholar] [CrossRef]
- Anand, K.; Vasudevan, V.; Ramamurthy, K. Water permeability assessment of alternative masonry systems. Build. Environ. 2003, 38, 947–957. [Google Scholar] [CrossRef]
- Künzel, H.M.; Kiessl, K. Calculation of heat and moisture transfer in exposed building components. Int. J. Heat Mass Transf. 1996, 40, 159–167. [Google Scholar] [CrossRef]
- Gummerson, R.; Hall, C.; Hoff, W. Water movement in porous building materials—II. Hydraulic suction and sorptivity of brick and other masonry materials. Build. Environ. 1980, 15, 101–108. [Google Scholar] [CrossRef]
- Bracka, A.; Rusin, Z. Comparison of pore characteristics and water absorption in ceramic materials with frost resistance factor, Fc. Struct. Environ. 2012, 4, 15–19. [Google Scholar]
- Dondi, M.; Marsigli, M.; Venturi, I. Microstructure and mechanical properties of clay bricks: Comparison between fast firing and traditional firing. Br. Ceram. Trans. 1999, 98, 12–18. [Google Scholar] [CrossRef]
- Wolfenden, A.; Winslow, D.; Kilgour, C.; Crooks, R. Predicting the Durability of Bricks. J. Test. Evaluation. 1988, 16, 527. [Google Scholar] [CrossRef]
- Grubeša, I.N.; Marković, B.; Vračević, M.; Tunkiewicz, M.; Szenti, I.; Kukovecz, A. Pore Structure as a Response to the Freeze/Thaw Resistance of Mortars. Materials 2019, 12, 3196. [Google Scholar] [CrossRef] [Green Version]
- Tang, Y.; Shao, Z.; Xu, T. Pore structure of ancient Chinese bricks under environmental vicissitudes. KSCE J. Civ. Eng. 2015, 20, 1895–1902. [Google Scholar] [CrossRef]
- Raimondo, M.; Ceroni, C.; Dondi, M.; Guarini, G.; Marsigli, M.; Venturi, I.; Zanelli, C. Durability of clay roofing tiles: The influence of microstructural and compositional variables. J. Eur. Ceram. Soc. 2009, 29, 3121–3128. [Google Scholar] [CrossRef]







| Bricks Type/Property | Historic Bricks | Factory-Made Bricks | Handmade Bricks |
|---|---|---|---|
| 2.1445 | 0.7471 | 2.501 | |
| ] | 2.5256 | 0.6970 | 2.4697 |
| 2.0354 | 0.7215 | 2.0967 |
| Bricks Type/Property | Historical Bricks | Factory-Made Bricks | Handmade Bricks |
|---|---|---|---|
| Compressive strength (MPa) | 14.07 ± 2.51 | 44.04 ± 4.37 | 14.20 ± 3.87 |
| Compressive strength after exposure to freeze/thaw cycles (MPa) | - | 37.01 ± 5.88 | 11.84 ± 2.26 |
| The attitude of compressive strength after and before exposure to freeze/thaw cycles | - | 0.84 | 0.90 |
| Sample/Total Volume of Typical Pore Ranges | Historical Brick No. 1 | Historical Brick No. 2 | Historical Brick No. 3 | Average of Historical Bricks |
|---|---|---|---|---|
| Large-size pores-larger than 3.0 μm [%] | 75.14 | 71.47 | 73.53 | 73.38 |
| Medium-size pores-3.0 μm–0.1 μm [%] | 24.70 | 27.41 | 25.55 | 25.89 |
| Small-size pores-smaller than 0.1 μm [%] | 0.16 | 1.12 | 0.92 | 0.73 |
| Sample/Total Volume of Typical Pore Ranges | Factory-Made Brick No. 1 | Factory-Made Brick No. 2 | Factory-Made Brick No. 3 | Average of Factory-Made Bricks |
|---|---|---|---|---|
| Large-size pores-larger than 3.0 μm [%] | 4.12 | 3.85 | 6.14 | 4.70 |
| Medium-size pores-3.0 μm–0.1 μm [%] | 62.11 | 65.66 | 66.40 | 64.72 |
| Small-size pores-smaller than 0.1 μm [%] | 33.77 | 30.49 | 27.46 | 30.57 |
| Sample/Total Volume of Typical Pore Ranges | Handmade Brick No. 1 | Handmade Brick No. 2 | Handmade Brick No. 3 | Average of Handmade Bricks |
|---|---|---|---|---|
| Large-size pores-larger than 3.0 μm [%] | 90.11 | 52.35 | 59.42 | 67.29 |
| Medium-size pores-3.0 μm–0.1 μm [%] | 9.89 | 47.65 | 40.33 | 32.62 |
| Small-size pores-smaller than 0.1 μm [%] | 0.00 | 0.00 | 0.26 | 0.09 |
| Bricks Type/Property | Unit | Historical Bricks | Factory-Made Bricks | Handmade Bricks |
|---|---|---|---|---|
| Total Pore Area | (m²/g) | 0.3 | 8.14 | 0.42 |
| Median Pore Diameter (Volume) | (nm) | 6500.6 | 272.37 | 3057.7 |
| Bulk Density | (g/mL) | 1.81 | 1.83 | 1.56 |
| Porosity | (%) | 30.75 | 28.89 | 32.03 |
| Sample/Total Volume of Typical Pore Ranges | Annotation | Historical Brick No. 1 | Historical Brick No. 2 | Historical Brick No. 3 | Average | Classification Frost-Resistant FR/ Not Frost-Resistant NFR |
|---|---|---|---|---|---|---|
| Range from 1.0 to 10 μm [%] | [11] | 90,54 | 89,30 | 89.28 | 89.71 | FR |
| Range from 1.4 to 0.25 μm [%] | [18] | 16.09 | 17.92 | 17.31 | 17.11 | FR |
| Larger than 3.0 μm [%] | [15,22,30,40,41] | 75.14 | 71.47 | 73.53 | 73.38 | FR |
| Larger than 2.0 μm [%] | [19] | 83.75 | 80.96 | 81.77 | 82.16 | FR |
| Smaller than 1.4 μm [%] | [18] | 16.25 | 19.04 | 18.23 | 17.84 | FR |
| Smaller than 1.0 μm [%] | [19,42] | 11.01 | 13.13 | 12.88 | 12.34 | FR |
| Smaller than 0.5 μm [%] | [20] | 4.62 | 6.05 | 5.87 | 5.52 | FR |
| Maage factor | [15] | 180.45 | 171.63 | 176.56 | 176.21 | FR |
| Franke and Bantrup factor Ф50 [mm] | [43] | 7.08 | 7.03 | 6.25 | 6.79 | FR |
| Sample/Total Volume of Typical Pore Ranges | Annotation | Factory-Made Brick No. 1 | Factory-Made Brick No. 2 | Factory-Made Brick No. 3 | Average | Classification Frost-Resistant FR/ Not Frost-resistant NFR |
|---|---|---|---|---|---|---|
| Range from 1.0 to 10 μm [%] | [11] | 2.23 | 2.92 | 7.02 | 4.06 | NFR |
| Range from 1.4 to 0.25 μm [%] | [18] | 61.90 | 65.36 | 65.57 | 64.28 | NFR |
| Larger than 3.0 μm [%] | [15,22,30,40,41] | 4.12 | 3.85 | 6.14 | 4.70 | NFR |
| Larger than 2.0 μm [%] | [19] | 4.33 | 4.15 | 6.96 | 5.15 | NFR |
| Smaller than 1.4 μm [%] | [18] | 95.67 | 95.85 | 93.04 | 94.85 | NFR |
| Smaller than 1.0 μm [%] | [19,42] | 95.43 | 95.49 | 91.74 | 87.25 | NFR |
| Smaller than 0.5 μm [%] | [20] | 93.94 | 93.02 | 87.25 | 91.40 | NFR |
| Maage factor | [15] | 10.00 | 9.35 | 14.84 | 11.39 | NFR |
| Franke and Bantrup factor Ф50 [mm] | [43] | 0.27 | 0.26 | 0.29 | 0.27 | NFR |
| Sample/Total Volume of Typical Pore Ranges | Annotation | Handmade Brick No. 1 | Handmade Brick No. 2 | Handmade Brick No. 3 | Average | Classification Frost-Resistant FR/ Not Frost-Resistant NFR |
|---|---|---|---|---|---|---|
| Range from 1.0 to 10 μm [%] | [11] | 94.48 | 85.85 | 84.05 | 88.13 | FR |
| Range from 1.4 to 0.25 μm [%] | [18] | 0.27 | 22.24 | 23.94 | 15.48 | FR |
| Larger than 3.0 μm [%] | [15,22,30,40,41] | 90.11 | 52.35 | 59.42 | 67.29 | FR |
| Larger than 2.0 μm [%] | [19] | 99.73 | 77.76 | 75.80 | 84.43 | FR |
| Smaller than 1.4 μm [%] | [18] | 0.27 | 22.24 | 24.20 | 15.57 | FR |
| Smaller than 1.0 μm [%] | [19,42] | 0.23 | 16.15 | 18.72 | 11.70 | FR |
| Smaller than 0.5 μm [%] | [20] | 0.13 | 7.99 | 10.30 | 6.14 | FR |
| Maage factor | [15] | 216.40 | 125.71 | 142.69 | 161.59 | FR |
| Franke and Bantrup factor Ф50 [mm] | [43] | 3.80 | 3.03 | 3.25 | 3.36 | FR |
Publisher’s Note: MDPI stays neutral with regard to jurisdictional claims in published maps and institutional affiliations. |
© 2021 by the authors. Licensee MDPI, Basel, Switzerland. This article is an open access article distributed under the terms and conditions of the Creative Commons Attribution (CC BY) license (https://creativecommons.org/licenses/by/4.0/).
Share and Cite
Tunkiewicz, M.; Misiewicz, J.; Sikora, P.; Chung, S.-Y. Hygric Properties of Machine-Made, Historic Clay Bricks from North-Eastern Poland (Former East Prussia): Characterization and Specification for Replacement Materials. Materials 2021, 14, 6706. https://doi.org/10.3390/ma14216706
Tunkiewicz M, Misiewicz J, Sikora P, Chung S-Y. Hygric Properties of Machine-Made, Historic Clay Bricks from North-Eastern Poland (Former East Prussia): Characterization and Specification for Replacement Materials. Materials. 2021; 14(21):6706. https://doi.org/10.3390/ma14216706
Chicago/Turabian StyleTunkiewicz, Maria, Joanna Misiewicz, Pawel Sikora, and Sang-Yeop Chung. 2021. "Hygric Properties of Machine-Made, Historic Clay Bricks from North-Eastern Poland (Former East Prussia): Characterization and Specification for Replacement Materials" Materials 14, no. 21: 6706. https://doi.org/10.3390/ma14216706
APA StyleTunkiewicz, M., Misiewicz, J., Sikora, P., & Chung, S.-Y. (2021). Hygric Properties of Machine-Made, Historic Clay Bricks from North-Eastern Poland (Former East Prussia): Characterization and Specification for Replacement Materials. Materials, 14(21), 6706. https://doi.org/10.3390/ma14216706

