Critical Current and Pinning Features of a CaKFe4As4 Polycrystalline Sample
Abstract
1. Introduction
2. Materials and Methods
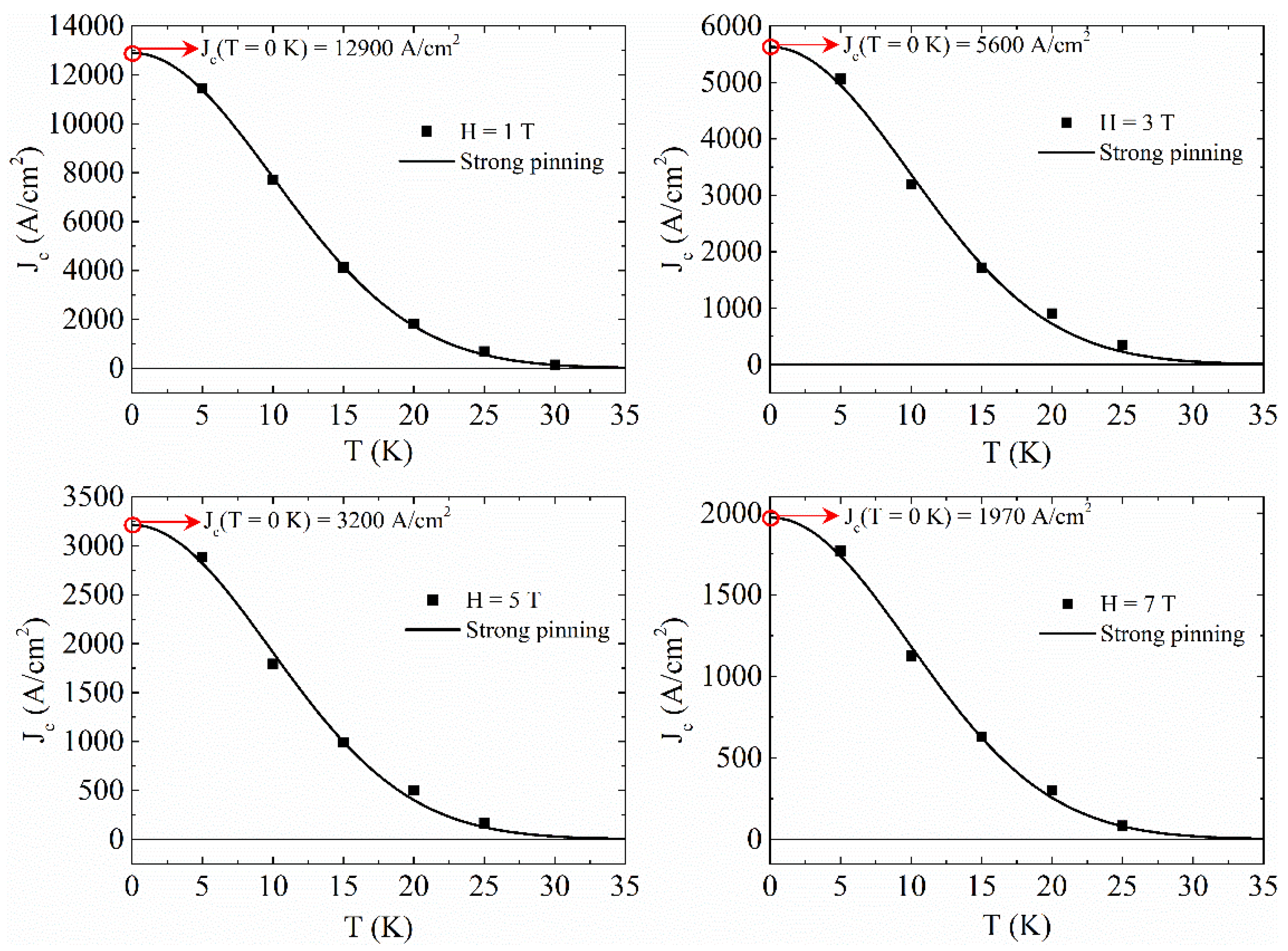
3. Results and Discussion
4. Conclusions
Author Contributions
Funding
Institutional Review Board Statement
Informed Consent Statement
Data Availability Statement
Conflicts of Interest
References
- Iyo, A.; Kawashima, K.; Kinjo, T.; Nishio, T.; Ishida, S.; Fujihisa, H.; Gotoh, Y.; Kihou, K.; Eisaki, H.; Yoshida, Y. New-Structure-Type Fe-Based Superconductors: CaAFe4As4 (A = K, Rb, Cs) and SrAFe4As4 (A = Rb, Cs). J. Am. Chem. Soc. 2016, 138, 3410–3415. [Google Scholar] [CrossRef] [PubMed]
- Yuan, H.Q.; Singleton, J.; Balakirev, F.F.; Baily, S.A.; Chen, G.F.; Luo, J.L.; Wang, N.L. Nearly isotropic superconductivity in (Ba,K)Fe2As2. Nature 2009, 457, 565–568. [Google Scholar] [CrossRef]
- Yamamoto, A.; Jaroszynski, J.; Tarantini, C.; Balicas, L.; Jiang, J.; Gurevich, A.; Larbalestier, D.C.; Jin, R.; Sefat, A.S.; Mcguire, M.A.; et al. Small anisotropy, weak thermal fluctuations, and high field superconductivity in Co-doped iron pnictide. Cit. Appl. Phys. Lett. 2009, 94, 062511. [Google Scholar] [CrossRef]
- Grimaldi, G.; Leo, A.; Martucciello, N.; Braccini, V.; Bellingeri, E.; Ferdeghini, C.; Galluzzi, A.; Polichetti, M.; Nigro, A.; Villegier, J.-C.; et al. Weak or Strong Anisotropy in Fe(Se,Te) Superconducting Thin Films Made of Layered Iron-Based Material? IEEE Trans. Appl. Supercond. 2019, 29, 1–4. [Google Scholar] [CrossRef]
- Leo, A.; Braccini, V.; Bellingeri, E.; Ferdeghini, C.; Galluzzi, A.; Polichetti, M.; Nigro, A.; Pace, S.; Grimaldi, G. Anisotropy effects on the quenching current of Fe(Se,Te) Thin Films. IEEE Trans. Appl. Supercond. 2018, 28, 8234633. [Google Scholar] [CrossRef]
- Galluzzi, A.; Buchkov, K.; Nazarova, E.; Tomov, V.; Grimaldi, G.; Leo, A.; Pace, S.; Polichetti, M. Transport properties and high upper critical field of a Fe(Se,Te) iron based superconductor. Eur. Phys. J. Spec. Top. 2019, 228, 725–731. [Google Scholar] [CrossRef]
- Hosono, H.; Yamamoto, A.; Hiramatsu, H.; Ma, Y. Recent advances in iron-based superconductors toward applications. Mater. Today 2018, 21, 278–302. [Google Scholar] [CrossRef]
- Galluzzi, A.; Buchkov, K.; Nazarova, E.; Leo, A.; Grimaldi, G.; Pace, S.; Polichetti, M. Silver doping effects on irreversibility field and pinning energy of a FeSe iron based superconductor. J. Phys. Conf. Ser. 2020, 1548, 012024. [Google Scholar] [CrossRef]
- Galluzzi, A.; Buchkov, K.M.; Nazarova, E.; Tomov, V.; Grimaldi, G.; Leo, A.; Pace, S.; Polichetti, M. Pinning energy and anisotropy properties of a Fe(Se,Te) iron based superconductor. Nanotechnology 2019, 30, 254001. [Google Scholar] [CrossRef] [PubMed]
- Galluzzi, A.; Buchkov, K.; Tomov, V.; Nazarova, E.; Kovacheva, D.; Leo, A.; Grimaldi, G.; Pace, S.; Polichetti, M. Mixed state properties of iron based Fe(Se,Te) superconductor fabricated by Bridgman and by self-flux methods. J. Appl. Phys. 2018, 123, 233904. [Google Scholar] [CrossRef]
- Rotter, M.; Tegel, M.; Johrendt, D. Superconductivity at 38 K in the iron arsenide (Ba1-xKx)Fe2As2. Phys. Rev. Lett. 2008, 101, 107006. [Google Scholar] [CrossRef]
- Yao, C.; Ma, Y. Recent breakthrough development in iron-based superconducting wires for practical applications. Supercond. Sci. Technol. 2019, 32, 023002. [Google Scholar] [CrossRef]
- Ishida, S.; Iyo, A.; Ogino, H.; Eisaki, H.; Takeshita, N.; Kawashima, K.; Yanagisawa, K.; Kobayashi, Y.; Kimoto, K.; Abe, H.; et al. Unique defect structure and advantageous vortex pinning properties in superconducting CaKFe4As4. npj Quantum Mater. 2019, 4, 27 . [Google Scholar] [CrossRef]
- Pyon, S.; Takahashi, A.; Veshchunov, I.; Tamegai, T.; Ishida, S.; Iyo, A.; Eisaki, H.; Imai, M.; Abe, H.; Terashima, T.; et al. Large and significantly anisotropic critical current density induced by planar defects in CaKFe4As4 single crystals. Phys. Rev. B 2019, 99, 104506. [Google Scholar] [CrossRef]
- Wang, C.; He, T.; Han, Q.; Fan, C.; Tang, Q.; Chen, D.; Lei, Q.; Sun, S.; Li, Y.; Yu, B. Novel sample-thickness-dependent flux pinning behaviors of KFe2As2 intercalations in CaKFe4As4 single crystals. Supercond. Sci. Technol. 2021, 34, 055001. [Google Scholar] [CrossRef]
- Masi, A.; Angrisani Armenio, A.; Celentano, G.; La Barbera, A.; Rufoloni, A.; Silva, E.; Vannozzi, A.; Varsano, F. Mechanochemically assisted low temperature synthesis route of the 1144 Ca-K Iron Based Superconductor. Supercond. Sci. Technol. 2020, 33, 74003. [Google Scholar] [CrossRef]
- Masi, A.; Angrisani Armenio, A.; Celentano, G.; La Barbera, A.; Rufoloni, A.; Silva, E.; Vannozzi, A.; Varsano, F. The role of chemical composition in the synthesis of Ca/K-1144 iron based superconductors. J. Alloys. Compd. 2021, 869, 159202. [Google Scholar] [CrossRef]
- Polichetti, M.; Galluzzi, A.; Buchkov, K.; Tomov, V.; Nazarova, E.; Leo, A.; Grimaldi, G.; Pace, S. A precursor mechanism triggering the second magnetization peak phenomenon in superconducting materials. Sci. Rep. 2021, 11, 7247. [Google Scholar] [CrossRef]
- Galluzzi, A.; Mancusi, D.; Cirillo, C.; Attanasio, C.; Pace, S.; Polichetti, M. Determination of the Transition Temperature of a Weak Ferromagnetic Thin Film by Means of an Evolution of the Method Based on the Arrott Plots. J. Supercond. Nov. Magn. 2018, 31, 1127–1132. [Google Scholar] [CrossRef]
- Galluzzi, A.; Buchkov, K.; Tomov, V.; Nazarova, E.; Leo, A.; Grimaldi, G.; Nigro, A.; Pace, S.; Polichetti, M. Second Magnetization Peak Effect in a Fe(Se,Te) iron based superconductor. J. Phys. Conf. Ser. 2019, 1226, 012012. [Google Scholar] [CrossRef]
- Meier, W.R.; Kong, T.; Bud’Ko, S.L.; Canfield, P.C. Optimization of the crystal growth of the superconductor CaKFe4As4 from solution in the FeAs-CaFe2As2-KFe2As2 system. Phys. Rev. Mater. 2017, 1, 013401. [Google Scholar] [CrossRef]
- Singh, S.J.; Bristow, M.; Meier, W.R.; Taylor, P.; Blundell, S.J.; Canfield, P.C.; Coldea, A.I. Ultrahigh critical current densities, the vortex phase diagram, and the effect of granularity of the stoichiometric high-Tc superconductor CaKFe4As4. Phys. Rev. Mater. 2018, 2, 74802. [Google Scholar] [CrossRef]
- Cimberle, M.R.; Canepa, F.; Ferretti, M.; Martinelli, A.; Palenzona, A.; Siri, A.S.; Tarantini, C.; Tropeano, M.; Ferdeghini, C. Magnetic characterization of undoped and 15%F-doped LaFeAsO and SmFeAsO compounds. J. Magn. Magn. Mater. 2009, 321, 3024–3030. [Google Scholar] [CrossRef][Green Version]
- Fiamozzi Zignani, C.; De Marzi, G.; Grimaldi, G.; Leo, A.; Guarino, A.; Vannozzi, A.; della Corte, A.; Pace, S. Fabrication and Physical Properties of Polycrystalline Iron-Chalcogenides Superconductors. IEEE Trans. Appl. Supercond. 2017, 27, 1–5. [Google Scholar] [CrossRef]
- Cheng, Z.; Liu, S.; Dong, C.; Huang, H.; Li, L.; Zhu, Y.; Awaji, S.; Ma, Y. Effects of core density and impurities on the critical current density of CaKFe4As4 superconducting tapes. Supercond. Sci. Technol. 2019, 32, 105014. [Google Scholar] [CrossRef]
- Pak, C.; Su, Y.F.; Collantes, Y.; Tarantini, C.; Hellstrom, E.E.; Larbalestier, D.C.; Kametani, F. Synthesis routes to eliminate oxide impurity segregation and their influence on intergrain connectivity in K-doped BaFe2As2 polycrystalline bulks. Supercond. Sci. Technol. 2020, 33, 084010. [Google Scholar] [CrossRef]
- Fiamozzi Zignani, C.; De Marzi, G.; Corato, V.; Mancini, A.; Vannozzi, A.; Rufoloni, A.; Leo, A.; Guarino, A.; Galluzzi, A.; Nigro, A.; et al. Improvements of high-field pinning properties of polycrystalline Fe(Se,Te) material by heat treatments. J. Mater. Sci. 2019, 54, 5092–5100. [Google Scholar] [CrossRef]
- Pyon, S.; Suwa, T.; Tamegai, T.; Takano, K.; Kajitani, H.; Koizumi, N.; Awaji, S.; Zhou, N.; Shi, Z. Improvements of fabrication processes and enhancement of critical current densities in (Ba,K)Fe2As2 HIP wires and tapes. Supercond. Sci. Technol. 2018, 31, 055016. [Google Scholar] [CrossRef]
- Dew-Hughes, D. Flux pinning mechanisms in type II superconductors. Philos. Mag. 1974, 30, 293–305. [Google Scholar] [CrossRef]
- Zhang, L.; Qiao, Q.; Xu, X.B.; Jiao, Y.L.; Xiao, L.; Ding, S.Y.; Wang, X.L. Surface barrier and bulk pinning in MTG YBaCuO. Phys. C Supercond. Appl. 2006, 445–448, 236–239. [Google Scholar] [CrossRef]
- Bean, C.P. Magnetization of hard superconductors. Phys. Rev. Lett. 1962, 8, 250–253. [Google Scholar] [CrossRef]
- Bean, C.P. Magnetization of High-Field Superconductors. Rev. Mod. Phys. 1964, 36, 31–39. [Google Scholar] [CrossRef]
- Singh, S.J.; Cassidy, S.J.; Bristow, M.; Blundell, S.J.; Clarke, S.J.; Coldea, A.I. Optimization of superconducting properties of the stoichiometric CaKFe4As4. Supercond. Sci. Technol. 2019, 33, 025003. [Google Scholar] [CrossRef]
- Griessen, R.; Hai-Hu, W.; Van Dalen, A.J.J.; Dam, B.; Rector, J.; Schnack, H.G.; Libbrecht, S.; Osquiguil, E.; Bruynseraede, Y. Evidence for mean free path fluctuation induced pinning in YBa2Cu3O7 and YBa2Cu4O8 films. Phys. Rev. Lett. 1994, 72, 1910–1913. [Google Scholar] [CrossRef]
- Savvides, N. Flux creep and transport critical current density in high-Tc superconductors. Phys. C Supercond. 1990, 165, 371–376. [Google Scholar] [CrossRef]
- Murakami, M.; Fujimoto, H.; Gotoh, S.; Yamaguchi, K.; Koshizuka, N.; Tanaka, S. Flux pinning due to nonsuperconducting particles in melt processed YBaCuO superconductors. Phys. C Supercond. 1991, 185–189, 321–326. [Google Scholar] [CrossRef]
- Yeshurun, Y.; Malozemoff, A.P. Giant flux creep and irreversibility in an Y-Ba-Cu-O crystal: An alternative to the superconducting-glass model. Phys. Rev. Lett. 1988, 60, 2202–2205. [Google Scholar] [CrossRef]
- Jackson, D.J.C.; Das, M.P. Melting of the flux line lattice. Supercond. Sci. Technol. 1996, 9, 713–727. [Google Scholar] [CrossRef]
- Yom, S.S.; Hahn, T.S.; Kim, Y.H.; Chu, H.; Choi, S.S. Exponential temperature dependence of the critical transport current in Y-Ba-Cu-O thin films. Appl. Phys. Lett. 1989, 54, 2370. [Google Scholar] [CrossRef]
- Hsiang, T.Y.; Finnemore, D.K. Superconducting critical currents for thick, clean superconductor—normal-metal—superconductor junctions. Phys. Rev. B 1980, 22, 154–163. [Google Scholar] [CrossRef]
- Blatter, G.; Feigel’Man, M.V.; Geshkenbein, V.B.; Larkin, A.I.; Vinokur, V.M. Vortices in high-temperature superconductors. Rev. Mod. Phys. 1994, 66, 1125–1388. [Google Scholar] [CrossRef]
- Polat, A.; Sinclair, J.W.; Zuev, Y.L.; Thompson, J.R.; Christen, D.K.; Cook, S.W.; Kumar, D.; Chen, Y.; Selvamanickam, V. Thickness dependence of magnetic relaxation and E-J characteristics in superconducting (Gd-Y)-Ba-Cu-O films with strong vortex pinning. Phys. Rev. B 2011, 84, 024519. [Google Scholar] [CrossRef]
- Plain, J.; Puig, T.; Sandiumenge, F.; Obradors, X.; Rabier, J. Microstructural influence on critical currents and irreversibility line in melt-textured YBa2Cu3O7−x reannealed at high oxygen pressure. Phys. Rev. B 2002, 65, 104526. [Google Scholar] [CrossRef]
- Nelson, D.R.; Vinokur, V.M. Boson localization and correlated pinning of superconducting vortex arrays. Phys. Rev. B 1993, 48, 13060–13097. [Google Scholar] [CrossRef]
- Hwa, T.; Le Doussal, P.; Nelson, D.R.; Vinokur, V.M. Flux pinning and forced vortex entanglement by splayed columnar defects. Phys. Rev. Lett. 1993, 71, 3545–3548. [Google Scholar] [CrossRef]
- LeBlanc, D.; LeBlanc, M.A.R. Ac-loss valley in type-II superconductors. Phys. Rev. B 1992, 45, 5443–5449. [Google Scholar] [CrossRef]
- Kim, Y.B.; Hempstead, C.F.; Strnad, A.R. Critical Persistent Currents in Hard Superconductors. Phys. Rev. Lett. 1962, 9, 306–309. [Google Scholar] [CrossRef]
- Kim, Y.B.; Hempstead, C.F.; Strnad, A.R. Magnetization and Critical Supercurrents. Phys. Rev. 1963, 129, 528–535. [Google Scholar] [CrossRef]
- Fietz, W.A.; Beasley, M.R.; Silcox, J.; Webb, W.W. Magnetization of Superconducting Nb-25%Zr Wire. Phys. Rev. 1964, 136, A335–A345. [Google Scholar] [CrossRef]
- Watson, J.H.P. Magnetization of synthetic filamentary superconductors. B. The dependence of the critical current density on temperature and magnetic field. J. Appl. Phys. 1968, 39, 3406–3413. [Google Scholar] [CrossRef]
- Xu, M.; Shi, D.; Fox, R.F. Generalized critical-state model for hard superconductors. Phys. Rev. B 1990, 42, 10773–10776. [Google Scholar] [CrossRef]
- Shabbir, B.; Wang, X.; Ghorbani, S.R.; Shekhar, C.; Dou, S.; Srivastava, O.N. Hydrostatic pressure: A very effective approach to significantly enhance critical current density in granular iron pnictide superconductors. Sci. Rep. 2015, 5, 8213. [Google Scholar] [CrossRef]
- Nazarova, E.; Balchev, N.; Nenkov, K.; Buchkov, K.; Kovacheva, D.; Zahariev, A.; Fuchs, G. Improvement of the superconducting properties of polycrystalline FeSe by silver addition. Supercond. Sci. Technol. 2015, 28, 125013. [Google Scholar] [CrossRef]
- Hilgenkamp, H.; Mannhart, J. Grain boundaries in high-Tc superconductors. Rev. Mod. Phys. 2002, 74, 485–549. [Google Scholar] [CrossRef]
- Dimos, D.; Chaudhari, P.; Mannhart, J. Superconducting transport properties of grain boundaries in YBa2Cu3O7 bicrystals. Phys. Rev. B 1990, 41, 4038–4049. [Google Scholar] [CrossRef]
- Katase, T.; Ishimaru, Y.; Tsukamoto, A.; Hiramatsu, H.; Kamiya, T.; Tanabe, K.; Hosono, H. Advantageous grain boundaries in iron pnictide superconductors. Nat. Commun. 2011, 2, 409. [Google Scholar] [CrossRef]
- Galluzzi, A.; Polichetti, M.; Buchkov, K.; Nazarova, E.; Mancusi, D.; Pace, S. Evaluation of the intragrain critical current density in a multidomain FeSe crystal by means of dc magnetic measurements. Supercond. Sci. Technol. 2015, 28, 115005. [Google Scholar] [CrossRef]







Publisher’s Note: MDPI stays neutral with regard to jurisdictional claims in published maps and institutional affiliations. |
© 2021 by the authors. Licensee MDPI, Basel, Switzerland. This article is an open access article distributed under the terms and conditions of the Creative Commons Attribution (CC BY) license (https://creativecommons.org/licenses/by/4.0/).
Share and Cite
Galluzzi, A.; Leo, A.; Masi, A.; Varsano, F.; Nigro, A.; Grimaldi, G.; Polichetti, M. Critical Current and Pinning Features of a CaKFe4As4 Polycrystalline Sample. Materials 2021, 14, 6611. https://doi.org/10.3390/ma14216611
Galluzzi A, Leo A, Masi A, Varsano F, Nigro A, Grimaldi G, Polichetti M. Critical Current and Pinning Features of a CaKFe4As4 Polycrystalline Sample. Materials. 2021; 14(21):6611. https://doi.org/10.3390/ma14216611
Chicago/Turabian StyleGalluzzi, Armando, Antonio Leo, Andrea Masi, Francesca Varsano, Angela Nigro, Gaia Grimaldi, and Massimiliano Polichetti. 2021. "Critical Current and Pinning Features of a CaKFe4As4 Polycrystalline Sample" Materials 14, no. 21: 6611. https://doi.org/10.3390/ma14216611
APA StyleGalluzzi, A., Leo, A., Masi, A., Varsano, F., Nigro, A., Grimaldi, G., & Polichetti, M. (2021). Critical Current and Pinning Features of a CaKFe4As4 Polycrystalline Sample. Materials, 14(21), 6611. https://doi.org/10.3390/ma14216611

