On the Origin of Plastic Deformation and Surface Evolution in Nano-Fretting: A Discrete Dislocation Plasticity Analysis
Abstract
1. Introduction
2. Methodology
2.1. Discrete Dislocation Plasticity Formulations
2.2. Sinusoidal Indentation Setup
2.3. Sliding and Fretting Setup
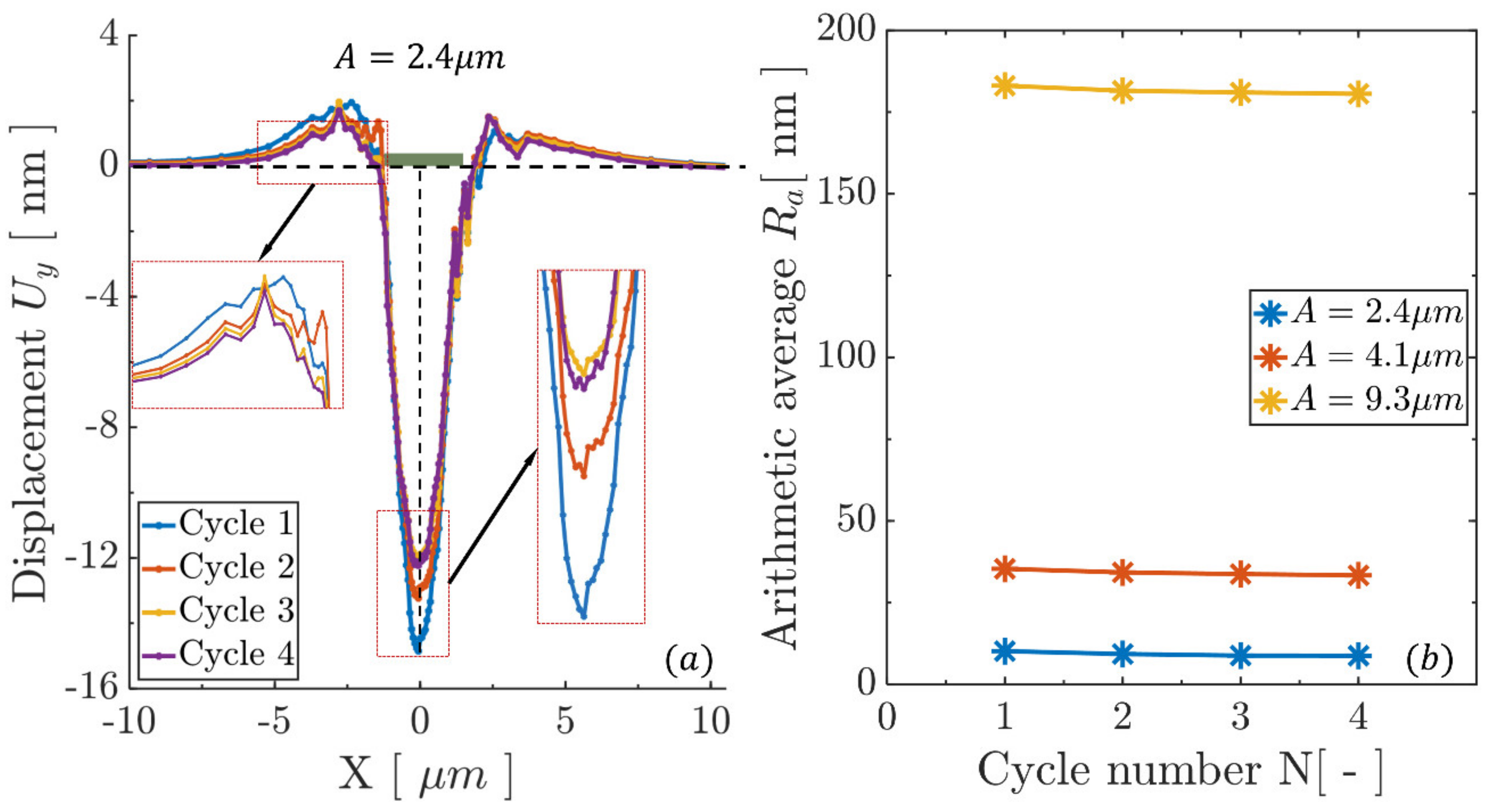
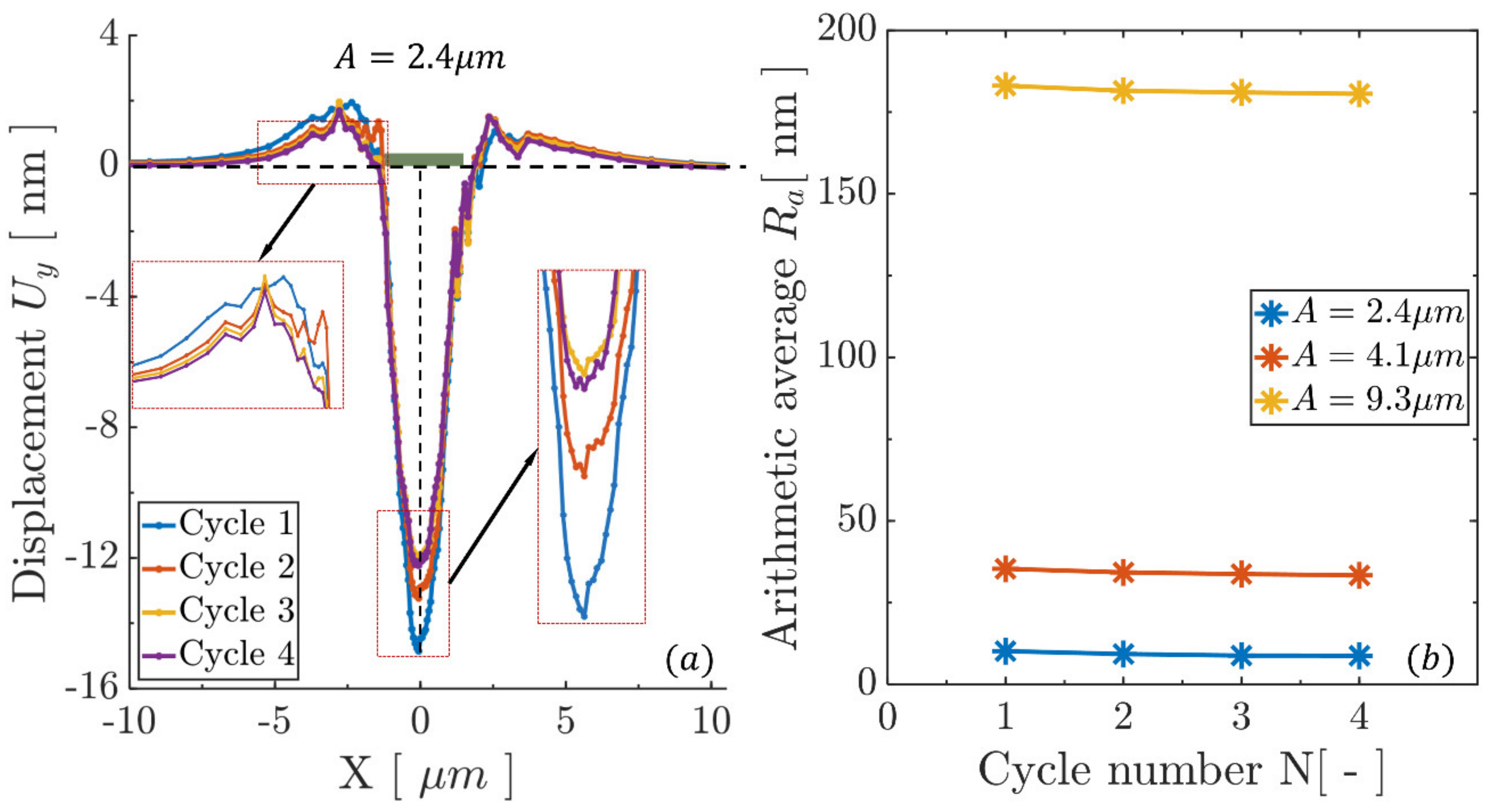
3. Surface Stress and Profile Evolution during Fretting
4. Contact Size Effect
5. Preceding Indentation Effect
6. Conclusions
- The average shear stress along the surface was reduced through dislocations gliding, while surface roughness was introduced and produced discontinuities at the contact interface. These phenomena both evolved during fretting cycles and tended to stabilise after a few cycles.
- For contact problems without preceding indentation, the evolution of the shear stress and roughness was shown to be more sensitive to contact size.
- For scenarios in which contact was established with preceding indentation, a large contact size was shown to lead to more severe dislocation accumulation at the contact edges, which in turn could be one of the possible precursors for driving fatigue crack initiation during nano-fretting. However, this needs to be considered together with other relaxation mechanisms, which could counteract the tendency to nucleate cracks at regions of large surface curvature generated by large GND density.
Author Contributions
Funding
Institutional Review Board Statement
Informed Consent Statement
Data Availability Statement
Acknowledgments
Conflicts of Interest
References
- Waterhouse, R.B. Fretting fatigue. Int. Mater. Rev. 1992, 37, 77–98. [Google Scholar] [CrossRef]
- Lindley, T. Fretting fatigue in engineering alloys. Int. J. Fatigue 1997, 19, 39–49. [Google Scholar] [CrossRef]
- Vakis, A.; Yastrebov, V.; Scheibert, J.; Nicola, L.; Dini, D.; Minfray, C.; Almqvist, A.; Paggi, M.; Lee, S.; Limbert, G.; et al. Modeling and simulation in tribology across scales: An overview. Tribol. Int. 2018, 125, 169–199. [Google Scholar] [CrossRef]
- Bhushan, B. Contact mechanics of rough surfaces in tribology: Multiple asperity contact. Tribol. Lett. 1998, 4, 1–35. [Google Scholar] [CrossRef]
- Nowell, D.; Dini, D.; Hills, D. Recent developments in the understanding of fretting fatigue. Eng. Fract. Mech. 2006, 73, 207–222. [Google Scholar] [CrossRef]
- Tripathi, P.; Ramkumar, J.; Balani, K. Microscratching and fretting of electro-co-deposited Cr-based composite coatings with BN, graphene, and diamond reinforcements. J. Mater. Sci. 2021, 56, 6148–6166. [Google Scholar] [CrossRef]
- Beake, B.D.; Harris, A.J.; Liskiewicz, T.W.; Wagner, J.; McMaster, S.J.; Goodes, S.R.; Neville, A.; Zhang, L. Friction and electrical contact resistance in reciprocating nano-scale wear testing of metallic materials. Wear 2021, 474–475, 203866. [Google Scholar] [CrossRef]
- Wavish, P.M.; Houghton, D.; Ding, J.; Leen, S.B.; Williams, E.J.; McColl, I.R. A multiaxial fretting fatigue test for spline coupling contact. Fatigue Fract. Eng. Mater. Struct. 2009, 32, 325–345. [Google Scholar] [CrossRef]
- Zhang, T.; Harrison, N.; McDonnell, P.; McHugh, P.; Leen, S. A finite element methodology for wear–fatigue analysis for modular hip implants. Tribol. Int. 2013, 65, 113–127. [Google Scholar] [CrossRef]
- Xu, Z.; Peng, J.; Liu, J.; Zhou, Y.; Liu, J.; Zhu, M. Investigation of fretting fatigue behavior and micro-structure evolution in LZ50 steel subjected to torsional load. Int. J. Fatigue 2019, 128, 105173. [Google Scholar] [CrossRef]
- Walvekar, A.A.; Leonard, B.D.; Sadeghi, F.; Jalalahmadi, B.; Bolander, N.W. An experimental study and fatigue damage model for fretting fatigue. Tribol. Int. 2014, 79, 183–196. [Google Scholar] [CrossRef]
- Liu, D.; Tang, B.; Zhu, X.; Chen, H.; He, J.; Celis, J.-P. Improvement of the fretting fatigue and fretting wear of Ti6Al4V by duplex surface modification. Surf. Coat. Technol. 1999, 116, 234–238. [Google Scholar] [CrossRef]
- Han, Q.-N.; Rui, S.-S.; Qiu, W.; Ma, X.; Su, Y.; Cui, H.; Zhang, H.; Shi, H. Crystal orientation effect on fretting fatigue induced geometrically necessary dislocation distribution in Ni-based single-crystal superalloys. Acta Mater. 2019, 179, 129–141. [Google Scholar] [CrossRef]
- Han, Q.; Lei, X.; Yang, H.; Yang, X.; Su, Z.; Rui, S.-S.; Wang, N.; Ma, X.; Cui, H.; Shi, H. Effects of temperature and load on fretting fatigue induced geometrically necessary dislocation distribution in titanium alloy. Mater. Sci. Eng. A 2021, 800, 140308. [Google Scholar] [CrossRef]
- Araújo, J. The effect of rapidly varying contact stress fields on fretting fatigue. Int. J. Fatigue 2002, 24, 763–775. [Google Scholar] [CrossRef]
- Goh, C.-H.; McDowell, D.; Neu, R.W. Plasticity in polycrystalline fretting fatigue contacts. J. Mech. Phys. Solids 2006, 54, 340–367. [Google Scholar] [CrossRef]
- Xu, Y.; Wan, W.; Dunne, F.P. Microstructural fracture mechanics: Stored energy density at fatigue cracks. J. Mech. Phys. Solids 2021, 146, 104209. [Google Scholar] [CrossRef]
- Beake, B.; Liskiewicz, T.; Smith, J. Deformation of Si(100) in spherical contacts—Comparison of nano-fretting and nano-scratch tests with nano-indentation. Surf. Coat. Technol. 2011, 206, 1921–1926. [Google Scholar] [CrossRef]
- Beake, B.; Liskiewicz, T. Comparison of nano-f’retting and nano-scratch tests on biomedical materials. Tribol. Int. 2013, 63, 123–131. [Google Scholar] [CrossRef]
- Wang, L.; Daniewicz, S.; Horstemeyer, M.; Sintay, S.; Rollett, A. Three-dimensional finite element analysis using crystal plasticity for a parameter study of fatigue crack incubation in a 7075 aluminum alloy. Int. J. Fatigue 2009, 31, 659–667. [Google Scholar] [CrossRef]
- Deshpande, V.; Needleman, A.; Van der Giessen, E. Discrete dislocation plasticity analysis of static friction. Acta Mater. 2004, 52, 3135–3149. [Google Scholar] [CrossRef]
- Laird, C.; Finney, J.; Kuhlmann-Wilsdorf, D. Dislocation behavior in fatigue VI: Variation in the localization of strain in persistent slip bands. Mater. Sci. Eng. 1981, 50, 127–136. [Google Scholar] [CrossRef]
- Zhang, M.; Neu, R.W.; McDowell, D. Microstructure-sensitive modeling: Application to fretting contacts. Int. J. Fatigue 2009, 31, 1397–1406. [Google Scholar] [CrossRef]
- McCarthy, O.; McGarry, J.; Leen, S. Micro-mechanical modelling of fretting fatigue crack initiation and wear in Ti–6Al–4V. Int. J. Fatigue 2014, 62, 180–193. [Google Scholar] [CrossRef]
- McCarthy, O.; McGarry, J.; Leen, S. The effect of grain orientation on fretting fatigue plasticity and life prediction. Tribol. Int. 2014, 76, 100–115. [Google Scholar] [CrossRef]
- McCarthy, O.; McGarry, J.; Leen, S. Microstructure-sensitive prediction and experimental validation of fretting fatigue. Wear 2013, 305, 100–114. [Google Scholar] [CrossRef]
- McCarthy, O.; McGarry, J.; Leen, S. A finite element study of microstructure-sensitive plasticity and crack nucleation in fretting. Comput. Mater. Sci. 2011, 50, 2439–2458. [Google Scholar] [CrossRef]
- Goh, C.-H.; McDowell, D.; Neu, R.W. Characteristics of plastic deformation field in polycrystalline fretting contacts. Int. J. Fatigue 2003, 25, 1047–1058. [Google Scholar] [CrossRef]
- Dunne, F. Fatigue crack nucleation: Mechanistic modelling across the length scales. Curr. Opin. Solid State Mater. Sci. 2014, 18, 170–179. [Google Scholar] [CrossRef]
- Lu, X.; Dunne, F.; Xu, Y. A crystal plasticity investigation of slip system interaction, GND density and stored energy in non-proportional fatigue in Nickel-based superalloy. Int. J. Fatigue 2020, 139, 105782. [Google Scholar] [CrossRef]
- Ma, L.; Korsunsky, A. Surface dislocation nucleation from frictional sliding contacts. Int. J. Solids Struct. 2008, 45, 5936–5945. [Google Scholar] [CrossRef]
- Tanaka, K.; Mura, T. A Dislocation Model for Fatigue Crack Initiation. J. Appl. Mech. 1981, 48, 97–103. [Google Scholar] [CrossRef]
- Deshpande, V.; Balint, D.; Needleman, A.; Van der Giessen, E. Size effects in single asperity frictional contacts. Model. Simul. Mater. Sci. Eng. 2006, 15, S97–S108. [Google Scholar] [CrossRef]
- Venugopalan, S.; Irani, N.; Nicola, L. Plastic contact of self-affine surfaces: Persson’s theory versus discrete dislocation plasticity. J. Mech. Phys. Solids 2019, 132, 103676. [Google Scholar] [CrossRef]
- Salehani, M.K.; Irani, N.; Nicola, L. Modeling adhesive contacts under mixed-mode loading. J. Mech. Phys. Solids 2019, 130, 320–329. [Google Scholar] [CrossRef]
- Irani, N.; Nicola, L. Modelling surface roughening during plastic deformation of metal crystals under contact shear loading. Mech. Mater. 2019, 132, 66–76. [Google Scholar] [CrossRef]
- Beckmann, N.; Romero, P.A.; Linsler, D.; Dienwiebel, M.; Stolz, U.; Moseler, M.; Gumbsch, P. Origins of Folding Instabilities on Polycrystalline Metal Surfaces. Phys. Rev. Appl. 2014, 2, 064004. [Google Scholar] [CrossRef]
- Lykins, C. Combined experimental–numerical investigation of fretting fatigue crack initiation. Int. J. Fatigue 2001, 23, 703–711. [Google Scholar] [CrossRef]
- Golden, P.J.; Hutson, A.; Sundaram, V.; Arps, J.H. Effect of surface treatments on fretting fatigue of Ti–6Al–4V. Int. J. Fatigue 2007, 29, 1302–1310. [Google Scholar] [CrossRef]
- Martín, V.; Vázquez, J.; Navarro, C.; Domínguez, J. Effect of shot peening residual stresses and surface roughness on fretting fatigue strength of Al 7075-T651. Tribol. Int. 2020, 142, 106004. [Google Scholar] [CrossRef]
- Van Der Giessen, E.; Needleman, A. Discrete dislocation plasticity: A simple planar model. Model. Simul. Mater. Sci. Eng. 1995, 3, 689–735. [Google Scholar] [CrossRef]
- Xu, Y.; Balint, D.; Dini, D. A method of coupling discrete dislocation plasticity to the crystal plasticity finite element method. Model. Simul. Mater. Sci. Eng. 2016, 24, 45007. [Google Scholar] [CrossRef]
- Balint, D.; Deshpande, V.; Needleman, A.; Van der Giessen, E. Discrete dislocation plasticity analysis of the grain size dependence of the flow strength of polycrystals. Int. J. Plast. 2008, 24, 2149–2172. [Google Scholar] [CrossRef]
- Lubarda, V.; Blume, J.; Needleman, A. An analysis of equilibrium dislocation distributions. Acta Metall. Mater. 1993, 41, 625–642. [Google Scholar] [CrossRef]
- Rice, J.R. Tensile crack tip fields in elastic-ideally plastic crystals. Mech. Mater. 1987, 6, 317–335. [Google Scholar] [CrossRef]
- Whittaker, M.; Evans, W. Effect of prestrain on the fatigue properties of Ti834. Int. J. Fatigue 2009, 31, 1751–1757. [Google Scholar] [CrossRef]
- Xu, Y.; Fox, K.; Rugg, D.; Dunne, F.P. Cyclic plasticity and thermomechanical alleviation in titanium alloys. Int. J. Plast. 2020, 134, 102753. [Google Scholar] [CrossRef]
- Shan, Z.W.; Mishra, R.K.; Asif, S.A.S.; Warren, O.L.; Minor, A.M. Mechanical annealing and source-limited deformation in submicrometre-diameter Ni crystals. Nat. Mater. 2007, 7, 115–119. [Google Scholar] [CrossRef]
- Widjaja, A.; Van der Giessen, E.; Needleman, A. Discrete dislocation modelling of submicron indentation. Mater. Sci. Eng. A 2005, 400–401, 456–459. [Google Scholar] [CrossRef]
- Widjaja, A.; Needleman, A.; Van Der Giessen, E. The effect of indenter shape on sub-micron indentation according to discrete dislocation plasticity. Model. Simul. Mater. Sci. Eng. 2006, 15, S121–S131. [Google Scholar] [CrossRef]
- Xu, Y.; Balint, D.; Dini, D. A new hardness formula incorporating the effect of source density on indentation response: A discrete dislocation plasticity analysis. Surf. Coat. Technol. 2019, 374, 763–773. [Google Scholar] [CrossRef]
- Bian, J.; Nicola, L. On the lubrication of rough copper surfaces with graphene. Tribol. Int. 2021, 156, 106837. [Google Scholar] [CrossRef]
- Xu, Y.; Ruebeling, F.; Balint, D.; Greiner, C.; Dini, D. On the origin of microstructural discontinuities in sliding contacts: A discrete dislocation plasticity analysis. Int. J. Plast. 2021, 138, 102942. [Google Scholar] [CrossRef]
- Le, K.C.; Tran, T.M. Thermodynamic dislocation theory: Bauschinger effect. Phys. Rev. E 2018, 97, 043002. [Google Scholar] [CrossRef] [PubMed]
- Song, H.; Deshpande, V.; Van Der Giessen, E. Discrete dislocation plasticity analysis of loading rate-dependent static friction. Proc. R. Soc. A Math. Phys. Eng. Sci. 2016, 472, 20150877. [Google Scholar] [CrossRef] [PubMed]
- Goh, C.-H.; Neu, R.W.; McDowell, D.L. Crystallographic plasticity in fretting of Ti–6AL–4V. Int. J. Plast. 2003, 19, 1627–1650. [Google Scholar] [CrossRef]
- Mayeur, J.R.; McDowell, D.L.; Neu, R.W. Crystal plasticity simulations of fretting of Ti-6Al-4V in partial slip regime considering effects of texture. Comput. Mater. Sci. 2008, 41, 356–365. [Google Scholar] [CrossRef]
- Fouvry, S.; Kapsa, P.; Vincent, L. An elastic–plastic shakedown analysis of fretting wear. Wear 2001, 247, 41–54. [Google Scholar] [CrossRef]
- Hinkle, A.R.; Nöhring, W.G.; Leute, R.; Junge, T.; Pastewka, L. The emergence of small-scale self-affine surface roughness from deformation. Sci. Adv. 2020, 6, eaax0847. [Google Scholar] [CrossRef] [PubMed]
- Tanaka, K.; Mura, T. A micromechanical theory of fatique crack initiation from notches. Mech. Mater. 1982, 1, 63–73. [Google Scholar] [CrossRef]
- Luan, B.; Robbins, M.O. The breakdown of continuum models for mechanical contacts. Nat. Cell Biol. 2005, 435, 929–932. [Google Scholar] [CrossRef] [PubMed]
- Ding, J.; Leen, S.; McColl, I. The effect of slip regime on fretting wear-induced stress evolution. Int. J. Fatigue 2004, 26, 521–531. [Google Scholar] [CrossRef]
- Flicek, R.; Hills, D.; Dini, D. Progress in the application of notch asymptotics to the understanding of complete contacts subject to fretting fatigue. Fatigue Fract. Eng. Mater. Struct. 2012, 36, 56–64. [Google Scholar] [CrossRef]
- Flicek, R.; Hills, D.; Barber, J.; Dini, D. Determination of the shakedown limit for large, discrete frictional systems. Eur. J. Mech. A/Solids 2015, 49, 242–250. [Google Scholar] [CrossRef]
- Flicek, R.; Hills, D.; Dini, D. Sharp edged contacts subject to fretting: A description of corner behaviour. Int. J. Fatigue 2015, 71, 26–34. [Google Scholar] [CrossRef][Green Version]
- Nowell, D.; Dini, D. Stress gradient effects in fretting fatigue. Tribol. Int. 2003, 36, 71–78. [Google Scholar] [CrossRef]
- Vázquez, J.; Navarro, C.; Domínguez, J. Experimental results in fretting fatigue with shot and laser peened Al 7075-T651 specimens. Int. J. Fatigue 2012, 40, 143–153. [Google Scholar] [CrossRef]
- Araújo, J.A.; Nowell, D. Analysis of pad size effects in fretting fatigue using short crack arrest methodologies. Int. J. Fatigue 1999, 21, 947–956. [Google Scholar] [CrossRef]
- Ding, J.; Houghton, D.; Williams, E.; Leen, S. Simple parameters to predict effect of surface damage on fretting fatigue. Int. J. Fatigue 2011, 33, 332–342. [Google Scholar] [CrossRef]
- Naidu, N.; Raman, S.G.S. Effect of contact pressure on fretting fatigue behaviour of Al–Mg–Si alloy AA6061. Int. J. Fatigue 2005, 27, 283–291. [Google Scholar] [CrossRef]
- Xu, Y.; Dini, D. Capturing the hardness of coating systems across the scales. Surf. Coatings Technol. 2020, 394, 125860. [Google Scholar] [CrossRef]
- Hegadekatte, V.; Kurzenhäuser, S.; Huber, N.; Kraft, O. A predictive modeling scheme for wear in tribometers. Tribol. Int. 2008, 41, 1020–1031. [Google Scholar] [CrossRef]
- Kucharski, S.; Stupkiewicz, S.; Petryk, H. Surface Pile-Up Patterns in Indentation Testing of Cu Single Crystals. Exp. Mech. 2014, 54, 957–969. [Google Scholar] [CrossRef]
- Hu, J.; Zhang, Y.; Sun, W.; Zhang, T. Nanoindentation-Induced Pile-Up in the Residual Impression of Crystalline Cu with Different Grain Size. Crystals 2017, 8, 9. [Google Scholar] [CrossRef]
- Zhang, L.; Huang, H.; Zhao, H.; Ma, Z.; Yang, Y.; Hu, X. The evolution of machining-induced surface of single-crystal FCC copper via nanoindentation. Nanoscale Res. Lett. 2013, 8, 211. [Google Scholar] [CrossRef] [PubMed]
- Eder, S.J.; Grützmacher, P.G.; Ripoll, M.R.; Dini, D.; Gachot, C. Effect of Temperature on the Deformation Behavior of Copper Nickel Alloys under Sliding. Materials 2020, 14, 60. [Google Scholar] [CrossRef] [PubMed]
- Oh, S.H.; Legros, M.; Kiener, D.; Dehm, G. In situ observation of dislocation nucleation and escape in a submicrometre aluminium single crystal. Nat. Mater. 2009, 8, 95–100. [Google Scholar] [CrossRef] [PubMed]







Publisher’s Note: MDPI stays neutral with regard to jurisdictional claims in published maps and institutional affiliations. |
© 2021 by the authors. Licensee MDPI, Basel, Switzerland. This article is an open access article distributed under the terms and conditions of the Creative Commons Attribution (CC BY) license (https://creativecommons.org/licenses/by/4.0/).
Share and Cite
Xu, Y.; Balint, D.S.; Dini, D. On the Origin of Plastic Deformation and Surface Evolution in Nano-Fretting: A Discrete Dislocation Plasticity Analysis. Materials 2021, 14, 6511. https://doi.org/10.3390/ma14216511
Xu Y, Balint DS, Dini D. On the Origin of Plastic Deformation and Surface Evolution in Nano-Fretting: A Discrete Dislocation Plasticity Analysis. Materials. 2021; 14(21):6511. https://doi.org/10.3390/ma14216511
Chicago/Turabian StyleXu, Yilun, Daniel S. Balint, and Daniele Dini. 2021. "On the Origin of Plastic Deformation and Surface Evolution in Nano-Fretting: A Discrete Dislocation Plasticity Analysis" Materials 14, no. 21: 6511. https://doi.org/10.3390/ma14216511
APA StyleXu, Y., Balint, D. S., & Dini, D. (2021). On the Origin of Plastic Deformation and Surface Evolution in Nano-Fretting: A Discrete Dislocation Plasticity Analysis. Materials, 14(21), 6511. https://doi.org/10.3390/ma14216511

