Temperature-Dependent Stimulated Emission Cross-Section in Nd3+:YLF Crystal
Abstract
1. Introduction
2. Materials and Methods
3. Results
3.1. Absorption and Decay Dynamics
3.2. Stimulated Emission Cross-Section
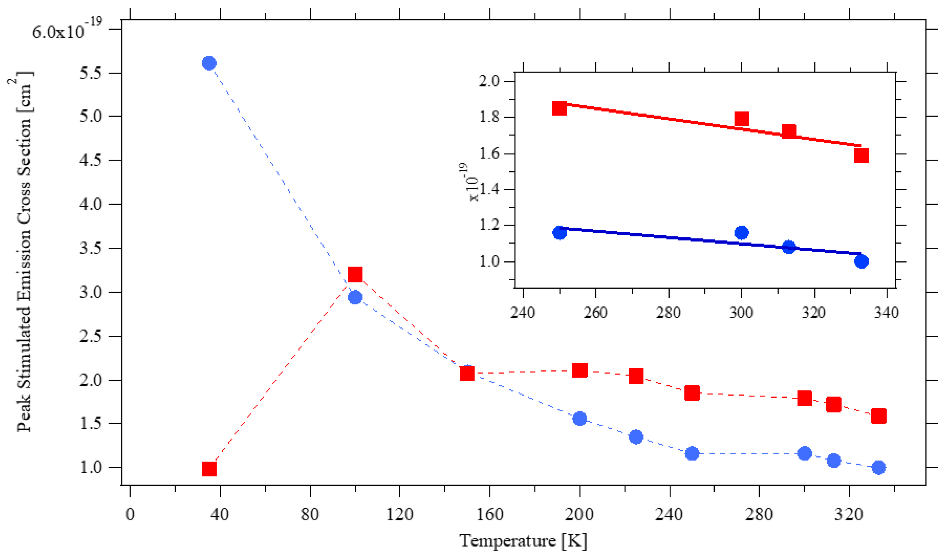
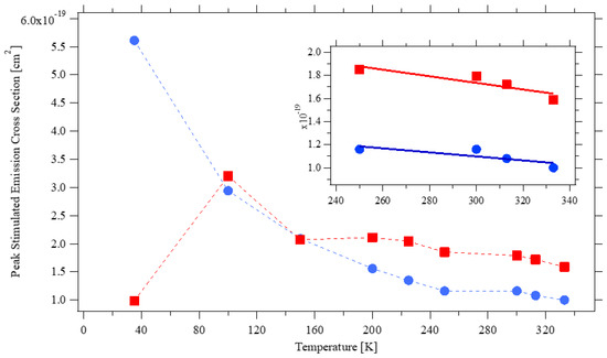
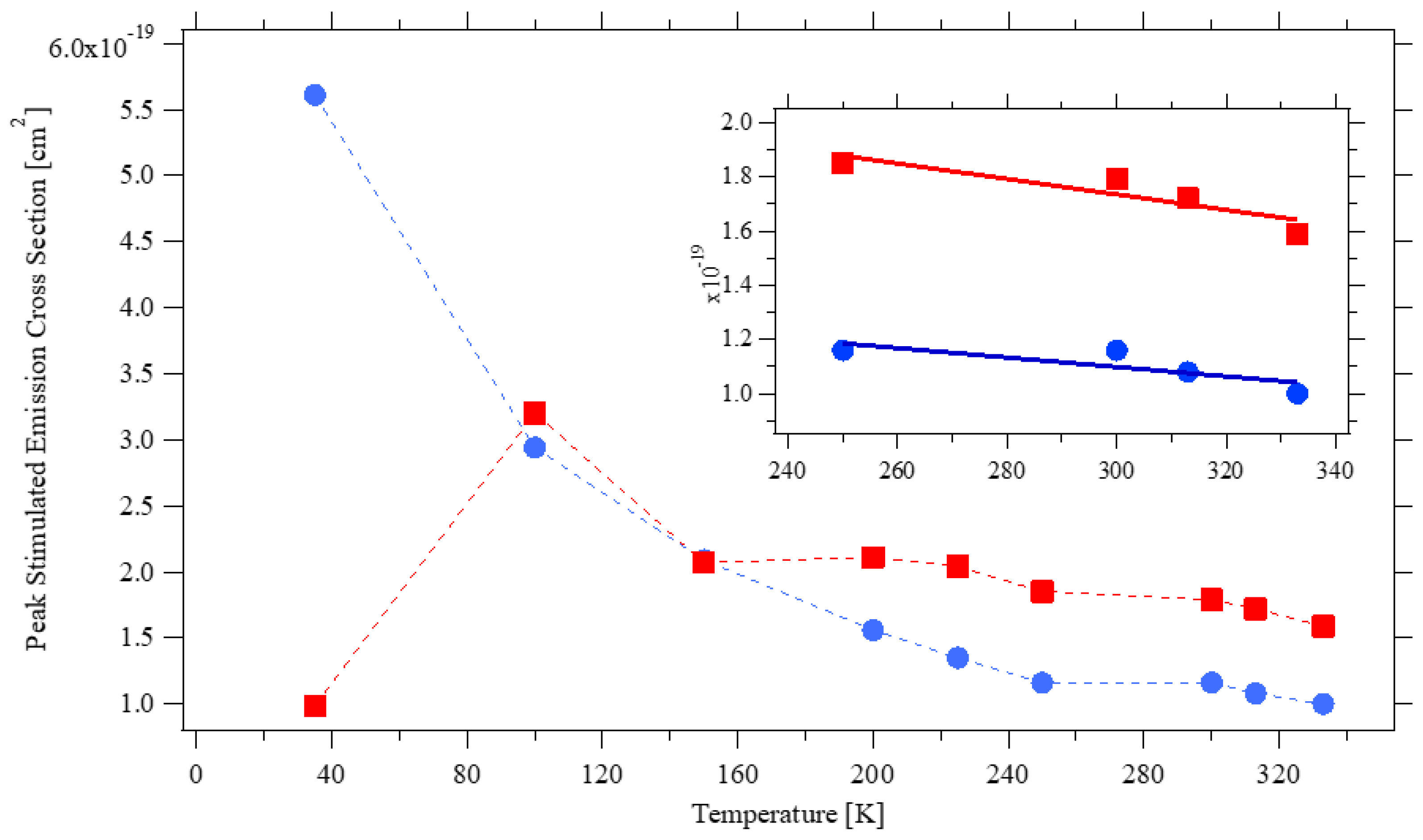
3.2.1. Decay to the 4I11/2 Level
3.2.2. Decay to the 4I13/2 Level
3.2.3. Decay to the 4I9/2 Level
4. Conclusions
Author Contributions
Funding
Institutional Review Board Statement
Informed Consent Statement
Data Availability Statement
Conflicts of Interest
References
- Pollak, T.M.; Wing, W.T.; Grasso, R.J.; Chicklis, E.P.; Jenssen, H.P. CW Laser Operation of Nd:YLF. IEEE J. Quantum Electron. 1982, 18, 159–163. [Google Scholar] [CrossRef]
- Fornasiero, L.; Kellner, T.; Kück, S.; Meyn, J.P.; Möbert, P.E.-A.; Huber, G. Excited state absorption and stimulated emission of Nd3+ in crystals III: LaSe3(BO3)4, CaWO4, and YLiF4. Appl. Phys. B Lasers Opt. 1999, 68, 62–72. [Google Scholar] [CrossRef]
- Kowalckyk, E.; Kowalckyk, Z.; Grasza, K.; Gala, M.; Lukasiewicz, T. LiYF4 (YLF) single crystal doped with rare-earth elements. In Proceedings of the Solid State Crystals: Materials Science and Applications, Zakopane, Poland, 23–27 October 1994; Volume 2373, pp. 59–63. [Google Scholar]
- Xu, S.; Gao, S. A new wavelength laser at 1370 nm generated by Nd:YLF crystal. Mater. Lett. 2016, 183, 451–453. [Google Scholar] [CrossRef]
- Sedaghati, Z.; Nadimi, M.; Major, A. Continuous-wave Nd:YLF laser diode-pumped at 908 nm. In Proceedings of the Solid State Lasers XXVIII: Technology and Devices, San Francisco, CA, USA, 2–7 February 2019; Volume 10896. [Google Scholar]
- Liang, W.; Zhang, X.H.; Liang, Z.L.; Liu, Y.Q.; Liang, Z. Efficient continuous-wave 908 nm Nd:YLF laser emission under direct 880 nm pumping. Laser Phys. 2011, 21, 320–322. [Google Scholar] [CrossRef]
- Li, C.L.; Zhang, X.H.; Liang, W.; Zhao, Z.M. Diode-pumped continuous-wave Nd:YLF laser at 1313 nm. Laser Phys. 2011, 21, 340–342. [Google Scholar] [CrossRef]
- Lü, Y.F.; Xia, J.; Zhang, X.H.; Zhang, A.F.; Wang, J.G.; Bao, L.; Yin, X.D. High-efficiency direct-pumped Nd:YLF laser operating at 1321 nm. Appl. Phys. B Lasers Opt. 2010, 98, 305–309. [Google Scholar] [CrossRef]
- Zhang, X.X.; Villaverde, A.B.; Bass, M.; Chai, B.H.T. Spectroscopy and laser performance of Nd doped gadolinium lithium fluoride. J. Appl. Phys. 1993, 74, 790–796. [Google Scholar] [CrossRef]
- Sardar, D.K.; Yow, R.M. Inter-Stark Energy Levels and Effects of Temperature on Sharp Emission Lines of Nd3+ in LiYF4. Phys. Status Solidi A 1999, 173, 521–534. [Google Scholar] [CrossRef]
- Chen, X.; Di Bartolo, B.; Barnes, N.P.; Walsh, B.M. Thermal tuning and broadening of the spectral lines of trivalent neodymium in laser crystals. Phys. Status Solidi B 2004, 241, 1957–1976. [Google Scholar] [CrossRef]
- Maldonado, E.P.; Vieira Junior, N.D. A simple method to determine the effective stimulated emission cross-section of laser media. Opt. Commun. 1995, 117, 102–106. [Google Scholar] [CrossRef]
- Ryan, J.R.; Beach, R. Optical absorption and stimulated emission of neodymium in yttrium lithium fluoride. J. Opt. Soc. Am. B 1992, 9, 1883–1887. [Google Scholar] [CrossRef]
- Harmer, A.L.; Linz, A.; Gabbe, D.R. Fluorescence of Nd3+ in lithium yttrium fluoride. J. Phys. Chem. Solids 1969, 30, 1483–1491. [Google Scholar] [CrossRef]
- Cho, C.Y.; Huang, T.L.; Wen, S.M.; Huang, Y.J.; Huang, K.F.; Chen, Y.F. Nd:YLF laser at cryogenic temperature with orthogonally polarized simultaneous emission at 1047 nm and 1053 nm. Opt. Express 2014, 22, 25318–25323. [Google Scholar] [CrossRef] [PubMed]
- Tkachuk, A.M. Comparative Characteristics of Laser Crystals: 1. Crystals Based on Compounds Doped with Neodymium Ions. Solid-State Spectrosc. 1995, 79, 817–823. [Google Scholar]
- Murray, J. Pulsed Gain and Thermal Lensing of Nd:LiYF4. IEEE J. Quantum Electron. 1983, 19, 488–491. [Google Scholar] [CrossRef]
- Shen, H. Thermal effects in a tetragonal Nd:YLF crystal laser. Chin. Sci. Bull. 1996, 41, 1711–1717. [Google Scholar]
- Yoon, S.J. Cryogenically-Cooled Neodymium-Doped Solid-State Lasers. Ph.D. Thesis, University of Southampton, Southampton, UK, 2016. [Google Scholar]
- Dong, J.; Rapaport, A.; Bass, M.; Szipocs, F.; Ueda, K. Temperature-dependent stimulated emission cross section and concentration quenching in highly doped Nd3+:YAG crystals. Phys. Status Solidi A 2005, 202, 2565–2573. [Google Scholar] [CrossRef]
- Loiko, P.; Yoon, S.J.; Serres, J.M.; Mateos, X.; Beecher, S.J.; Birch, R.B.; Savitski, V.G.; Kemp, A.J.; Yumashev, K.; Griebner, U.; et al. Temperature-dependent spectroscopy and microchip laser operation of Nd:KGd(WO4)2. Opt. Mater. 2016, 58, 365–372. [Google Scholar] [CrossRef]
- Koroshetz, J.; Brickeen, B.; Fahr, S.; Rapaport, A.; Bass, M. Athermal emission in Yb,Er:glass. Opt. Express 2007, 15, 11530–11535. [Google Scholar] [CrossRef]
- Turri, G.; Sudesh, V.; Richardson, M.; Bass, M.; Toncelli, A.; Tonelli, M. Temperature-dependent spectroscopic properties of Tm3+ in germanate, silica, and phosphate glasses: A comparative study. J. Appl. Phys. 2008, 103, 093104. [Google Scholar] [CrossRef]
- Aull, B.; Jenssen, H.P. Vibronic Interactions in Dn:YAG Resulting in Nonreciprocity of Absorption and Stimulated Emission Cross Sections. IEEE J. Quantum Electron. 1982, 18, 925–930. [Google Scholar] [CrossRef]
- Turri, G.; Jenssen, H.P.; Cornacchia, F.; Tonelli, M.; Bass, M. Temperature-dependent stimulated emission cross section in Nd3+:YVO4 crystals. J. Opt. Soc. Am. B 2009, 26, 2084–2088. [Google Scholar] [CrossRef]
- Chuang, T.; Verdún, H.R. Energy Transfer Up-Conversion and Excited State Absorption of Laser Radiation in Nd:YLF Laser Crystals. IEEE J. Quantum Electron. 1996, 32, 79–91. [Google Scholar] [CrossRef]
- Zuegel, J.D.; Seka, W. Direct measurements of 4I11/2 Terminal-Level Lifetime in Nd:YLF. IEEE J. Quantum Electron. 1995, 31, 1742–1746. [Google Scholar] [CrossRef]
- Payne, S.A.; Chase, L.L.; Smith, L.K.; Kway, W.L.; Krupke, W.F. Infrared cross-section measurements for crystals doped with Er3+, Tm3+ and Ho3+. IEEE J. Quantum Electron. 1992, 28, 2619–2630. [Google Scholar] [CrossRef]
- Zhang, J.; Liu, H.; Xia, J.; Fu, X. Orthogonally polarized dual-wavelength Nd:YLiF4 laser. Chin. Opt. Lett. 2015, 13, 031402–031407. [Google Scholar] [CrossRef]










Publisher’s Note: MDPI stays neutral with regard to jurisdictional claims in published maps and institutional affiliations. |
© 2021 by the authors. Licensee MDPI, Basel, Switzerland. This article is an open access article distributed under the terms and conditions of the Creative Commons Attribution (CC BY) license (http://creativecommons.org/licenses/by/4.0/).
Share and Cite
Turri, G.; Webster, S.; Bass, M.; Toncelli, A. Temperature-Dependent Stimulated Emission Cross-Section in Nd3+:YLF Crystal. Materials 2021, 14, 431. https://doi.org/10.3390/ma14020431
Turri G, Webster S, Bass M, Toncelli A. Temperature-Dependent Stimulated Emission Cross-Section in Nd3+:YLF Crystal. Materials. 2021; 14(2):431. https://doi.org/10.3390/ma14020431
Chicago/Turabian StyleTurri, Giorgio, Scott Webster, Michael Bass, and Alessandra Toncelli. 2021. "Temperature-Dependent Stimulated Emission Cross-Section in Nd3+:YLF Crystal" Materials 14, no. 2: 431. https://doi.org/10.3390/ma14020431
APA StyleTurri, G., Webster, S., Bass, M., & Toncelli, A. (2021). Temperature-Dependent Stimulated Emission Cross-Section in Nd3+:YLF Crystal. Materials, 14(2), 431. https://doi.org/10.3390/ma14020431

