Fabrication of Ring-Shaped Deposits of Polystyrene Microparticles Driven by Thermocapillary Mechanism
Abstract
:1. Introduction
2. Materials and Methods
2.1. Experimental Procedure
2.2. Calculation of Desired Areas
2.3. Error Estimation
3. Results and Discussion
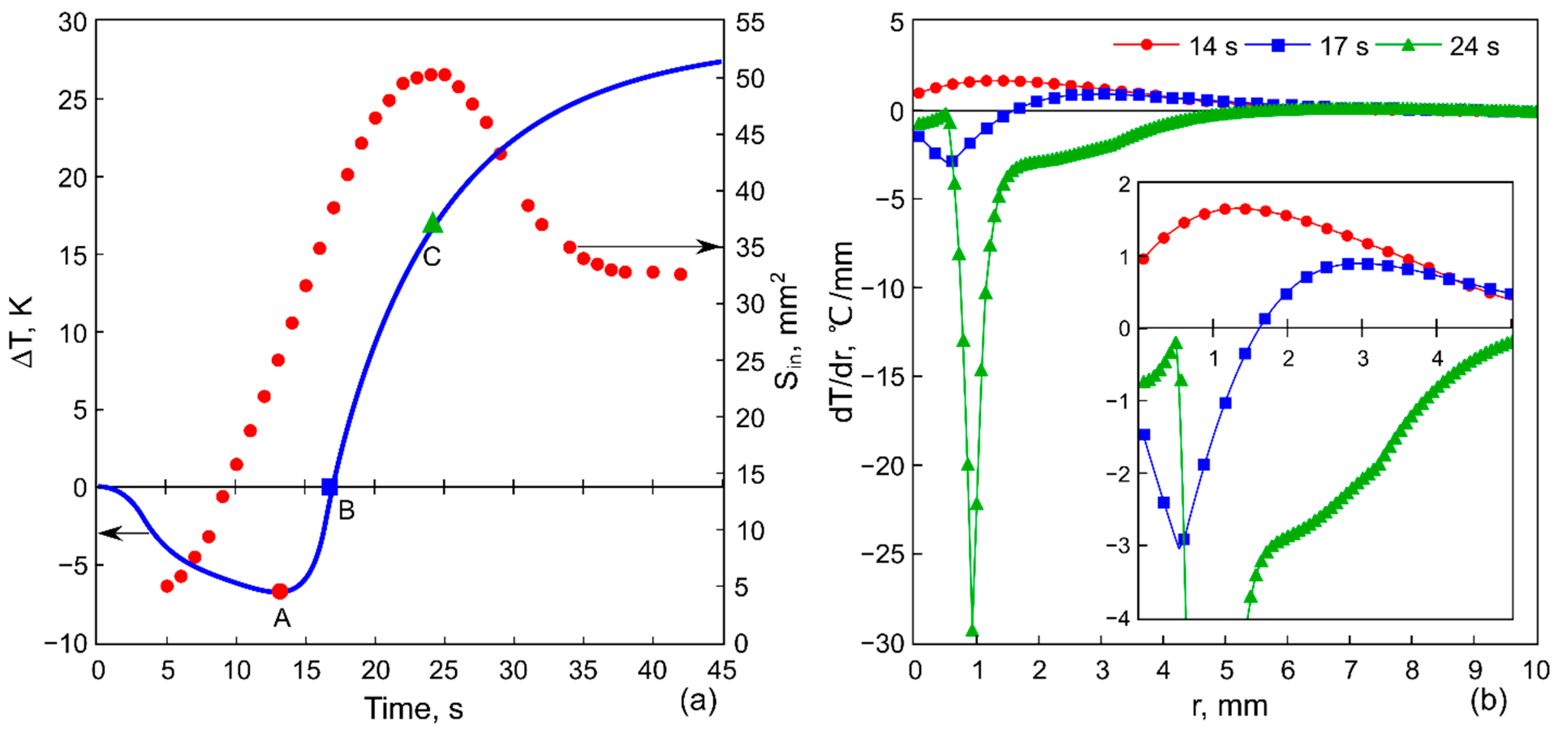
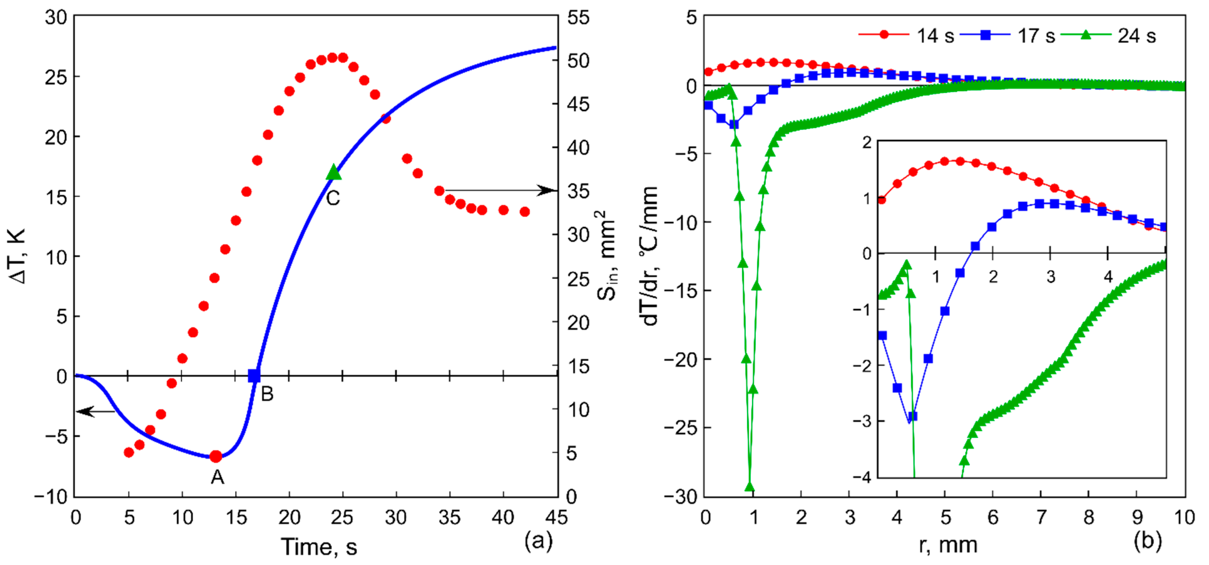
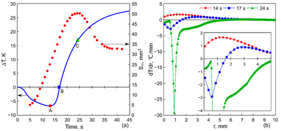
3.1. Mechanism of the Ring-Shaped Deposit Formation
3.2. Effects of the Cooling Power and the Cooling Time Spans on the Ring Deposit Size
3.3. Morphology of the Particles Assembly in the Ring Deposit
4. Conclusions
Author Contributions
Funding
Institutional Review Board Statement
Informed Consent Statement
Data Availability Statement
Conflicts of Interest
References
- Kolegov, K.S.; Barash, L.Y. Applying droplets and films in evaporative lithography. Adv. Colloid Interface Sci. 2020, 285, 102271. [Google Scholar] [CrossRef]
- Deegan, R.D.; Bakajin, O.; Dupont, T.F.; Huber, G.; Nagel, S.R.; Witten, T.A. Capillary flow as the cause of ring stains from dried liquid drops. Nature 1997, 389, 827–829. [Google Scholar] [CrossRef]
- Li, Y.; Lv, C.; Li, Z.; Quere, D.; Zheng, Q. From coffee rings to coffee eyes. Soft Matter 2015, 11, 4669–4673. [Google Scholar] [CrossRef]
- Malinowski, R.; Volpe, G.; Parkin, I.P.; Volpe, G. Dynamic control of particle deposition in evaporating droplets by an external point source of vapor. J. Phys. Chem. Lett. 2018, 9, 659–664. [Google Scholar] [CrossRef] [Green Version]
- Weon, B.M.; Je, J.H. Capillary force repels coffee-ring effect. Phys. Rev. E 2010, 82, 015305. [Google Scholar] [CrossRef] [Green Version]
- Yu, Y.-S.; Wang, M.-C.; Huang, X. Evaporative deposition of polystyrene microparticles on PDMS surface. Sci. Rep. 2017, 7, 14118. [Google Scholar] [CrossRef] [PubMed]
- Al-Muzaiqer, M.A.; Ivanova, N.A.; Fliagin, V.M.; Lebedev-Stepanov, P.V. Transport and assembling microparticles via Marangoni flows in heating and cooling modes. Colloid Surface A 2021, 621, 126550. [Google Scholar] [CrossRef]
- Lao, Z.; Zheng, Y.; Dai, Y.; Hu, Y.; Ni, J.; Ji, S.; Cai, Z.; Smith, Z.J.; Li, J.; Zhang, L.; et al. Nanogap plasmonic structures fabricated by switchable capillary-force driven self-assembly for localized sensing of anticancer medicines with microfluidic SERS. Adv. Funct. Mater. 2020, 30, 1909467. [Google Scholar] [CrossRef]
- Yang, W.; Cai, S.; Yuan, Z.; Lai, Y.; Yu, H.; Wang, Y.; Liu, L. Mask-free generation of multicellular 3D heterospheroids array for high-throughput combinatorial anti-cancer drug screening. Mater. Des. 2019, 183, 108182. [Google Scholar] [CrossRef]
- Mampallila, D.; Eral, H.B. A review on suppression and utilization of the coffee-ring effect. Adv. Colloid Interface Sci. 2018, 252, 38–54. [Google Scholar] [CrossRef] [PubMed]
- Blanco, A.; Chomski, E.; Grabtchak, S.; Ibisate, M.; John, S.; Leonard, S.W.; Lopez, C.; Meseguer, F.; Miguez, H.; Mondia, J.P.; et al. Large-scale synthesis of a silicon photonic crystal with a complete three-dimensional bandgap near 1.5 micrometers. Nature 2000, 405, 437440. [Google Scholar] [CrossRef]
- Vlasov, Y.A.; Bo, X.-Z.; Sturm, J.C.; Norris, D.J. On-chip natural assembly of silicon photonic bandgap crystals. Nature 2001, 414, 289–293. [Google Scholar] [CrossRef] [PubMed]
- Shimada, R.; Imada, A.; Koda, T.; Fujimura, T.; Edamatsu, K.; Itoh, T.; Ohtaka, K.; Takeda, J. Self-assembled polystyrene microparticle layers as two dimensional photonic crystals. Mol. Cryst. Liq. Cryst. 1999, 327, 95–98. [Google Scholar] [CrossRef]
- Kumnorkaew, P.; Ee, Y.-K.; Tansu, N.; Gilchrist, J.F. Investigation of the deposition of microsphere monolayers for fabrication of microlens arrays. Langmuir 2008, 24, 12150–12157. [Google Scholar] [CrossRef] [PubMed]
- Prevo, B.G.; Hon, E.W.; Velev, O.D. Assembly and characterization of colloid-based antireflective coatings on multicrystalline silicon solar cells. J. Mater. Chem. 2007, 17, 791–799. [Google Scholar] [CrossRef]
- Hatton, B.; Mishchenko, L.; Davis, S.; Sandhage, K.H.; Aizenberg, J. Assembly of large-area, highly ordered, crack-free inverse opal films. Proc. Natl. Acad. Sci. USA 2010, 107, 10354–10359. [Google Scholar] [CrossRef] [Green Version]
- Layani, M.; Gruchko, M.; Milo, O.; Balberg, I.; Azulay, D.; Magdassi, S. Transparent conductive coatings by printing coffee ring arrays obtained at room temperature. ACS Nano 2009, 3, 3537–3542. [Google Scholar] [CrossRef]
- Shimoni, A.; Azoubel, S.; Magdassi, S. Inkjet printing of flexible high-performance carbon nanotube transparent conductive films by “coffee ring effect”. Nanoscale 2014, 6, 11084–11089. [Google Scholar] [CrossRef]
- Nerger, B.A.; Brun, P.-T.; Nelson, C.M. Marangoni flows drive the alignment of fibrillar cell-laden hydrogels. Sci. Adv. 2020, 6, eaaz7748. [Google Scholar] [CrossRef] [PubMed]
- Zhanga, L.; Sun, L.; Zhang, Z.; Wang, Y.; Yang, Z.; Liu, C.; Li, Z.; Zhao, Y. Bioinspired superhydrophobic surface by hierarchically colloidal assembling of microparticles and colloidal nanoparticles. Chem. Eng. J. 2020, 394, 125008. [Google Scholar] [CrossRef]
- Wong, T.-S.; Chen, T.-H.; Shen, X.; Ho, C.-M. Nanochromatography driven by the coffee ring effect. Anal. Chem. 2011, 83, 1871–1873. [Google Scholar] [CrossRef]
- Zhang, J.; Wang, Z.; Wang, Z.; Zang, T.; Wei, L. In-fibre particle manipulation and device assembly via laser induced thermocapillary convection. Nat Commun. 2019, 10, 5206. [Google Scholar] [CrossRef] [PubMed]
- Tang, J.; Fan, Y.; Hu, J.; Liu, H. Fabrication of ordered lamellar polyacrylamide/P123 composite membranes via solvent-evaporation-induced self-assembly. J. Colloid Interface Sci. 2009, 331, 191–195. [Google Scholar] [CrossRef] [PubMed]
- Okeyoshi, K.; Yamashita, M.; Budpud, K.; Joshi, G.; Kaneko, T. Convective meniscus splitting of polysaccharide microparticles on various surfaces. Sci. Rep. 2021, 11, 767. [Google Scholar] [CrossRef]
- De Volder, M.; Tawfick, S.H.; Park, S.J.; Copic, D.; Zhao, Z.; Lu, W.; Hart, A.J. Diverse 3D microarchitectures made by capillary forming of carbon nanotubes. Adv. Mater. 2010, 22, 4384–4389. [Google Scholar] [CrossRef] [PubMed]
- Portela, C.M.; Vidyasagar, A.; Krödel, S.; Weissenbach, T.; Yee, D.W.; Greer, J.R.; Kochmann, D.M. Extreme mechanical resilience of self-assembled nanolabyrinthine materials. Proc. Natl. Acad. Sci. USA 2020, 117, 5686–5693. [Google Scholar] [CrossRef]









Publisher’s Note: MDPI stays neutral with regard to jurisdictional claims in published maps and institutional affiliations. |
© 2021 by the authors. Licensee MDPI, Basel, Switzerland. This article is an open access article distributed under the terms and conditions of the Creative Commons Attribution (CC BY) license (https://creativecommons.org/licenses/by/4.0/).
Share and Cite
Al-Muzaiqer, M.; Ivanova, N.; Klyuev, D. Fabrication of Ring-Shaped Deposits of Polystyrene Microparticles Driven by Thermocapillary Mechanism. Materials 2021, 14, 5267. https://doi.org/10.3390/ma14185267
Al-Muzaiqer M, Ivanova N, Klyuev D. Fabrication of Ring-Shaped Deposits of Polystyrene Microparticles Driven by Thermocapillary Mechanism. Materials. 2021; 14(18):5267. https://doi.org/10.3390/ma14185267
Chicago/Turabian StyleAl-Muzaiqer, Mohammed, Natalia Ivanova, and Denis Klyuev. 2021. "Fabrication of Ring-Shaped Deposits of Polystyrene Microparticles Driven by Thermocapillary Mechanism" Materials 14, no. 18: 5267. https://doi.org/10.3390/ma14185267
APA StyleAl-Muzaiqer, M., Ivanova, N., & Klyuev, D. (2021). Fabrication of Ring-Shaped Deposits of Polystyrene Microparticles Driven by Thermocapillary Mechanism. Materials, 14(18), 5267. https://doi.org/10.3390/ma14185267

