Molecular-Dynamics Study on the Impact Energy Release Characteristics of Fe–Al Energetic Jets
Abstract
:1. Introduction
2. Methods of Simulation
2.1. Experimental Design and Scheme
2.2. Molecular-Dynamics Simulation Method
3. Results and Discussion
3.1. Impact Reaction Product Composition
3.2. Evolution of Particle Microstructure
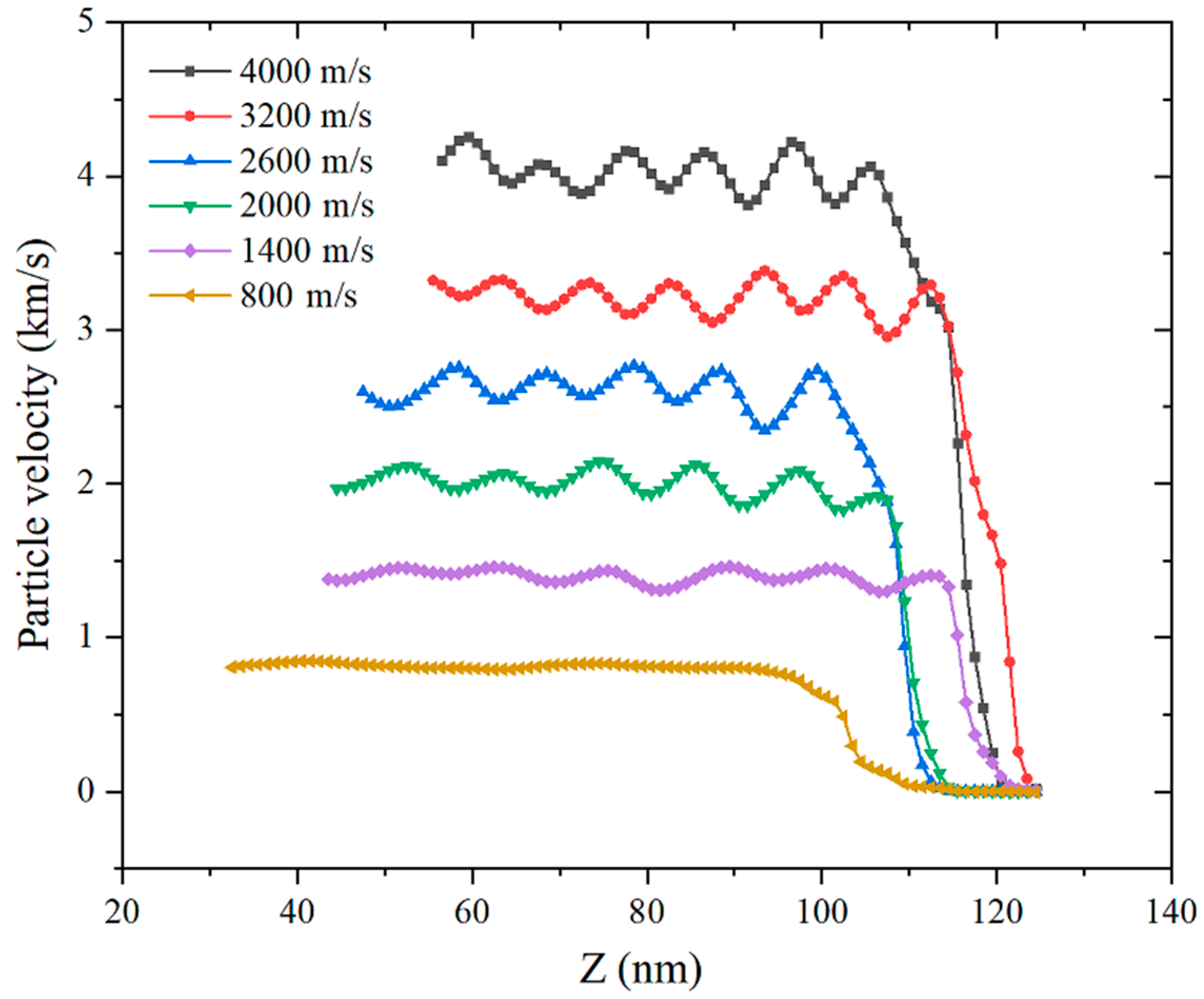
3.3. Impact Response
3.4. Thermal Effect
3.5. Analysis of Impact Energy-Release Mechanism
4. Conclusions
- (1)
- The reactivity of the Fe–Al energetic jet is related to the impact strength. As the impact strength increases, the energy release of the jet increases. There is an impact strength threshold, which makes the energy released by the jet reach the upper limit, and the maximum response rate is 95.3%.
- (2)
- When the high-temperature jet forms and does not touch the target plate, the Al and Fe particles are squeezed and deformed and atom penetration of different elements appears at the boundary, forming uneven local stress at the GPa level and a large number of lattice defects are generated at the same time.
- (3)
- The speed difference between Fe and Al atoms is formed at the shock wave front. High-speed Al atoms are ejected from the particles and pass through the Fe particles, causing part of the Fe atoms to peel off from the surface. The particles are refined and a new contact area is formed at the same time. The alternate recombination of the two kinds of atom creates conditions for impact-induced reactions.
- (4)
- When the impact strength is low, the temperature distribution along the Z-axis of the model remains a straight line, indicating that the particles in the impact area only repeat the same plastic deformation temperature rise due to impact compression. When the impact strength is high, the temperature distribution fluctuates violently, which indicates that the temperature of the system rises rapidly due to the exothermic reaction of the impact model, showing obvious SICR characteristics.
- (5)
- The mechanism of the Fe–Al energetic jet impact-induced reaction is as follows: Under low-impact strength, only Al particles become disordered and amorphous, which increases the contact area, and Al undergoes an oxidation reaction. By comparison, the Fe particles maintain the original BCC structure and are surrounded by molten Al particles, resulting in a small amount of intermetallic chemical reaction. With high-impact strength, Al particles and Fe particles are completely disordered and amorphized in a high temperature and high-pressure environment and fully mixed and penetrated. The temperature of the particles exceeds 1500K, which induces a violent thermite reaction.
Author Contributions
Funding
Institutional Review Board Statement
Data Availability Statement
Acknowledgments
Conflicts of Interest
References
- Wang, H.; Xie, J.; Ge, C.; Guo, H.-G.; Zheng, Y.-F. Experimental investigation on enhanced damage to fuel tanks by reactive projectiles impact. Def. Technol. 2020, 17, 599–608. [Google Scholar] [CrossRef]
- Cagle, C.; Hill, K.J.; Woodruff, C.; Pantoya, M.L.; Abraham, J.; Casey, M. Target penetration and impact analysis of intermetallic projectiles. Int. J. Impact Eng. 2019, 136, 103427. [Google Scholar] [CrossRef]
- Yuan, T. Study on Shock-Induced Chemical Reaction Characteristics of PTFE-Based Energetic Mayerials; Beijing Institue of Technology: Beijing, China, 2019. [Google Scholar]
- Wang, X. Study on Preparation and Performance of Fe/Al Reactive Material Liner; Beijing Institue of Technology: Beijing, China, 2016. [Google Scholar]
- Izadi, S.; Janghorban, K.; Akbari, G.H.; Ghfari, M.; Salahinejad, E. Effects of boron addition on mechanical alloying and ordering behaviors of Fe-Al-(B) alloy powders. J. Alloys Compd. 2010, 493, 645–648. [Google Scholar] [CrossRef]
- Kang, X.; Wang, J.; Chi, Y.; Ge, Y.; Tan, P.; Xu, Z. Research on the preoxidation performance of Fe3Al porous materials. Rare Met. Mater. Eng. 2012, 41, 822. [Google Scholar] [CrossRef]
- Du, Y.; Li, Q. Study on Energy Release Characteristics of Fe/Al Energetic Jet. Chin. J. Explos. Propellants 2018, 41, 594–598. [Google Scholar] [CrossRef]
- Baker, E.L.; Daniels, A.S.; Ng, K.W.; Martin, V.O.; Orosz, J.P. Barnie: A unitary demolition warhead. In Proceedings of the 19th International Symposium of Ballistics, Interlaken, Switzerland, 7–11 May 2011; pp. 57–69. [Google Scholar]
- Du, R. Study on Preparation of Fe/Alp Metal Composites; Huazhong University of Science and Technology: Wuhan, China, 2012. [Google Scholar]
- Airiskallio, E.; Nurmi, E.; Heinonen, M.H.; Väyrynen, I.J.; Kokko, K.; Ropo, M.; Punkkinen, M.; Pitkänen, H.; Alatalo, M.; Kollár, J.; et al. High temperature oxidation of Fe–Al and Fe–Cr–Al alloys: The role of Cr as a chemically active element. Corros. Sci. 2010, 52, 3394–3404. [Google Scholar] [CrossRef]
- Wang, Y.; Jiang, W.; Zhang, X.F.; Cheng, Z.P.; An, C.W.; Guo, X.D.; Li, F.S. Preparation and characterization of composite with micron Al coating in nanometer Fe particles. J. Funct. Mater. 2004, 11, 1900–1902. [Google Scholar]
- Wang, X.Y.; Wang, Y.W.; Wang, Z.C.; Jiang, C.L.; Li, Q. Effect of composition and sintering temperature on reaction heat of Fe-Al reactive material. Rare Met. Mater. Eng. 2017, 46, 3043–3047. [Google Scholar]
- Andryushchehko, V.A.; Bavol, O.V.; Khvatov, T.; Garan, A.C.; Mekhed, O.A. Impact of pulse laser action on surface of samples of fe-al-c alloys containing diamond crystals. Metallofiz. I Noveišhie Tekhnologii 2010, 32, 883–888. [Google Scholar]
- Zamanzade, M.; Hasemann, G.; Motz, C.; Krüger, M.; Barnoush, A. Vacancy effects on the mechanical behavior of B2-FeAl intermetallics. Mater. Sci. Eng. A 2017, 712, 88–96. [Google Scholar] [CrossRef]
- Guo, Y. Molecular Dynamics of the Phase Transition in Single-Crystal Al-Fe Induced by High-Pressure; Shanxi University: Taiyuan, China, 2013. [Google Scholar]
- Wang, K.; Xiao, S.; Deng, H.; Zhu, W.; Hu, W. An atomic study on the shock-induced plasticity and phase transition for iron-based single crystals. Int. J. Plast. 2014, 59, 180–198. [Google Scholar] [CrossRef]
- Yang, J.; Hu, W.; Tang, J. Effect of incident energy on the configuration of fe–al nanoparticles, a molecular dynamics simulation of impact deposition. RSC Adv. 2013, 4, 2155–2160. [Google Scholar] [CrossRef]
- Lu, Z.; Zhu, W.; Lu, T.; Wang, W. Does the fcc phase exist in the Fe bcc-hcp transition? A conclusion from first-principles studies. Model. Simul. Mater. Sci. Eng. 2014, 22, 025007. [Google Scholar] [CrossRef]
- Huang, Y. An Atomistic Study on Shock-Compression Response in Iron-Based Single Crystal Iron with Dislocations; Hunan University: Changsha, China, 2019. [Google Scholar]
- Gunkelmann, N.; Bringa, E.M.; Kang, K.; Ackland, G.J.; Ruestes, C.J.; Urbassek, H.M. Polycrystalline iron under compression: Plasticity and phase transitions. Phys. Rev. B 2012, 86, 144111. [Google Scholar] [CrossRef]
- Li, Q.; Du, Y. Experimental Study on the Energy-Release Characteristics of Fine-Grained Fe/Al Energetic Jets under Impact Loading. Materials 2019, 12, 3317. [Google Scholar] [CrossRef] [PubMed] [Green Version]
- Lee, E.; Lee, B. Modified embedded-atom method interatomic potential for the Fe-Al system. J. Phys. Condens. Matter. 2010, 22, 175702:1–175702:9. [Google Scholar] [CrossRef] [PubMed]
- Xiong, Y. Molecular Dymamic Simulation of Shock-Compression Response of Ni+Al Nanopowders; Hunan University: Changsha, China, 2013. [Google Scholar]
- Li, Q.; Du, Y. Study of the Impact Energy Release Characteristics of Fine-Grained Fe-Al Energetic Jets. Propellants Explos. Pyrotech. 2019, 45, 445–452. [Google Scholar] [CrossRef]
- Gorji, N.E.; O’Connor, R.; Brabazon, D. XPS, XRD, and SEM characterization of the virgin and recycled metallic powders for 3D printing applications. IOP Conf. Ser. Mater. Sci. Eng. 2019, 591, 012016. [Google Scholar] [CrossRef] [Green Version]
- Siva, A.V.S.; Prasad Sumit, B. Numerical modeling of shock-induced chemical reactions (SICR) in reactive power mixtures using smoothed particle hydrodynamics (SPH). Model. Simul. Mater. Sci. Eng. 2015, 23, 075005. [Google Scholar] [CrossRef]




















Publisher’s Note: MDPI stays neutral with regard to jurisdictional claims in published maps and institutional affiliations. |
© 2021 by the authors. Licensee MDPI, Basel, Switzerland. This article is an open access article distributed under the terms and conditions of the Creative Commons Attribution (CC BY) license (https://creativecommons.org/licenses/by/4.0/).
Share and Cite
Li, Q.; Jiang, C.; Du, Y. Molecular-Dynamics Study on the Impact Energy Release Characteristics of Fe–Al Energetic Jets. Materials 2021, 14, 5249. https://doi.org/10.3390/ma14185249
Li Q, Jiang C, Du Y. Molecular-Dynamics Study on the Impact Energy Release Characteristics of Fe–Al Energetic Jets. Materials. 2021; 14(18):5249. https://doi.org/10.3390/ma14185249
Chicago/Turabian StyleLi, Qiang, Chunlan Jiang, and Ye Du. 2021. "Molecular-Dynamics Study on the Impact Energy Release Characteristics of Fe–Al Energetic Jets" Materials 14, no. 18: 5249. https://doi.org/10.3390/ma14185249
APA StyleLi, Q., Jiang, C., & Du, Y. (2021). Molecular-Dynamics Study on the Impact Energy Release Characteristics of Fe–Al Energetic Jets. Materials, 14(18), 5249. https://doi.org/10.3390/ma14185249

