Theoretical and Experimental Investigation of Warpage Evolution of Flip Chip Package on Packaging during Fabrication
Abstract
:1. Introduction
2. Structure and Fabrication Process of FCPoP
3. Theoretical Models
3.1. Linear Viscoelasticity
3.2. Linear Elastic Mechanics
4. Numerical Modeling and Material Characterization
4.1. Effective Modeling
4.1.1. The Proposed Effective Method
4.1.2. The ROM/Analytical Estimate
4.1.3. The FEA-Based Effective Approach
4.2. Process Modeling
5. Results and Discussion
5.1. Characterization of EMC Viscoelastic Properties
5.2. Verification of the Effective Models
5.3. Thermal Analysis of the Interposer Bonding Process
5.4. Warpage Process Simulation
5.5. Parametric Study
5.5.1. Effects of Component CTEs
5.5.2. Effect of Component Orthotropic Elastic Properties
5.5.3. Effect of Component Thickness
6. Conclusions
- The ECAD TM technique was a very effective and robust way to precisely recognize the Cu circuitries in the PP dielectric or SM material.
- The DMA results indicated that the storage modulus of the EMC showed great time and temperature dependence particularly at temperatures near its Tg.
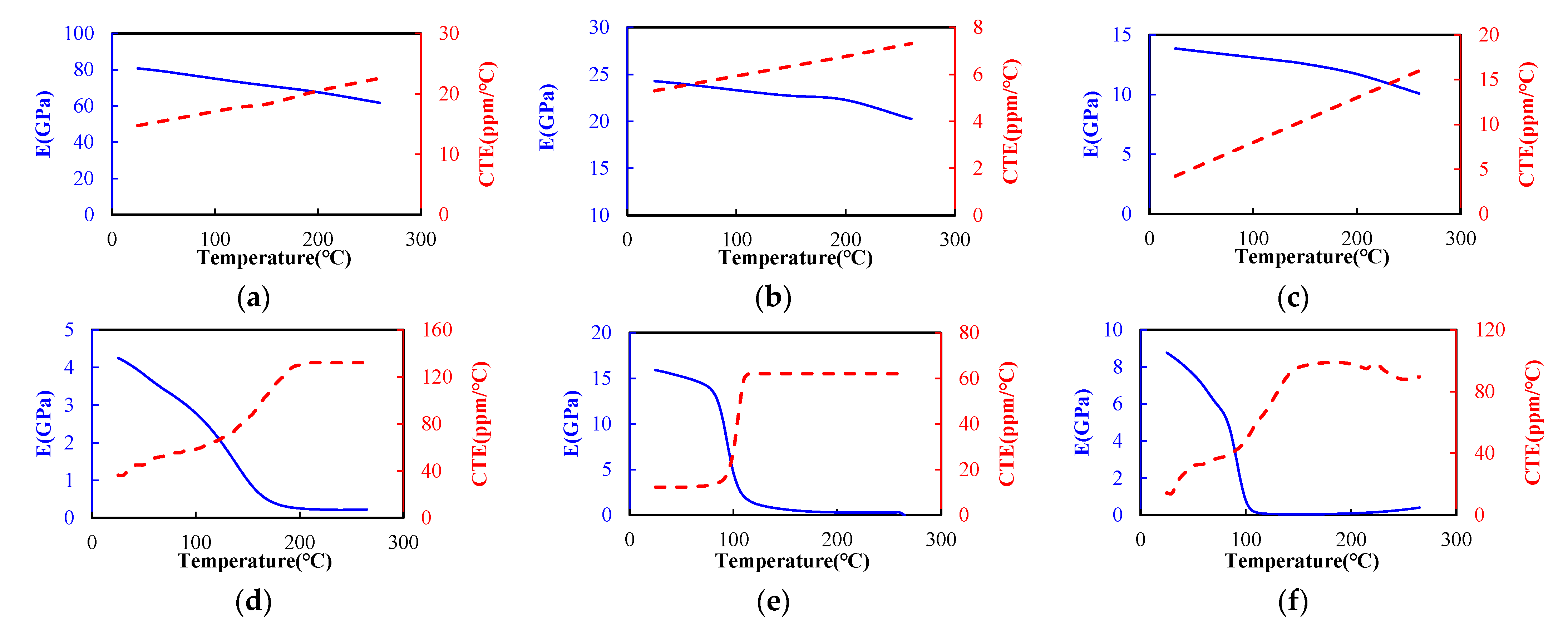
- Both the predicted effective elastic moduli and CTEs of the substrate and interposer turned out to have a negative and a positive temperature coefficient, respectively.
- The orthotropic constitutive assumption was shown to provide the most accurate prediction of the thermal deformations of the substrate and interposer, as compared to the transversely isotropic and isotropic ones.
- The thermal analysis results showed that there was a significant temperature non-uniformity across the assembly during the interposer bonding process, which could potentially affect the process-induced warpage.
- The proposed TM/FEA effective method and proposed process simulation framework were found to be very effective in predicting the effective elastic properties of the substrate and interposer and the process-induced warpage of the FCPoP assembly, respectively.
- The process-induced warpage of the FCPoP assembly experienced a dramatic change over the process steps, and more importantly, the maximum warpage occurred after the interposer bonding process rather than the end of the fabrication process. In addition, the warpage at 30 °C was roughly twice that of 260 °C.
- The warpage decreased with temperature during the increasing temperature process, probably because the EMC material became softened at temperatures greater than the Tg.
- Among the parameters considered in the parametric analysis, the substrate CTE had the greatest influence on the warpage at 30 °C, followed by the interposer CTE and the EMC thickness; moreover, a smaller substrate CTE, a larger interposer CTE and a thicker EMC brought about a reduced warpage.
Author Contributions
Funding
Institutional Review Board Statement
Informed Consent Statement
Data Availability Statement
Conflicts of Interest
References
- Tsai, M.-Y.; Wang, Y.-W.; Liu, C.-M. Thermally-induced deformations and warpages of flip-chip and 2.5D IC packages measured by strain gauges. Materials 2021, 14, 3723. [Google Scholar] [CrossRef] [PubMed]
- Chou, P.H.; Chiang, K.N.; Liang, S.Y. Reliability assessment of wafer level package using artificial neural Network regression model. J. Mech. 2019, 35, 829–837. [Google Scholar] [CrossRef]
- Chao, S.H.; Hung, C.P.; Chen, M.; Lee, Y.; Huang, J.; Kao, G.; Luh, D.B. An embedded trace FCCSP substrate without glass cloth. Microelectron. Reliab. 2016, 57, 101–110. [Google Scholar] [CrossRef]
- Liu, W.W.; Weng, B.; Li, J.; Yeh, C.K. FCCSP IMC growth under reliability stress following automotive standards. J. Microelectron. Electron. Packag. 2019, 16, 21–27. [Google Scholar]
- Waldrop, M.M. The chips are down for Moore’s law. Nature 2016, 530, 144–147. [Google Scholar] [CrossRef] [PubMed] [Green Version]
- Yang, C.C.; Su, Y.F.; Liang, S.Y.; Chiang, K.N. Simulation of wire bonding process using explicit FEM with ALE remeshing technology. J. Mech. 2020, 36, 47–54. [Google Scholar] [CrossRef]
- Cheng, H.-C.; Li, R.-S.; Lin, S.-C.; Chen, W.-H.; Chiang, K.-N. Macroscopic mechanical constitutive characterization of through-silicon-via-based 3-D integration. IEEE Trans. Compon. Packag. Manuf. Technol. 2016, 6, 432–446. [Google Scholar] [CrossRef]
- Hsieh, M.-C.; Kang, K.; Choi, H.; Kim, Y. Thin profile flip chip package-on-package development. In Proceedings of the 11th IMPACT Conference, Taipei, Taiwan, 26–28 October 2016. [Google Scholar]
- Hsieh, M.-C.; Lin, S.; Hsu, I.; Chen, C.Y.; Cho, N. Fine pitch high bandwidth flip chip package-on-package development. In Proceedings of the 21st European Microelectronics and Packaging Conference & Exhibition, Warsaw, Poland, 10–13 September 2017. [Google Scholar]
- Cheng, H.-C.; Liu, Y.-C. Warpage characterization of molded wafer for fan-out wafer-level packaging. ASME J. Electron. Packag. 2020, 142, 011004. [Google Scholar] [CrossRef]
- Cheng, H.-C.; Wu, Z.-D.; Liu, Y.-C. Viscoelastic warpage modeling of fan-out wafer level packaging during wafer-level mold cure process. IEEE Trans. Compon. Packag. Manuf. Technol. 2020, 10, 1240–1250. [Google Scholar] [CrossRef]
- Yeh, S.-S.; Lin, P.-Y.; Jeng, S.-P.; Lin, W.-Y.; Yew, M.-C.; Lee, K.-C.; Wang, J.-H.; Lai, P.-C.; Leu, S.-T. Lidded FCCSP warpage evaluation: Process modeling and characterization of the effect of viscoelasticity and cured shrinkage for molded underfill. In Proceedings of the 11th IMPACT Conference, Taipei, Taiwan, 26–28 October 2016. [Google Scholar]
- Dacol, V.; Caetano, E.; Correia, J.R. A new viscoelasticity dynamic fitting method applied for polymeric and polymer-based composite materials. Materials 2020, 13, 5213. [Google Scholar] [CrossRef] [PubMed]
- Sadeghinia, M.; Jansen, K.M.B.; Ernst, L.J. Characterization and modeling the thermo-mechanical cure-dependent properties of epoxy molding compound. Int. J. Adhes. Adhes. 2012, 32, 82–88. [Google Scholar] [CrossRef]
- Sangtabi, M.R.; Kiasat, M.S. Long-term viscoelastic properties of an adhesive and molding compound, characterization and modeling. Polymer 2017, 116, 204–217. [Google Scholar] [CrossRef]
- Sadeghinia, M.; Jansen, K.M.B.; Ernst, L.J. Characterization of the viscoelastic properties of an epoxy molding compound during cure. Microelectron. Reliab. 2012, 52, 1711–1718. [Google Scholar] [CrossRef]
- Williams, M.L.; Landel, R.F.; Ferry, J.D. The temperature dependence of relaxation mechanisms in amorphous polymers and other glass-forming liquids. J. Am. Chem. Soc. 1995, 77, 3701–3707. [Google Scholar] [CrossRef]
- Wang, M.; Wells, B. Substrate trace modeling for package warpage simulation. In Proceedings of the IEEE 66th Electronic Components and Technology Conference, Las Vegas, NV, USA, 31 May–3 June 2016; pp. 516–523. [Google Scholar]
- Schapery, R. Thermal expansion coefficients of composite materials based on energy principles. J. Compos. Mater. 1968, 2, 380–404. [Google Scholar] [CrossRef]
- Czyzewski, J.; Rybak, A.; Gaska, K.; Sekula, R.; Kapusta, C. Modelling of effective thermal conductivity of composites filled with core-shell fillers. Materials 2020, 13, 5480. [Google Scholar] [CrossRef] [PubMed]
- Ninomiya, K.; Ferry, J.D. Some approximate equations useful in the phenomenological treatment of linear viscoelastic data. J. Colloid Sci. 1959, 14, 36–48. [Google Scholar] [CrossRef]
- Ellison, G.N. Thermal Computations for Electronic Equipment; R.E. Krieger Publishing Company: Malabar, FL, USA, 1989. [Google Scholar]
- Cheng, H.-C.; Wu, C.-H.; Lin, S.-Y. Thermal and electrical characterization of power MOSFET module using coupled field analysis. J. Mech. 2019, 35, 641–655. [Google Scholar] [CrossRef]














| k | k | k | k | ||||||||
|---|---|---|---|---|---|---|---|---|---|---|---|
| 1 | 1.0 × 10−16 | 0.0241 | 7 | 1.0 × 10−6 | 0.0259 | 13 | 1.0 × 100 | 0.0743 | 19 | 1.0 × 108 | 0.0092 |
| 2 | 1.0 × 10−14 | 0.0128 | 8 | 1.0 × 10−5 | 0.0465 | 14 | 1.0 × 101 | 0.0474 | 20 | 1.0 × 1010 | 0.0073 |
| 3 | 1.0 × 10−12 | 0.0139 | 9 | 1.0 × 10−4 | 0.0796 | 15 | 1.0 × 102 | 0.0233 | 21 | 1.0 × 1012 | 0.0052 |
| 4 | 1.0 × 10−10 | 0.0162 | 10 | 1.0 × 10−3 | 0.0894 | 16 | 1.0 × 103 | 0.0089 | 22 | 1.0 × 1014 | 0.0035 |
| 5 | 1.0 × 10−8 | 0.0169 | 11 | 1.0 × 10−2 | 0.1411 | 17 | 1.0 × 104 | 0.0208 | |||
| 6 | 1.0 × 10−7 | 0.0122 | 12 | 1.0 × 10−1 | 0.0948 | 18 | 1.0 × 106 | 0.0150 |
| T (°C) | FEA-Based | TM/FEA | ROM/Analytical | |||||||
|---|---|---|---|---|---|---|---|---|---|---|
| Diff. (%) | Diff. (%) | Diff. (%) | Diff. (%) | |||||||
| 25 | 40,317 | 56,033 | 40,690 | 0.9 | 55,377 | −1.2 | 30,951 | −23.2 | 58,444 | 4.3 |
| 50 | 39,536 | 54,915 | 39,899 | 0.9 | 54,283 | −1.2 | 30,366 | −23.2 | 57,274 | 4.3 |
| 120 | 37,088 | 51,125 | 37,397 | 0.8 | 50,581 | −1.1 | 28,650 | −22.8 | 53,272 | 4.2 |
| 150 | 36,043 | 49,614 | 36,337 | 0.8 | 49,102 | −1.0 | 27,874 | −22.7 | 51,688 | 4.2 |
| 200 | 33,914 | 46,975 | 34,202 | 0.8 | 46,510 | −1.0 | 26,102 | −23.0 | 48,976 | 4.3 |
| 260 | 30,122 | 42,614 | 30,422 | 1.0 | 42,219 | −0.9 | 22,817 | −24.3 | 44,546 | 4.5 |
| T (°C) | FEA-Based | TM /FEA | ROM/Analytical | |||||||
|---|---|---|---|---|---|---|---|---|---|---|
| Diff. (%) | Diff. (%) | Diff. (%) | Diff. (%) | |||||||
| 25 | 11.99 | 13.76 | 11.90 | −0.8 | 13.66 | −0.7 | 10.47 | −12.6 | 13.87 | 0.8 |
| 50 | 12.92 | 14.62 | 12.84 | −0.6 | 14.53 | −0.6 | 11.47 | −11.2 | 14.73 | 0.7 |
| 120 | 15.43 | 16.90 | 15.36 | −0.5 | 16.81 | −0.5 | 14.19 | −8.1 | 17.00 | 0.6 |
| 150 | 16.27 | 17.58 | 16.21 | −0.4 | 17.51 | −0.4 | 15.15 | −6.9 | 17.67 | 0.5 |
| 200 | 18.55 | 19.82 | 18.49 | −0.3 | 19.76 | −0.3 | 17.47 | −5.8 | 19.90 | 0.4 |
| 260 | 20.90 | 22.03 | 20.86 | −0.2 | 21.99 | −0.2 | 19.92 | −4.7 | 22.10 | 0.3 |
| Ux (mm) | Diff. (%) | Uy (mm) | Diff. (%) | Uz (mm) | Diff. (%) | |
|---|---|---|---|---|---|---|
| Detailed FEA | 1.14 × 10−2 | - | 1.17 × 10−2 | - | 4.56 × 10−4 | - |
| Orthotropic | 1.13 × 10−2 | −0.47 | 1.17 × 10−2 | −0.44% | 4.58 × 10−4 | 0.52% |
| Transversely Isotropic | 1.15 × 10−2 | 1.04 | 1.15 × 10−2 | −1.90% | 4.22 × 10−4 | −7.52% |
| Isotropic | 1.18 × 10−2 | 3.96 | 1.18 × 10−2 | 0.94% | 4.34 × 10−4 | −4.84% |
| T (°C) | Ex | Ey | Ez | υxy | υyz | υxz | Gxy | Gyz | Gxz | αx | αy | αz |
|---|---|---|---|---|---|---|---|---|---|---|---|---|
| 25 | 27,279 | 25,603 | 20,012 | 0.3 | 0.3 | 0.3 | 3195 | 3196 | 3244 | 12.6 | 12.1 | 6.2 |
| 50 | 26,709 | 25,039 | 19,631 | 0.3 | 0.3 | 0.3 | 3115 | 3132 | 3182 | 13.7 | 13.2 | 7.3 |
| 120 | 24,871 | 23,212 | 18,531 | 0.3 | 0.3 | 0.3 | 2846 | 2944 | 3001 | 16.4 | 16.0 | 10.7 |
| 150 | 24,011 | 22,277 | 18,003 | 0.3 | 0.3 | 0.3 | 2669 | 2841 | 2912 | 17.4 | 16.9 | 12.2 |
| 200 | 22,463 | 20,721 | 16,796 | 0.3 | 0.3 | 0.3 | 2411 | 2628 | 2713 | 19.9 | 19.2 | 14.9 |
| 260 | 19,991 | 18,347 | 14,604 | 0.3 | 0.3 | 0.3 | 2122 | 2285 | 2358 | 22.4 | 21.8 | 17.7 |
| T (°C) | Ex | Ey | Ez | υxy | υyz | υxz | Gxy | Gyz | Gxz | αx | αy | αz |
|---|---|---|---|---|---|---|---|---|---|---|---|---|
| 25 | 37,149 | 37,205 | 33,475 | 0.3 | 0.3 | 0.3 | 4636 | 6028 | 6023 | 12.7 | 12.4 | 7.2 |
| 50 | 36,423 | 36,479 | 32,967 | 0.3 | 0.3 | 0.3 | 4533 | 5934 | 5929 | 13.4 | 13.3 | 7.7 |
| 120 | 33,884 | 33,940 | 31,178 | 0.3 | 0.3 | 0.3 | 4158 | 5611 | 5599 | 14.9 | 14.9 | 9.0 |
| 150 | 32,686 | 32,745 | 30,183 | 0.3 | 0.3 | 0.3 | 3930 | 5477 | 5445 | 15.3 | 15.2 | 9.6 |
| 200 | 30,904 | 30,966 | 27,634 | 0.3 | 0.3 | 0.3 | 3533 | 5295 | 5168 | 16.8 | 16.7 | 11.0 |
| 260 | 28,160 | 28,218 | 25,099 | 0.3 | 0.3 | 0.3 | 3212 | 4822 | 4703 | 18.3 | 18.2 | 12.1 |
| Method | Warpage (μm) | |
|---|---|---|
| 30 °C | 260 °C | |
| Simulation | 82.6 | 40.2 |
| Measurement | 78.4 (60,89) | 42.2 (32,49) |
Publisher’s Note: MDPI stays neutral with regard to jurisdictional claims in published maps and institutional affiliations. |
© 2021 by the authors. Licensee MDPI, Basel, Switzerland. This article is an open access article distributed under the terms and conditions of the Creative Commons Attribution (CC BY) license (https://creativecommons.org/licenses/by/4.0/).
Share and Cite
Cheng, H.-C.; Tai, L.-C.; Liu, Y.-C. Theoretical and Experimental Investigation of Warpage Evolution of Flip Chip Package on Packaging during Fabrication. Materials 2021, 14, 4816. https://doi.org/10.3390/ma14174816
Cheng H-C, Tai L-C, Liu Y-C. Theoretical and Experimental Investigation of Warpage Evolution of Flip Chip Package on Packaging during Fabrication. Materials. 2021; 14(17):4816. https://doi.org/10.3390/ma14174816
Chicago/Turabian StyleCheng, Hsien-Chie, Ling-Ching Tai, and Yan-Cheng Liu. 2021. "Theoretical and Experimental Investigation of Warpage Evolution of Flip Chip Package on Packaging during Fabrication" Materials 14, no. 17: 4816. https://doi.org/10.3390/ma14174816
APA StyleCheng, H.-C., Tai, L.-C., & Liu, Y.-C. (2021). Theoretical and Experimental Investigation of Warpage Evolution of Flip Chip Package on Packaging during Fabrication. Materials, 14(17), 4816. https://doi.org/10.3390/ma14174816
