Automated Distinction between Cement Paste and Aggregates of Concrete Using Laser-Induced Breakdown Spectroscopy
Abstract
:1. Introduction
2. Materials and Methods
2.1. LIBS Setup
2.2. Samples
- Type 1
- Aggregate specimen, comprised of aggregates and epoxy resin to exclusively characterize the aggregate and its variation by selected element distributions. Aggregates from various types with grain size in a range of 8–16 mm were filled in a paper cup and epoxy-resin was added to cover the gravels. Epoxy is a homogeneous polymer which similar to concrete contributes to the stabilization of the aggregates in the mixture. The homogeneity and the chemical composition of the epoxy resin allows an easy differentiation of the analyzed data in terms of epoxy or aggregate. This provides the basis for an adjusted data set. Due to this approach it was possible to investigate the different types of aggregate simultaneously, which facilitated the analysis. The used aggregates are classified as pyrogenic rock, migmatite, and gneiss with the main minerals feldspar (plagioclase), quartz, and mica.
- Type 2
- Cement specimen with Portland cement (CEM I 42.5 R) prepared with deionized water and a water-cement ratio of 0.50 to characterize solely the hardened cement paste by its element distributions.
- Type 3
- Concrete specimen with cement and water-cement ratio as described for the sample type (2) together with the aggregate measured within specimen type to verify the trained algorithm.
2.3. Measurements
2.4. Machine Learning
3. Results
3.1. Data Evaluation
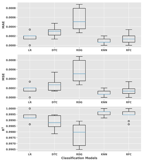
3.2. Model Training and Verification
3.3. In Situ Sample
4. Discussion
5. Conclusions
Author Contributions
Funding
Institutional Review Board Statement
Informed Consent Statement
Data Availability Statement
Acknowledgments
Conflicts of Interest
References
- Lui, S.L.; Koujelev, A. Accurate identification of geological samples using artificial neural network processing of laser-induced breakdown spectroscopy data. J. Anal. At. Spectrom. 2011, 26, 2419. [Google Scholar] [CrossRef]
- Fu, H.; Jia, J.; Wang, H.; Ni, Z.; Dong, F. Calibration Methods of Laser-Induced Breakdown Spectroscopy. In Calibration and Validation of Analytical Methods—A Sampling of Current Approaches; Stauffer, M.T., Ed.; InTech: London, UK, 2018. [Google Scholar] [CrossRef] [Green Version]
- El Haddad, J.; Bruyère, D.; Ismaël, A.; Gallou, G.; Laperche, V.; Michel, K.; Canioni, L.; Bousquet, B. Application of a series of artificial neural networks to on-site quantitative analysis of lead into real soil samples by laser induced breakdown spectroscopy. Spectrochim. Acta Part B At. Spectrosc. 2014, 97, 57–64. [Google Scholar] [CrossRef] [Green Version]
- Ferreira, E.C.; Milori, D.M.; Ferreira, E.J.; Da Silva, R.M.; Martin-Neto, L. Artificial neural network for Cu quantitative determination in soil using a portable Laser Induced Breakdown Spectroscopy system. Spectrochim. Acta Part B At. Spectrosc. 2008, 63, 1216–1220. [Google Scholar] [CrossRef]
- Ramil, A.; López, A.J.; Yáñez, A. Application of artificial neural networks for the rapid classification of archaeological ceramics by means of laser induced breakdown spectroscopy (LIBS). Appl. Phys. 2008, 92, 197–202. [Google Scholar] [CrossRef]
- Wang, J.; Liao, X.; Zheng, P.; Xue, S.; Peng, R. Classification of Chinese Herbal Medicine by Laser-Induced Breakdown Spectroscopy with Principal Component Analysis and Artificial Neural Network. Anal. Lett. 2018, 51, 575–586. [Google Scholar] [CrossRef]
- Technische Regel—Instandhaltung von Betonbauwerken (TR Instandhaltung), Teil1—Anwendungsbereich und Planung der Instandhaltung. Deutsches Institut für Bautechnik, 2020. Available online: https://www.dibt.de/fileadmin/dibt-website/Dokumente/Referat/I4/TR_Instandhaltung_Betonbauwerke_Teil1.pdf (accessed on 30 June 2021).
- EN 14630. Products and Systems for the Protection and Repair of Concrete Structures—Test Methods—Determination of Carbonation Depth in Hardened Concrete by the Phenolphthalein Method; CEN: Brussels, Belgium, 2006. [Google Scholar]
- EN 14629. Products and Systems for the Protection and Repair of Concrete Structures—Test Methods—Determination of Chloride Content in Hardened Concrete; CEN: Brussels, Belgium, 2007. [Google Scholar]
- EN 206. Concrete—Specification, Performance, Production and Conformity; CEN: Brussels, Belgium, 2013. [Google Scholar]
- Dorner, H.; Kleiner, G. Anleitung zur Bestimmung des Chloridgehaltes von Beton; Deutscher Ausschuss für Stahlbeton/Deutsches Institut für Normung, Beuth: Berlin/Köln, Germany, 1989; Volume H. 401. [Google Scholar]
- Pettijohn, F.J.; Potter, P.E.; Siever, R. Sand and Sandstone; Springer: New York, NY, USA, 1973. [Google Scholar] [CrossRef]
- Savage, D.; Walker, C.; Benbow, S. An Analysis of Potential Changes to Barrier Components due to Interaction with a Concrete Liner in a Repository for SF/HLW in Opalinus Clay. 2010. Available online: https://www.researchgate.net/publication/265466013_An_Analysis_of_Potential_Changes_to_Barrier_Components_due_to_Interaction_with_a_Concrete_Liner_in_a_Repository_for_SFHLW_in_Opalinus_Clay (accessed on 30 July 2020).
- Spiropoulos, J. Small Scale Production of Lime for Building: A publ. of Dt. Zentrum für Entwicklungstechnologien—GATE in: Dt. Ges. für Techn. Zusammenarbeit (GTZ) GmbH; Vieweg: Braunschweig, Germany, 1985. [Google Scholar]
- Best, M.G. Igneous and Metamorphic Petrology, 2nd ed.; Blackwell: Malden, MA, USA, 2006. [Google Scholar]
- Gottlieb, C.; Millar, S.; Grothe, S.; Wilsch, G. 2D evaluation of spectral LIBS data derived from heterogeneous materials using cluster algorithm. Spectrochim. Acta Part B At. Spectrosc. 2017, 134, 58–68. [Google Scholar] [CrossRef]
- Schorn, S. Mineralienatlas—Fossilienatlas. 2020. Available online: https://www.mineralienatlas.de/index.php?lang=en&language=english (accessed on 30 July 2020).
- National Institute of Standards and Technology. NIST: Atomic Spectra Database Lines Form. 2018. Available online: https://physics.nist.gov/PhysRefData/ASD/lines_form.html (accessed on 6 February 2019).
- Chollet, F. Deep Learning with Python; Safari Tech Books Online; Manning: Shelter Island, NY, USA, 2018. [Google Scholar]
- Raschka, S. Python Machine Learning: Unlock Deeper Insights into Machine Learning with This Vital Guide to Cutting-Edge Predictive Analytics; Community Experience Distilled; Packt Publishing Open Source: Birmingham, UK; Mumbai, India, 2016. [Google Scholar]
- Murphy, K.P. Machine Learning: A Probabilistic Perspective; Adaptive Computation and Machine Learning Series; MIT Press: Cambridge, MA, USA, 2012. [Google Scholar]
- Zakka, K. A Complete Guide to K-Nearest-Neighbors with Applications in Python and R. 2018. Available online: https://kevinzakka.github.io/2016/07/13/k-nearest-neighbor/#what-is-knn (accessed on 24 January 2019).
- IBM. IBM Knowledge Center—Usage of KNN. 2014. Available online: https://www.ibm.com/support/knowledgecenter/en/SS6NHC/com.ibm.swg.im.dashdb.analytics.doc/doc/r_knn_usage.html (accessed on 24 January 2019).
- Gottlieb, C.; Günther, T.; Wilsch, G. Impact of grain sizes on the quantitative concrete analysis using laser-induced breakdown spectroscopy. Spectrochim. Acta Part B At. Spectrosc. 2018, 142, 74–84. [Google Scholar] [CrossRef]












| Chemicals | Basalt | Limestone | Sandstones | Granite | CEM I |
|---|---|---|---|---|---|
| SiO2 | ✓ | ✓ | ✓ | ✓ | ✓ |
| Al2O3 | ✓ | ✓ | ✓ | ✓ | ✓ |
| Fe2O3 | ✓ | ✓ | ✓ | ✓ | ✓ |
| FeO | ✓ | ✓ | ✓ | ||
| MgO | ✓ | ✓ | ✓ | ✓ | |
| MgCO3 | ✓ | ||||
| CaO | ✓ | ✓ | ✓ | ✓ | |
| Na2O | ✓ | ✓ | ✓ | ✓ | ✓ |
| K2O | ✓ | ✓ | ✓ | ✓ | ✓ |
| CaCO3 | ✓ | ||||
| TiO3 | ✓ | ✓ | |||
| P2O5 | ✓ | ✓ | ✓ | ✓ | |
| MnO | ✓ | ✓ | ✓ |
| Element | Plagioclase | Quartz | Hematite | Magnetite | Amphibole | Pyroxene | Olivine | Mica | Calcit | CEM I | CEM I | ||||||||
|---|---|---|---|---|---|---|---|---|---|---|---|---|---|---|---|---|---|---|---|
| Min | Max | Min | Max | Min | Max | Min | Max | Min | Max | Min | Max | Min | Max | Min | Max | Clinker | Hydrated | ||
| Ca | 14 | 11 | 35 | 10 | 40 | 47 | 34 | ||||||||||||
| O | 46 | 49 | 53 | 70 | 28 | 28 | 37 | 58 | 36 | 48 | 31 | 45 | 28 | 50 | 48 | 35 | 50 | ||
| Si | 20 | 32 | 47 | 22 | 34 | 21 | 28 | 14 | 20 | 7 | 29 | 9 | 7 | ||||||
| Fe | 30 | 72 | 72 | 39 | 42 | 55 | 41 | 5 | 3 | ||||||||||
| Mg | 22 | 24 | 35 | 18 | |||||||||||||||
| Al | 10 | 19 | 13 | 28 | 4 | 3 | |||||||||||||
| K | 14 | 14 | 6 | 10 | |||||||||||||||
| F | 10 | ||||||||||||||||||
| Na | 9 | 10 | 11 | 6 | |||||||||||||||
| H | 1 | 3 | |||||||||||||||||
| Li | 7 | 4 | |||||||||||||||||
| Ti | 7 | ||||||||||||||||||
| S | 8 | ||||||||||||||||||
| C | 12 | ||||||||||||||||||
| Element | Wavelength (nm) |
|---|---|
| Hydrogen (H) | 656.2 |
| Carbon (C) | 833.5 |
| Oxygen (O) | 844.6 |
| Calcium (Ca) | 849.8 |
| Element | C | H | Ca | O |
|---|---|---|---|---|
| Std | 1.2 | 0.58 | 0.47 | 0.38 |
Publisher’s Note: MDPI stays neutral with regard to jurisdictional claims in published maps and institutional affiliations. |
© 2021 by the authors. Licensee MDPI, Basel, Switzerland. This article is an open access article distributed under the terms and conditions of the Creative Commons Attribution (CC BY) license (https://creativecommons.org/licenses/by/4.0/).
Share and Cite
Pourbozorgi Langroudi, P.; Kapteina, G.; Illguth, M. Automated Distinction between Cement Paste and Aggregates of Concrete Using Laser-Induced Breakdown Spectroscopy. Materials 2021, 14, 4624. https://doi.org/10.3390/ma14164624
Pourbozorgi Langroudi P, Kapteina G, Illguth M. Automated Distinction between Cement Paste and Aggregates of Concrete Using Laser-Induced Breakdown Spectroscopy. Materials. 2021; 14(16):4624. https://doi.org/10.3390/ma14164624
Chicago/Turabian StylePourbozorgi Langroudi, Pakdad, Gesa Kapteina, and Marcus Illguth. 2021. "Automated Distinction between Cement Paste and Aggregates of Concrete Using Laser-Induced Breakdown Spectroscopy" Materials 14, no. 16: 4624. https://doi.org/10.3390/ma14164624
APA StylePourbozorgi Langroudi, P., Kapteina, G., & Illguth, M. (2021). Automated Distinction between Cement Paste and Aggregates of Concrete Using Laser-Induced Breakdown Spectroscopy. Materials, 14(16), 4624. https://doi.org/10.3390/ma14164624

