Titanium in Cast Cu-Sn Alloys—A Review
Abstract
1. Introduction
2. Cast Bronze Alloys
3. Effect of Sn Additions
4. Properties of Bronze Alloys
5. Analysis of Cu-Sn Cast Samples
6. Phase Diagram of Cu-Sn Alloys
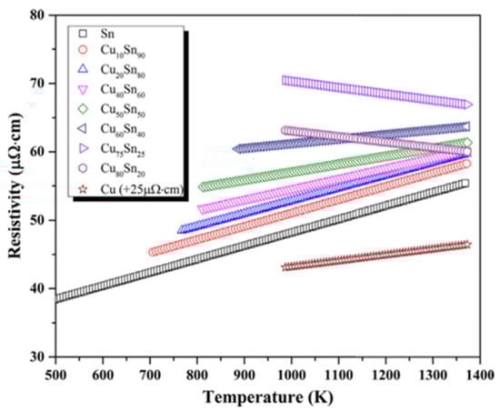
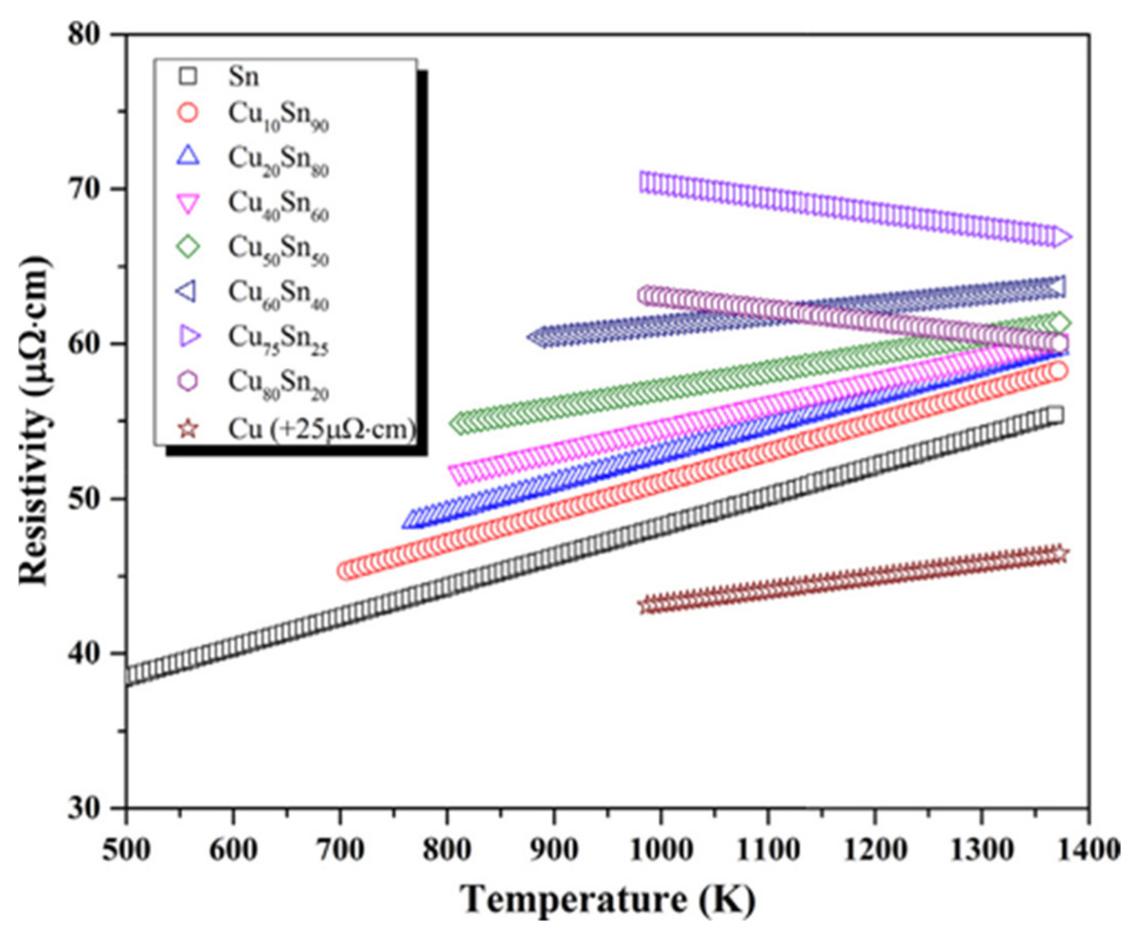
7. Experiments on Molten/Liquid Cu-Sn Alloys
8. Processes Conducted on Cu-Sn Alloy
8.1. High-Pressure Torsion
8.2. Rolling
8.3. Annealing
9. Casting Processes Conducted on Cu-Sn Alloys
9.1. Investment Casting
9.2. Two-Phase Zone Continuous Casting
9.3. Continuous Casting
9.4. Semi-Continuous Casting and Die Casting
10. Property Variation in Different Compositions of Cu-Sn Alloy
10.1. Eutectic Composition of Cu-Sn Alloy
10.2. Hypereutectic Composition of Cu-Sn Alloy
10.3. Peritectic Composition of Cu-Sn Alloy
11. Applications of Cast Bronzes
12. Evolution of Cast Cu-Sn-Ti Alloys
13. Properties of Cu-Sn-Ti Alloys
14. Phase Diagrams and Phase Relations of Cu-Sn-Ti Ternary System
15. Effect of Elemental Additions on Cu-Sn-Ti Alloys
16. Cu-Sn-Ti Brazing Alloys
17. Applications
18. Summary and Future Development
- Firstly, cast bronze alloys were investigated in detail. The effects of Sn additions on the microstructure and morphology were precisely described.
- Important properties of bronze alloys, such as tensile strength, hardness, conductivity, corrosion, and wear resistance, were also listed above.
- Analysis of cast samples for bronze alloys along with their phase diagrams and phase relations were mentioned.
- Changes in the microstructure and morphology were obtained when different types of casting procedures, such as TZCC, investment casting and continuous casting, were performed. They were explained along with the effect of annealing and rolling.
- Eutectic, hypereutectic and peritectic compositions of bronze alloys were taken into account and their major applications were derived. They included electronic interconnections, underwater equipment (although inferior to stainless steel), detonating cords etc. They are also used in anti-seizure applications.
- Then, the additions of Ti on bronze alloys were taken into account and elaborated using research articles.
- Properties, phase diagrams, and phase relations along with major applications of cast Cu-Sn-Ti alloys were listed.
Author Contributions
Funding
Institutional Review Board Statement
Informed Consent Statement
Data Availability Statement
Acknowledgments
Conflicts of Interest
References
- Tęcza, G.; Zapała, R. Changes in Impact Strength and Abrasive Wear Resistance of Cast High Manganese Steel Due to the Formation of Primary Titanium Carbides. Arch. Foundry Eng. 2018, 1, 119–122. [Google Scholar]
- Studnicki, A.; Dojka, R.; Gromczyk, M.; Kondracki, M. Influence of Titanium on Crystallization and Wear Resistance of High Chromium Cast Iron. Arch. Foundry Eng. 2016, 16, 117–123. [Google Scholar] [CrossRef]
- Alex, S.; Chattopadhyay, K.; Basu, B. Tailored specular reflectance properties of bulk Cu based novel intermetallic alloys. Sol. Energy Mater. Sol. Cells 2016, 149, 66–74. [Google Scholar] [CrossRef]
- Gadallah, E.A.; Ghanem, M.A.; Abd El-Hamid, M.; El-Nikhaily, A.E. Effect of Tin Content and ECAP Passes on the Mechanical Properties of Cu/Sn Alloys. Am. J. Sci. Technol. 2014, 1, 60–68. [Google Scholar]
- Paul, C.; Sellamuthu, R. The Effect of Sn Content on the Properties of Surface Refined Cu-Sn Bronze Alloys. Procedia Eng. 2014, 97, 1341–1347. [Google Scholar] [CrossRef]
- Shankar, K.V.; Sellamuthu, R. Determination of the effect of tin content on microstructure, hardness, optimum aging temperature, and aging time for spinodal bronze alloys cast in a metal mould. Int. J. Met. 2017, 11, 189–194. [Google Scholar] [CrossRef]
- Bartocha, D.; Baron, C.; Suchoń, J. The Influence of Solidification Rate on High tin Bronze Microstructure. Arch. Foundry Eng. 2019, 1, 89–97. [Google Scholar]
- Nadolski, M. The Evaluation of Mechanical Properties of High-tin Bronzes. Arch. Foundry Eng. 2017, 1, 127–130. [Google Scholar] [CrossRef][Green Version]
- Cherian, P.; Sellamuthu, R. An Investigation on the Effect of Process Parameters on Microstructure, Hardness and Wear Properties of Surface Modified Cu-Sn Bronze Alloy. Appl. Mech. Mater. 2014, 592–594, 58–62. [Google Scholar] [CrossRef]
- Zhang, J.; Cui, X.; Wang, Y.; Yang, Y.; Lin, J. Characteristics of ultrahigh electrical conductivity for Cu–Sn alloys. Mater. Sci. Technol. 2013, 30, 506–509. [Google Scholar] [CrossRef]
- Slamet, S.; Suyitno, S.; Kusumaningtyas, I.; Miasa, I.M. Effect of High-tin Bronze Composition on Physical, Mechanical, and Acoustic Properties of Gamelan Materials. Arch. Foundry Eng. 2021, 1, 137–145. [Google Scholar]
- Yang, Y.; Song, B.; Cheng, J.; Song, G.; Yang, Z.; Cai, Z. Effect of Super-gravity Field on Grain Refinement and Tensile Properties of Cu–Sn Alloys. ISIJ Int. 2018, 58, 98–106. [Google Scholar] [CrossRef]
- Yilmaz, O.; Turhan, H. The relationships between wear behaviour and thermal conductivity of CuSn/M7C3-M23C6 composites at ambient and elevated temperatures. Compos. Sci. Technol. 2001, 61, 2349–2359. [Google Scholar] [CrossRef]
- Osório, W.R.; Spinelli, J.; Afonso, C.R.M.; Peixoto, L.C.; Garcia, A. Microstructure, corrosion behaviour and microhardness of a directionally solidified Sn–Cu solder alloy. Electrochim. Acta 2011, 56, 8891–8899. [Google Scholar] [CrossRef]
- Martorano, M.; Capocchi, J. Heat transfer coefficient at the metal–mould interface in the unidirectional solidification of Cu–8%Sn alloys. Int. J. Heat Mass Transf. 2000, 43, 2541–2552. [Google Scholar] [CrossRef]
- Paradela, K.G.; Baptista, L.A.D.S.; Sales, R.C.; Junior, P.F.; Ferreira, A.F. Investigation of Thermal Parameters Effects on the Microstructure, Microhardness and Microsegregation of Cu-Sn alloy Directionally Solidified under Transient Heat Flow Conditions. Mater. Res. 2019, 22, 1–9. [Google Scholar] [CrossRef]
- Ozgowicz, W.; Grzegorczyk, B.; Pawelek, A.; Wajda, W.; Skuza, W.; Piatkowski, A.; Ranachowski, Z. Relation between the plastic instability and fracture of tensile tested Cu-Sn alloys investigated with the application of acoustic emission technique. Frat. Integrità Strutt. 2015, 10, 11–20. [Google Scholar] [CrossRef]
- Martorano, M.A.; Capocchi, J.D.T. Effects of processing variables on the microsegregation of directionally cast samples. Met. Mater. Trans. A 2000, 31, 3137–3148. [Google Scholar] [CrossRef]
- Bayle, B.; Bocher, P.; Jonas, J.; Montheillet, F. Flow stress and recrystallisation during hot deformation of Cu–9%Sn alloys. Mater. Sci. Technol. 1999, 15, 803–811. [Google Scholar] [CrossRef]
- Chen, S.-W.; Wang, C.-H. Effects of electromigration on interfacial reactions in cast Sn/Cu joints. J. Mater. Res. 2007, 22, 695–702. [Google Scholar] [CrossRef]
- Akbarifar, M.; Divandari, M. On the Interfacial Characteristics of Compound Cast Al/Brass Bimetals. Int. J. Met. 2017, 11, 506–512. [Google Scholar] [CrossRef]
- Fürtauer, S.; Li, D.; Cupid, D.; Flandorfer, H. The Cu–Sn phase diagram, Part I: New experimental results. Intermetallics 2013, 34, 142–147. [Google Scholar] [CrossRef] [PubMed]
- Li, Y.; He, K.; Liao, C.; Pan, C. Measurements of mechanical properties of α-phase in Cu-Sn alloys by using instru-mented nanoindentation. J. Mater. Res. 2012, 27, 192–196. [Google Scholar] [CrossRef]
- Jia, P.; Zhang, J.; Hu, X.; Li, C.; Zhao, D.; Teng, X.; Yang, C. Correlation between the resistivity and the atomic clusters in liquid Cu-Sn alloys. Phys. B Condens. Matter 2018, 537, 58–62. [Google Scholar] [CrossRef]
- Tan, M.; Xiufang, B.; Xianying, X.; Yanning, Z.; Jing, G.; Baoan, S. Correlation between viscosity of molten Cu–Sn alloys and phase diagram. Phys. B Condens. Matter 2007, 387, 1–5. [Google Scholar] [CrossRef]
- Mao, T.; Bian, X.; Morioka, S.; Wu, Y.; Li, X.; Lv, X. Effects of magnetic field on the viscosity of molten Cu–Sn alloys. Phys. Lett. A 2007, 366, 155–159. [Google Scholar] [CrossRef]
- Korneva, A.; Straumal, B.; Chulist, R.; Kilmametov, A.; Bala, P.; Cios, G.; Schcll, N.; Zięba, P. Grain refinement of in-termetallic compounds in the Cu-Sn system under high-pressure torsion. Mater. Lett. 2016, 179, 12–15. [Google Scholar] [CrossRef]
- Liu, G.; Ji, S. Microstructure, dynamic restoration, and recrystallization texture of Sn-Cu after rolling at room tem-perature. Mater. Charact. 2019, 150, 174–183. [Google Scholar] [CrossRef]
- Wang, X.; Zhao, J.; He, J.; Wang, J. Microstructural features and mechanical properties induced by the spray forming and cold rolling of the Cu-13.5 wt. pct Sn alloy. J. Mater. Sci. Technol. 2008, 24, 803–808. [Google Scholar]
- Liu, D.; Miller, W.A.; Aust, K.T. Annealing Twin Formation in a Cast and Annealed Cu-4% Sn Alloy. Can. Met. Lurgical Q. 1984, 23, 237–240. [Google Scholar] [CrossRef]
- Han, J.M.; Han, Y.S.; You, S.Y.; Kim, H.S. Mechanical behaviour of a new dispersion-strengthened bronze. J. Mater. Sci. 1997, 32, 6613–6618. [Google Scholar] [CrossRef]
- Slamet, S.; Suyitno; Kusumaningtyas, I. Effect of Composition and Pouring Temperature of Cu-Sn Alloys on the Fluidity and Microstructure by Investment Casting. In Proceedings of the IOP Conference Series: Materials Science and Engineering, Bandung, Indonesia, 6–7 September 2019; Volume 547, p. 12010. [Google Scholar]
- Liu, X.-F.; Luo, J.-H.; Wang, X.-C. Surface quality, microstructure and mechanical properties of Cu–Sn alloy plate prepared by two-phase zone continuous casting. Trans. Nonferrous Met. Soc. China 2015, 25, 1901–1910. [Google Scholar] [CrossRef]
- Liu, X.; Luo, J.; Wang, X.; Wang, L.; Xie, J. Columnar grains-covered small grains Cu–Sn alloy prepared by two-phase zone continuous casting. Prog. Nat. Sci. 2013, 23, 94–101. [Google Scholar] [CrossRef][Green Version]
- Luo, J.; Liu, X.; Yang, K. Formation mechanism of microstructure in two-phase zone continuous casting Cu–Sn alloy. Ferroelectrics 2018, 529, 33–42. [Google Scholar] [CrossRef]
- Luo, J.-H.; Liu, X.-F.; Shi, Z.-Z.; Liu, Y.-F. Microstructure quantification of Cu–4.7Sn alloys prepared by two-phase zone continuous casting and a BP artificial neural network model for microstructure prediction. Rare Met. 2018, 38, 1124–1130. [Google Scholar] [CrossRef]
- Luo, J.; Liu, X.; Shi, L.; Cheng, C. Experimental and numerical simulation of surface segregation in two-phase zone continuous casting Cu–Sn alloy. In Materials Science Forum; Trans Tech Publications Ltd.: Stafa-Zurich, Switzerland, 2016; Volume 850, pp. 610–617. [Google Scholar]
- Luo, J.; Liu, X.; Wang, X. Analysis of Temperature Field, Heat and Fluid Flow of Two-Phase Zone Continuous Casting Cu–Sn Alloy Wire. Arch. Foundry Eng. 2016, 16, 33–40. [Google Scholar] [CrossRef][Green Version]
- Wilson, R. A Practical Approach to Continuous Casting of Copper-Based Alloys and Precious Metals; IOM Communications Ltd.: London, UK, 2000; 266p. [Google Scholar]
- Skoric, B.; Arsenovic, M.; Kutin, M.; Vasovic, I.; Ristic, M.; Milutinovic, Z. Thermographs and numerical simulations with respect to stress state and structure of condition cast specimens of bronze alloy. In Proceedings of the Fourth Serbian (29th Yu) Congress on Theoretical and Applied Mechanics, Vrnjacka Banja, Serbia, 4–7 June 2013; pp. 485–490. [Google Scholar]
- Arsenovic, M.; Skoric, B.; Kutin, M.; Ristic, M. Influence of mold flow velocities on fracture of continuous cast speci-mens made of bronze alloy. In Proceedings of the 10th International Conference on Structural Integrity of Welded Structures (ISCS13), Timisoara, Romania, 11–12 July 2013. [Google Scholar]
- Sergejevs AKromanis AOzolins, J.; Gerins, E. Influence of Casting velocity on mechanical properties and macrostructure of tin bronzes. In Key Engineering Materials k; Trans Tech Publications Ltd.: Stafa-Zurich, Switzerland, 2016; Volume 674, pp. 81–87. [Google Scholar]
- Kostov, A.; Arsenovic, M.; Mitevska, N. Continuous casting of copper-based shape memory 8 mm wire. In Proceedings of the Second Balkan Conference on Development of Metallurgy in the Balkans at the beginning of 21st Century, Bucharest, Romania, 9–11 October 2000; pp. 60–63. [Google Scholar]
- Copper and Copper Alloys. Ingots and Castings Patent EN 1982:2008, May 2008.
- Luo, J.; He, F. Process Parameters on Exudation Thickness in Continuous Unidirectional Solidification Tin Bronze Alloy. Arch. Foundry Eng. 2019, 2, 97–100. [Google Scholar]
- Luo, J. Preparation and Microstructure Evolution of Continuous Unidirectional Solidification Tin Bronze Alloy at Different Continuous Casting Speed. Arch. Foundry Eng. 2020, 2, 118–122. [Google Scholar]
- Ludwig, A.; Gruber-Pretzler, M.; Wu, M.; Kuhn, A.; Riedle, J. About the Formation of Macrosegregations during Continuous Casting of Sn-Bronze. Fluid Dyn. Mater. Process. 2005, 1, 285–300. [Google Scholar]
- Grasser, M.; Ishmurzin, A.; Mayer, F.; Wu, M.; Ludwig, A.; Hofmann, U.; Riedle, J. Micro-macrosegregation prediction based on solidification simulation for continuous casting of ternary bronze alloys. In Proceedings of the 12th International Conference on Modeling of Casting, Welding, and Advanced Solidification Processes, Vancouver, Canada, 7–14 June 2009; pp. 221–228. [Google Scholar]
- Sugita IK, G.; Priambadi IG, N.; Kencanawati CI, P.K.; Astawa, K. Solidification characteristic of Cu-20%sn bronze alloys casting process by using sand and metal molds. In Proceedings of the IOP Conference Series: Materials Science and Engineering, Bali, Indonesia, 24–25 October 2018; IOP Publishing: Bristol, UK, 2019; Volume 539. [Google Scholar] [CrossRef]
- Hao, J.; Grasser, M.; Wu, M.; Ludwig, A. Numerical study and experimental investigation of solidification phenomena in the semicontinuous casting of Bronze. Adv. Mater. Res. 2011, 154–155, 1401–1404. [Google Scholar]
- Backman, D.G.; Mehrabian, R.; Flemings, M.C. Die thermal behavior in machine casting of partially solid high temperature alloys. Met. Mater. Trans. A 1977, 8, 471–477. [Google Scholar] [CrossRef]
- Wu, C.M.L.; Huang, M.L. Creep behavior of eutectic Sn-Cu lead-free solder alloy. J. Electron. Mater. 2002, 31, 442–448. [Google Scholar] [CrossRef]
- Spinelli, J.E.; Garcia, A. Microstructural development and mechanical properties of hypereutectic Sn-Cu solderalloys. Mater. Sci. Eng. A 2013, 568, 195–201. [Google Scholar] [CrossRef]
- Kohler, F.; Germond, L.; Wagnière, J.D.; Rappaz, M. Peritectic solidification of Cu-Sn alloys: Microstructural competition at low speed. Acta Mater. 2009, 57, 56–68. [Google Scholar] [CrossRef]
- Zhai, W.; Hong, Z.; Wen, X.; Geng, D.; Wei, B. Microstructural characteristics and mechanical properties of peritectic Cu–Sn alloy solidified within ultrasonic field. Mater. Des. 2015, 72, 43–50. [Google Scholar] [CrossRef]
- Kohler, F.; Campanella, T.; Nakanishi, S.; Rappaz, M. Application of single pan thermal analysis to Cu–Sn peritectic alloys. Acta Mater. 2008, 56, 1519–1528. [Google Scholar] [CrossRef]
- Valloton, J.; Wagnière, J.-D.; Rappaz, M. Competition of the primary and peritectic phases in hypoperitectic Cu–Sn alloys solidified at low speed in a diffusive regime. Acta Mater. 2012, 60, 3840–3848. [Google Scholar] [CrossRef]
- Gain, A.K.; Zhang, L. Growth nature of in-situ Cu6Sn5-phase and their influence on creep and damping charac-teristics of Sn-Cu material under high-temperature and humidity. Microelectron. Reliab. 2018, 87, 278–285. [Google Scholar] [CrossRef]
- Abd El-Rehim, A.F.; Zahran, H.Y. Investigation of microstructure and mechanical properties of Sn-xCu solder alloys. J. Alloy. Compd. 2017, 695, 3666–3673. [Google Scholar] [CrossRef]
- Tsao, L.; Chen, C. Corrosion characterization of Cu–Sn intermetallics in 3.5wt.% NaCl solution. Corros. Sci. 2012, 63, 393–398. [Google Scholar] [CrossRef]
- Liu, G.; Ji, S.; Grechcini, L.; Bentley, A.; Fan, Z. Microstructure and mechanical properties of Sn-Cu alloy for detonating and explosive cords. Mater. Sci. Technol. 2017, 33, 1907–1918. [Google Scholar] [CrossRef]
- Sato, T.; Hirai, Y.; Kobayashi, T. Development of Lead-Free Bronze with Sulfide Dispersion for Sliding Applications. Int. J. Met. 2017, 11, 148–154. [Google Scholar] [CrossRef]
- Garbacz-Klempka, A.; Czekaj, E.; Kozana, J.; Perek-Nowak, M.; Piękoś, M. Influence of Al and Fe Additions on Structure and Properties of Cu-Sn Alloys. Key Eng. Mater. 2016, 682, 226–235. [Google Scholar] [CrossRef]
- Vuorinen, V.; Dong, H.; Laurila, T. Effect of Ti on the interfacial reaction between Sn and Cu. J. Mater. Sci. Mater. Electron. 2012, 23, 68–74. [Google Scholar] [CrossRef]
- Li, X.; Ivas, T.; Spierings, A.B.; Wegener, K.; Leinenbach, C. Phase and microstructure formation in rapidly solidi-fied Cu-Sn and Cu-Sn-Ti alloys. J. Alloy. Compd. 2018, 735, 1374–1382. [Google Scholar] [CrossRef]
- Novakovic, R.; Ricci, E.; Amore, S.; Lanata, T. Surface and transport properties of Cu-Sn-Ti liquid alloys. Rare Met. 2006, 25, 457–468. [Google Scholar] [CrossRef]
- Lebreton, V.; Pachoutinski, D.; Bienvenu, Y. An investigation of microstructure and mechanical properties in Cu–Ti–Sn alloys rich in copper. Mater. Sci. Eng. A 2009, 508, 83–92. [Google Scholar] [CrossRef]
- Lin, C.-C.; Chen, R.-B.; Shiue, R.-K. A wettability study of Cu/Sn/Ti active braze alloys on alumina. J. Mater. Sci. 2001, 36, 2145–2150. [Google Scholar] [CrossRef]
- Wang, J.; Liu, C.; Leinenbach, C.; Klotz, U.E.; Uggowitzer, P.J.; Löffler, J.F. Experimental investigation and ther-modynamic assessment of the CuSnTi ternary system. Calphad Comput. Coupling Phase Diagr. Thermochem. 2011, 35, 82–94. [Google Scholar] [CrossRef]
- Naka, M.; Nakade, I.; Schuster, J.C.; Urai, S. Determination of the liquidus of the ternary system Cu-Sn-Ti. J. Phase Equilibria 2001, 22, 352–356. [Google Scholar] [CrossRef]
- Huang, S.-F.; Tsai, H.-L.; Lin, S.-T. Crystal structure and X-ray diffraction pattern of CuSnTi3 intermetallic phase. Intermetallics 2005, 13, 87–92. [Google Scholar] [CrossRef]
- Kizikov, E.D.; Kebko, V.P. Microadditions to alloys of the system Cu-Sn-Ti. Met. Sci. Heat Treat. 1987, 29, 68–71. [Google Scholar] [CrossRef]
- Tsao, L.C.; Hsieh, M.; Yu, Y. Effects of Sn additions on microstructure and corrosion resistance of heat-treated Ti–Cu–Sn titanium alloys. Corros. Eng. Sci. Technol. 2018, 53, 252–258. [Google Scholar] [CrossRef]
- Tsao, L. Effect of Sn addition on the corrosion behavior of Ti–7Cu–Sn cast alloys for biomedical applications. Mater. Sci. Eng. C 2015, 46, 246–252. [Google Scholar] [CrossRef]
- Akshay, M.C.; Senan, V.R.A.; Surej, K.S.V.; Akhil, B.; Shankar, K.V.; Shankar, B. Determination on the Effect of Ti Addition on the Microstructural, Mechanical and Wear Behavior of Cu–6Sn Alloy in as—Cast Condition. Trans. Indian Inst. Met. 2019, 73, 309–318. [Google Scholar] [CrossRef]
- Akshay, M.C.; Senan VR, A.; Surej KS, V.; Akhil, B.; Shankar, K.V.; Shankar, B. Determination of the effect of Ti addition on the mechanical behavior of as-cast Cu-6Sn alloy. In AIP Conference Proceedings; American Institute of Physics Inc.: College Park, MD, USA, 2019; Volume 2162. [Google Scholar] [CrossRef]
- Rajendran, S.H.; Hwang, S.J.; Jung, J.P. Active Brazing of Alumina and Copper with Multicomponent Ag-Cu-Sn-Zr-Ti Filler. Metals 2021, 11, 509. [Google Scholar] [CrossRef]
- Li, W.-C.; Lin, S.-T.; Liang, C. Interfacial segregation of Ti in the brazing of diamond grits onto a steel substrate using a Cu-Sn-Ti brazing alloy. Met. Mater. Trans. A 2002, 33, 2163–2172. [Google Scholar] [CrossRef]
- Duan, D.-Z.; Xiao, B.; Wang, B.; Han, P.; Li, W.-J.; Xia, S.-W. Microstructure and mechanical properties of pre-brazed diamond abrasive grains using Cu–Sn–Ti alloy. Int. J. Refract. Met. Hard Mater. 2015, 48, 427–432. [Google Scholar] [CrossRef]
- Zhang, Z.-Y.; Xiao, B.; Duan, D.-Z.; Wang, B.; Liu, S.-X. Investigation on the brazing mechanism and machining performance of diamond wire saw based on Cu-Sn-Ti alloy. Int. J. Refract. Met. Hard Mater. 2017, 66, 211–219. [Google Scholar] [CrossRef]
- Yin, X.; Xu, F.; Min, C.; Cheng, Y.; Dong, X.; Cui, B.; Xu, D. Promoting the bonding strength and abrasion resistance of brazed diamond using Cu–Sn–Ti composite alloys reinforced with tungsten carbide. Diam. Relat. Mater. 2021, 112, 108239. [Google Scholar] [CrossRef]
- Liu, S.; Xiao, B.; Xiao, H.; Meng, L.; Zhang, Z.; Wu, H. Characteristics of Al2O3/diamond/c-BN/SiC grain steel brazing joints using Cu–Sn–Ti active filler powder alloys. Surf. Coat. Technol. 2016, 286, 376–382. [Google Scholar] [CrossRef]
- Buhl, S.; Leinenbach, C.; Spolenak, R.; Wegener, K. Microstructure, residual stresses and shear strength of diamond–steel-joints brazed with a Cu–Sn-based active filler alloy. Int. J. Refract. Met. Hard Mater. 2012, 30, 16–24. [Google Scholar] [CrossRef]
- Ding, W.-F.; Xu, J.-H.; Chen, Z.-Z.; Miao, Q.; Yang, C.-Y. Interface characteristics and fracture behavior of brazed polycrystalline CBN grains using Cu–Sn–Ti alloy. Mater. Sci. Eng. A 2013, 559, 629–634. [Google Scholar] [CrossRef]
- Fan, Y.; Fan, J.; Wang, C. Brazing temperature-dependent interfacial reaction layer features between CBN and Cu-Sn-Ti active filler metal. J. Mater. Sci. Technol. 2019, 35, 2163–2168. [Google Scholar] [CrossRef]
- Fan, Y.; Fan, J.; Wang, C. Detailing interfacial reaction layer products between cubic boron nitride and Cu-Sn-Ti active filler metal. J. Mater. Sci. Technol. 2021, 68, 35–39. [Google Scholar] [CrossRef]
- Hsieh, Y.-C.; Lin, S.-T. Microstructural development of Cu–Sn–Ti alloys on graphite. J. Alloy. Compd. 2008, 466, 126–132. [Google Scholar] [CrossRef]
- He, Y.; Zhang, J.; Sun, Y.; Liu, C. Microstructure and mechanical properties of the Si3N4/42CrMo steel joints brazed with Ag–Cu–Ti+Mo composite filler. J. Eur. Ceram. Soc. 2010, 30, 3245–3251. [Google Scholar] [CrossRef]





































| Sl.No. | Author and Reference | Materials/Cu-Sn-Ti braze Alloy | Conclusions Derived |
|---|---|---|---|
| 1. | Lin et al. [68] | Alumina ceramics | The goal of this work was to investigate the wettability of the Cu/Sn/Ti alloy over polycrystalline alumina. The best wetting ability to alumina substrate is demonstrated by a 70Cu-21Sn-9Ti alloy with 9 wt%Ti brazed at 900 °C. Because Sn is tightly linked with Ti, Sn concentration in Cu/Sn/Ti brazes should be kept below 21% by weight. Three stages could be identified in the brazing filler metal, along with the reaction layer, according to the SEM backscattered electron image (BSE). They were (1) the Cu, Sn, Ti, oxide containing reaction layer; (2) Cu/Sn/Ti intermetallic phase, and the (3) bronze matrix solid solution containing 0.1 wt% Ti. |
| 2. | Li et al. [78] | Between diamond grids and steel substrate | At the temperatures of 925 °C and 1050 °C, diamond grits were brazed onto a steel substrate with a Cu-10Sn-15Ti brazing alloy. In between diamond grits and the braze matrix, a TiC reaction layer was observed. The TiC layer was of grains that were around 50 nm in size, allowing it to efficiently reduce the interfacial stress caused by the diamond and TiC’s lattice mismatch. An intermetallic complex comprised of Sn and Ti was also observed to nucleate and develop into a freely interwoven fine lacey structure on top of the TiC growth front. |
| 3. | Duan et al. [79] | Diamonds, and metal matrix (Fe, Cu, Ni, and Sn) | In this study comparison between different brazing processes was made. Hence, two separate brazing equipment were used: (1) vacuum resistance furnace and (2) high-frequency induction furnace. It was observed that the surface morphology of the pre-brazed diamonds brazing in vacuum resistance furnaces was better. As with the previous studies, TiC intermediate reaction layer was formed indicating any occurrence of chemical combination between Cu–Sn–Ti alloy and the diamond grain. Ti concentration was observed to be higher in the interface of diamond/Cu-Sn-Ti alloy indicating its involvement in the joining process. |
| 4. | Zhang et al. [80] | Diamond and KSC82 carbon steel. | Novel brazing diamond wire saws were performed by applying Cu-Sn-Ti alloy and high-temperature brazing technique to consolidate diamond grits and metallic wire matrix. The findings revealed the presence of a novel Ti2C phase at the interface, where diamond particles were brazed together via reactive wetting. When compared to KSC82 metallic wire, although tensile and yield strength decreased by 41 and 60%, the plasticity increased two-fold, which was said to meet the mechanical performance requirements as stated by the author. The failure due to the separation of diamond grits is caused by two primary reasons. To begin with, the detection of oxygen in the micro-domain of the void lip, as well as the oxidation of Ti, might result in false welding of diamond particles, resulting in early diamond particle separation. Second, the initiation and growth of fatigue crack may cause the diamond grits to lose their holding force at the interface. |
| 5. | Yin et al. [81] | Diamond and Q460 steel substrate | Cu-Sn-Ti composite fillers reinforced with various amounts of tungsten carbide (WC) particles were used to link diamond particles to Q460 steel. The diamond grits had a superior shape and exposure height than the non-WC particle-reinforced samples. Furthermore, including WC particles caused fewer cracks to form at the interface between Cu-Sn-Ti fillers and diamond. The inclusion of 15 wt% WC particles enhanced the formation of TiC and Cu-Ti compounds while preventing the fast intermetallic reaction of Fe and Ti, decreasing the occurrence of brittle phases. As the WC particle concentration increased, the microhardness at the segment interface rose from 179 HV0.05 to 206 HV0.05. The shearing strength of brazed diamond segments reinforced with 15% WC improved by 10%. |
| 6. | Liu et al. [82] | Diamond, c-BN, Al2O3 and SiC abrasive crystals on 0.45% C steel matrix | Cu-Sn-Ti active powder filler alloys were utilised to braze diamond, CBN, Al2O3, and SiC abrasive crystals onto a 0.45 percent Carbon steel matrix in a vacuum to construct a new superhard abrasive wheel. The Ti in the Cu-Sn-Ti filler alloy was observed to segregate primarily towards the surface of diamond, CBN, Al2O3 or SiC, forming a Ti intermediate reaction layer. The Ti-rich layer included phases such as (Ti-C), (Ti-N), (Ti-B), (Ti-O), (Ti-Si), and Ti-(Cu-Al) compounds thus confirming the fact that the chemical metallurgical combination was produced between the grains and the active filler. The metallurgical bonding of active-grain fillers and active filler-steel produced a strong connection between the grains and the 0.45 %C steel substrate. It has been demonstrated that the brazed grains’ reliable bonding strength to the steel substrate could potentially fulfil industrial requirements. |
| 7. | Buhl et al. [83] | Monocrystalline block-shaped diamonds onto a stainless-steel substrate | Three distinct brazing temperatures (880, 930, and 980 °C) and two different dwell periods (10 and 30 min) were used to join monocrystalline block-shaped diamonds with a stainless-steel substrate using a Cu-Sn-based active filler alloy. At the filler-steel intermetallic layer, the following was formed: (1) intermetallic (Fe, Cr, Ni)2Ti, and (2) intermetallic phases CuSn3Ti, CuSnTi, Ni2TiSn and NiTiSn. Residual stresses have a strong relationship with brazing parameters, i.e., either developing compressive (at temperatures of 880 °C and 930 °C) or tensile residual stresses (at temperature 980 °C). Maximum compressive residual stress of around 350 MPa was observed at a holding time of 10 min at 930 °C. |
| 8. | Ding et al. [84] | Between Polycrystalline CBN grains and steel matrix | Cu-Sn-Ti brazing alloy was used to braze polycrystalline CBN grains with AISi 1045 steel matrix. Ti in molten Cu-Sn-Ti brazing alloy interacts with AlN binder and CBN particles of polycrystalline CBN grains forming TiN, TiB2, TiB and TiAl3 compounds hence proving any evidence of chemical reaction between Cu-Sn-Ti alloy and CBN grains. A strong connection between polycrystalline CBN, steel matrix and Cu-Sn-Ti filler alloy was obtained. The predominant fracture mechanism of brazed polycrystalline CBN grains was the intercrystalline fracture at the CBN-CBN particle boundary. |
| 9. | Fan et al. [85] | CBN | When the brazing temperature is lower than 1223 K, fully uncoated and/or partly coated CBN particles with jagged edges were still observed, and the reaction layer, which is mostly made up of TiN and TiB2, appears uneven and thin. When the brazing temperature reaches 1223 K, Ti diffuses completely and is enriched at the interface, resulting in a more homogeneous, continuous, and stable reaction layer composed largely of TiB, TiB2 and TiN. Further raising the temperature to 1273 K is unnecessary, if not detrimental, because the reaction layer thickness stays nearly constant and some microscopic microcracks were observed in the interfacial area, reducing the grinding capacity of the final superabrasive product. |
| 10. | Fan et al. [86] | CBN/Cu-Sn-Ti | Through FIB-TEM-EDS-SADP analysis of the interfacial reaction layer at CBN/Cu-Sn-Ti active filler metal at the temperature 1223 K, it was revealed that the interfacial reaction layer is composed mainly of continuous TiB2/TiB/TiN layer and irregular TiN/TiB2 layer. The reaction layer thickness was observed to be about 1.24 µm. It was proved that metallurgical interfacial bonding was observed, which according to the author can be very useful for the development of high-quality CBN grinding tools. |
| 11. | Hsieh et al. [87] | Graphite | The wetting behaviour of Cu-Sn-Ti brazing alloys on graphite and phase formation at temperatures from 850 °C to 1000 °C was investigated in this study. To promote the wetting of the brazing alloy on graphite, a minimum brazing temperature of 1000 °C was required for Cu–Sn–Ti alloys with Ti concentrations as high as 70 wt%. High amounts of CuSn3Ti5 and SnTi3 intermetallic compounds were observed, with an increase in Ti concentration and a reduction in Sn concentration. In a ductile Sn-rich matrix phase, however, a rise in Sn concentration and a reduction in Ti concentration might result in the precipitation of intermetallic compounds such as Sn3Ti5 and Sn3Ti2. The optimum Ti and Sn concentrations for effective wetting on graphite at low temperatures, while retaining a significant volume fraction of ductile phases, were around 10 wt% Ti and 15 wt% Sn. |
Publisher’s Note: MDPI stays neutral with regard to jurisdictional claims in published maps and institutional affiliations. |
© 2021 by the authors. Licensee MDPI, Basel, Switzerland. This article is an open access article distributed under the terms and conditions of the Creative Commons Attribution (CC BY) license (https://creativecommons.org/licenses/by/4.0/).
Share and Cite
Manu, K.; Jezierski, J.; Ganesh, M.R.S.; Shankar, K.V.; Narayanan, S.A. Titanium in Cast Cu-Sn Alloys—A Review. Materials 2021, 14, 4587. https://doi.org/10.3390/ma14164587
Manu K, Jezierski J, Ganesh MRS, Shankar KV, Narayanan SA. Titanium in Cast Cu-Sn Alloys—A Review. Materials. 2021; 14(16):4587. https://doi.org/10.3390/ma14164587
Chicago/Turabian StyleManu, Karthik, Jan Jezierski, Madikkamadom Radhakrishnan Sai Ganesh, Karthik Venkitaraman Shankar, and Sudarsanan Aswath Narayanan. 2021. "Titanium in Cast Cu-Sn Alloys—A Review" Materials 14, no. 16: 4587. https://doi.org/10.3390/ma14164587
APA StyleManu, K., Jezierski, J., Ganesh, M. R. S., Shankar, K. V., & Narayanan, S. A. (2021). Titanium in Cast Cu-Sn Alloys—A Review. Materials, 14(16), 4587. https://doi.org/10.3390/ma14164587

