Millimeter-Wave-to-Terahertz Superconducting Plasmonic Waveguides for Integrated Nanophotonics at Cryogenic Temperatures
Abstract
:1. Introduction
2. Structure Design and Methods
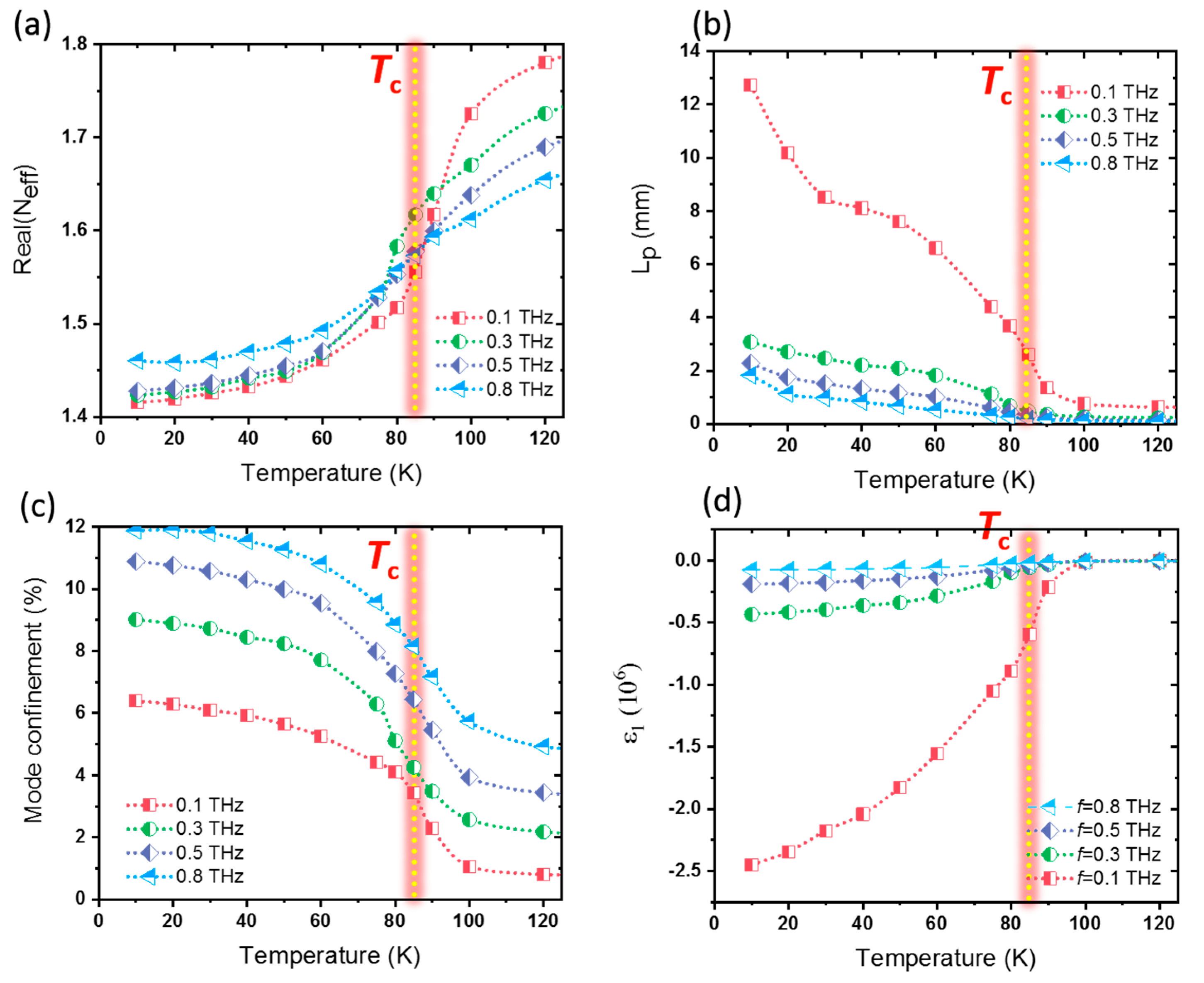
3. Results and Discussion
4. Conclusions
Author Contributions
Funding
Institutional Review Board Statement
Informed Consent Statement
Data Availability Statement
Conflicts of Interest
Appendix A


References
- Delfanazari, K.; Klemm, R.A.; Joyce, H.J.; Ritchie, D.A.; Kadowaki, K. Integrated, Portable, Tunable, and Coherent Terahertz Sources and Sensitive Detectors Based on Layered Superconductors. Proc. IEEE 2020, 108, 721–734. [Google Scholar] [CrossRef]
- Borodianskyi, E.A.; Krasnov, V.M. Josephson emission with frequency span 1-11 THz from small Bi2Sr2CaCu2O8+δ mesa structures. Nat. Commun. 2017, 8, 1–7. [Google Scholar] [CrossRef] [Green Version]
- Ozyuzer, L.; Koshelev, A.E.; Kurter, C.; Gopalsami, N.; Li, Q.; Tachiki, M.; Kadowaki, K.; Yamamoto, T.; Minami, H.; Yamaguchi, H.; et al. Emission of coherent THz radiation from superconductors. Science 2007, 318, 1291–1293. [Google Scholar] [CrossRef] [PubMed] [Green Version]
- Ozyuzer, L.; Simsek, Y.; Koseoglu, H.; Turkoglu, F.; Kurter, C.; Welp, U.; Koshelev, A.E.; Gray, K.E.; Kwok, W.K.; Yamamoto, T.; et al. Terahertz wave emission from intrinsic Josephson junctions in high-Tc superconductors. Supercond. Sci. Technol. 2009, 22, 114009. [Google Scholar] [CrossRef]
- Welp, U.; Kadowaki, K.; Kleiner, R. Superconducting emitters of THz radiation. Nat. Photonics 2013, 7, 702–710. [Google Scholar] [CrossRef]
- Tsujimoto, M.; Yamamoto, T.; Delfanazari, K.; Nakayama, R.; Kitamura, T.; Sawamura, M.; Kashiwagi, T.; Minami, H.; Tachiki, M.; Kadowaki, K.; et al. Broadly tunable subterahertz emission from Internal Branches of the current-Voltage characteristics of superconducting Bi2Sr2CaCu2O8+δ single crystals. Phys. Rev. Lett. 2012, 108, 107006. [Google Scholar] [CrossRef] [PubMed] [Green Version]
- Klemm, R.A.; Delfanazari, K.; Tsujimoto, M.; Kashiwagi, T.; Kitamura, T.; Yamamoto, T.; Sawamura, M.; Ishida, K.; Hattori, T.; Kadowaki, K. Modeling the electromagnetic cavity mode contributions to the THz emission from triangular Bi2Sr2CaCu2O8+δ mesas. Phys. C 2013, 491, 30–34. [Google Scholar] [CrossRef] [Green Version]
- Delfanazari, K.; Asai, H.; Tsujimoto, M.; Kashiwagi, T.; Kitamura, T.; Yamamoto, T.; Sawamura, M.; Ishida, K.; Tachiki, M.; Klemm, R.A.; et al. Study of coherent and continuous terahertz wave emission in equilateral triangular mesas of superconducting Bi2Sr2CaCu2O8+δ intrinsic Josephson junctions. Phys. C Supercond. Appl. 2013, 491, 16–19. [Google Scholar] [CrossRef]
- Kitamura, T.; Kashiwagi, T.; Tsujimoto, M.; Delfanazari, K.; Sawamura, M.; Ishida, K.; Sekimoto, S.; Watanabe, C.; Yamamoto, T.; Minami, H.; et al. Effects of magnetic fields on the coherent THz emission from mesas of single crystal Bi2Sr2CaCu2O8+δ. Phys. C Supercond. Appl. 2013, 494, 117–120. [Google Scholar] [CrossRef]
- Delfanazari, K.; Asai, H.; Tsujimoto, M.; Kashiwagi, T.; Kitamura, T.; Yamamoto, T.; Sawamura, M.; Ishida, K.; Watanabe, C.; Sekimoto, S.; et al. Tunable terahertz emission from the intrinsic Josephson junctions in acute isosceles triangular Bi2Sr2CaCu2O8+δ mesas. Opt. Express 2013, 21, 2171–2184. [Google Scholar] [CrossRef]
- Kadowaki, K.; Tsujimoto, M.; Delfanazari, K.; Kitamura, T.; Sawamura, M.; Asai, H.; Yamamoto, T.; Ishida, K.; Watanabe, C.; Sekimoto, S.; et al. Quantum terahertz electronics (QTE) using coherent radiation from high temperature superconducting Bi2Sr2CaCu2O8+δ intrinsic Josephson junctions. Phys. C Supercond. Appl. 2013, 491, 2–6. [Google Scholar] [CrossRef]
- Delfanazari, K.; Asai, H.; Tsujimoto, M.; Kashiwagi, T.; Kitamura, T.; Ishida, K.; Watanabe, C.; Sekimoto, S.; Yamamoto, T.; Minami, H.; et al. Terahertz oscillating devices based upon the intrinsic Josephson junctions in a high temperature superconductor. J. Infrared Millim. Terahertz Waves 2014, 35, 131–146. [Google Scholar] [CrossRef]
- Delfanazari, K.; Asai, H.; Tsujimoto, M.; Kashiwagi, T.; Kitamura, T.; Yamamoto, T.; Wilson, W.; Klemm, R.A.; Hattori, T.; Kadowaki, K. Effect of bias electrode position on terahertz radiation from pentagonal mesas of superconducting Bi2Sr2CaCu2O8+δ. IEEE Trans. Terahertz Sci. Technol. 2015, 5, 505–511. [Google Scholar] [CrossRef] [Green Version]
- Cerkoney, D.P.; Reid, C.; Doty, C.M.; Gramajo, A.; Campbell, T.D.; Morales, M.A.; Delfanazari, K.; Tsujimoto, M.; Kashiwagi, T.; Yamamoto, T.; et al. Cavity mode enhancement of terahertz emission from equilateral triangular microstrip antennas of the high-T c superconductor Bi2Sr2CaCu2O8+δ. J. Phys. Condens. Matter 2017, 29, 015601. [Google Scholar] [CrossRef] [PubMed]
- Kashiwagi, T.; Yamamoto, T.; Minami, H.; Tsujimoto, M.; Yoshizaki, R.; Delfanazari, K.; Kitamura, T.; Watanabe, C.; Nakade, K.; Yasui, T.; et al. Efficient Fabrication of Intrinsic-Josephson-Junction Terahertz Oscillators with Greatly Reduced Self-Heating Effects. Phys. Rev. Appl. 2015, 4, 054018. [Google Scholar] [CrossRef]
- Kashiwagi, T.; Yamamoto, T.; Kitamura, T.; Asanuma, K.; Watanabe, C.; Nakade, K.; Yasui, T.; Saiwai, Y.; Shibano, Y.; Kubo, H.; et al. Generation of electromagnetic waves from 0.3 to 1.6 terahertz with a high-Tc superconducting Bi2Sr2CaCu2O8+δ intrinsic Josephson junction emitter. Appl. Phys. Lett. 2015, 106, 092601. [Google Scholar] [CrossRef]
- Delfanazari, K.; Tsujimoto, M.; Kashiwagi, T.; Yamamoto, T.; Nakayama, R.; Hagino, S.; Kitamura, T.; Sawamura, M.; Hattori, T.; Minami, H.; et al. THz emission from a triangular mesa structure of Bi-2212 intrinsic Josephson junctions. J. Phys. Conf. Ser. 2012, 400, 022014. [Google Scholar] [CrossRef] [Green Version]
- Delfanazari, K.; Asai, H.; Tsujimoto, M.; Kashiwagi, T.; Kitamura, T.; Sawamura, M.; Ishida, K.; Yamamoto, T.; Hattori, T.; Klemm, R.A.; et al. Experimental and theoretical studies of mesas of several geometries for terahertz wave radiation from the intrinsic Josephson junctions in superconducting Bi2Sr2CaCu2O8+δ. In Proceedings of the 7th International Conference on Infrared, Millimeter, and Terahertz Waves, Wollongong, NSW, Australia, 23–28 September 2012; pp. 1–2. [Google Scholar] [CrossRef]
- Kashiwagi, T.; Tsujimoto, M.; Yamamoto, T.; Minami, H.; Yamaki, K.; Delfanazari, K.; Deguchi, K.; Orita, N.; Koike, T.; Nakayama, R.; et al. High temperature superconductor terahertz emitters: Fundamental physics and its applications. Jpn. J. Appl. Phys. 2012, 51, 010113. [Google Scholar] [CrossRef]
- Savinov, V.; Delfanazari, K.; Fedotov, V.A.; Zheludev, N.I. Giant sub-THz nonlinear response in superconducting metamaterial. In Proceedings of the CLEO:2014 Laser Science to Photonic Applications, San Jose, CA, USA, 8–14 June 2014; 2014; Volume SW3I-8, pp. 2–3. [Google Scholar] [CrossRef] [Green Version]
- Klemm, R.A.; Davis, A.E.; Wang, Q.X.; Yamamoto, T.; Cerkoney, D.P.; Reid, C.; Koopman, M.L.; Minami, H.; Kashiwagi, T.; Rain, J.R.; et al. Terahertz emission from the intrinsic Josephson junctions of high-symmetry thermally-managed Bi2Sr2CaCu2O8+δ microstrip antennas. IOP Conf. Ser. Mater. Sci. Eng. 2017, 279. [Google Scholar] [CrossRef]
- Tsujimoto, M.; Minami, H.; Delfanazari, K.; Sawamura, M.; Nakayama, R.; Kitamura, T.; Yamamoto, T.; Kashiwagi, T.; Hattori, T.; Kadowaki, K. Terahertz imaging system using high-Tc superconducting oscillation devices. J. Appl. Phys. 2012, 111, 123111. [Google Scholar] [CrossRef] [Green Version]
- Delfanazari, K.; Klemm, R.A.; Tsujimoto, M.; Cerkoney, D.P.; Yamamoto, T.; Kashiwagi, T.; Kadowaki, K. Cavity modes in broadly tunable superconducting coherent terahertz sources. J. Phys. Conf. Ser. 2019, 1182, 012011. [Google Scholar] [CrossRef]
- Kashiwagi, T.; Deguchi, K.; Tsujimoto, M.; Koike, T.; Orita, N.; Delfanazari, K.; Nakayama, R.; Kitamura, T.; Hagino, S.; Sawamura, M.; et al. Excitation mode characteristics in Bi2212 rectangular mesa structures. J. Phys. Conf. Ser. 2012, 400, 022050. [Google Scholar] [CrossRef] [Green Version]
- Tsujimoto, M.; Yamamoto, T.; Delfanazari, K.; Nakayama, R.; Orita, N.; Koike, T.; Deguchi, K.; Kashiwagi, T.; Minami, H.; Kadowaki, K. THz-wave emission from inner I-V branches of intrinsic Josephson junctions in Bi2Sr2CaCu2O8+δ. J. Phys. Conf. Ser. 2012, 400, 022127. [Google Scholar] [CrossRef] [Green Version]
- Rahmonov, I.R.; Shukrinov, Y.M.; Zemlyanaya, E.V.; Sarhadov, I.; Andreeva, O. Mathematical modeling of intrinsic Josephson junctions with capacitive and inductive couplings. J. Phys. Conf. Ser. 2012, 393, 012022. [Google Scholar] [CrossRef]
- Botha, A.E.; Rahmonov, I.R.; Shukrinov, Y.M. Spontaneous and Controlled Chaos Synchronization in Intrinsic Josephson Junctions. IEEE Trans. Appl. Supercond. 2018, 28, 1–6. [Google Scholar] [CrossRef]
- Xiong, Y.; Kashiwagi, T.; Klemm, R.A.; Kadowaki, K.; Delfanazari, K. Engineering the Cavity modes and Polarization in Integrated Superconducting Coherent Terahertz Emitters. In Proceedings of the 2020 45th International Conference on Infrared, Millimeter, and Terahertz Waves (IRMMW-THz), Buffalo, NY, USA, 8–13 November 2020; pp. 1–2. [Google Scholar] [CrossRef]
- Nakade, K.; Kashiwagi, T.; Saiwai, Y.; Minami, H.; Yamamoto, T.; Klemm, R.A.; Kadowaki, K. Applications using high-Tc superconducting terahertz emitters. Sci. Rep. 2016, 6, 1–8. [Google Scholar] [CrossRef] [Green Version]
- Singh, R.; Zheludev, N. Superconductor photonics. Nat. Photonics 2014, 8, 679–680. [Google Scholar] [CrossRef]
- Hayashi, S.; Okamoto, T. Plasmonics: Visit the past to know the future. J. Phys. D Appl. Phys. 2012, 45, 433001. [Google Scholar] [CrossRef]
- Barnes, W.L.; Dereux, A.; Ebbesen, T.W. Surface plasmon subwavelength optics. Nature 2003, 424, 824–830. [Google Scholar] [CrossRef]
- Ioannidis, T.; Gric, T.; Rafailov, E. Surface plasmon polariton waves propagation at the boundary of graphene based metamaterial and corrugated metal in THz range. Opt. Quantum Electron. 2020, 52, 1–12. [Google Scholar] [CrossRef]
- Gric, T.; Wartak, M.S.; Cada, M.; Wood, J.J.; Hess, O.; Pistora, J. Spoof plasmons in corrugated semiconductors. J. Electromagn. Waves Appl. 2015, 29, 1899–1907. [Google Scholar] [CrossRef]
- Tsiatmas, A.; Fedotov, V.A.; García De Abajo, F.J.; Zheludev, N.I. Low-loss terahertz superconducting plasmonics. New J. Phys. 2012, 14, 115006. [Google Scholar] [CrossRef] [Green Version]
- Economou, E.N. Surface plasmons in thin films. Phys. Rev. 1969, 182, 539. [Google Scholar] [CrossRef]
- Pracht, U.S.; Heintze, E.; Clauss, C.; Hafner, D.; Bek, R.; Werner, D.; Gelhorn, S.; Scheffler, M.; Dressel, M.; Sherman, D.; et al. Electrodynamics of the superconducting state in ultra-thin films at THz frequencies. IEEE Trans. Terahertz Sci. Technol. 2013, 3, 269–280. [Google Scholar] [CrossRef]
- Kurter, C.; Abrahams, J.; Shvets, G.; Anlage, S.M. Plasmonic scaling of superconducting metamaterials. Phys. Rev. B 2013, 88, 180510. [Google Scholar] [CrossRef] [Green Version]
- Wu, J.; Dai, H.; Wang, H.; Jin, B.; Jia, T.; Zhang, C.; Cao, C.; Chen, J.; Kang, L.; Xu, W.; et al. Extraordinary terahertz transmission in superconducting subwavelength hole array. Opt. Express 2011, 19, 1101–1106. [Google Scholar] [CrossRef]
- Tsiatmas, A.; Buckingham, A.R.; Fedotov, V.A.; Wang, S.; Chen, Y.; De Groot, P.A.J.; Zheludev, N.I. Superconducting plasmonics and extraordinary transmission. Appl. Phys. Lett. 2010, 97, 111106. [Google Scholar] [CrossRef] [Green Version]
- Ma, Y.; Eldlio, M.; Maeda, H.; Zhou, J.; Cada, M.; Zhai, X.; Wang, L.L.; Wang, L.L.; Lindquist, N.C.; Nagpal, P.; et al. Plasmonic properties of superconductor–insulator–superconductor waveguide. Appl. Phys. Express 2016, 9, 072201. [Google Scholar] [CrossRef]
- Veronis, G.; Fan, S. Modes of subwavelength plasmonic slot waveguides. J. Light. Technol. 2007, 25, 2511–2521. [Google Scholar] [CrossRef]
- Novotny, L.; Hecht, B. Principles of Nano-Optics; Cambridge University Press: Cambridge, UK, 2012; ISBN 9781107005464. [Google Scholar]
- Kawano, K.; Kitoh, T. INTRODUCTION to Optical Waveguide Analysis; Wiley-Interscience: Hoboken, NJ, USA, 2004. [Google Scholar] [CrossRef]
- Kalhor, S.; Ghanaatshoar, M.; Delfanazari, K. Guiding of terahertz photons in superconducting nano-circuits. In Proceedings of the 2020 International Conference on UK-China Emerging Technologies (UCET), Glasgow, UK, 20–21 August 2020; pp. 1–3. [Google Scholar] [CrossRef]
- Corson, J.; Orenstein, J.; Oh, S.; O’Donnell, J.; Eckstein, J.N. Nodal quasiparticle lifetime in the superconducting state of Bi2Sr2CaCu2O8+δ. Phys. Rev. Lett. 2000, 85, 2569–2572. [Google Scholar] [CrossRef] [PubMed] [Green Version]
- Mallozzi, R.; Corson, J.; Orenstein, J.; Eckstein, J.N.; Bozovic, I. Terahertz conductivity and c-axis plasma resonance in Bi2Sr2CaCu2O8+δ. J. Phys. Chem. Solids 1998, 59, 2095–2099. [Google Scholar] [CrossRef]
- Kalhor, S.; Ghanaatshoar, M.; Kashiwagi, T.; Kadowaki, K.; Kelly, M.J.; Delfanazari, K. Thermal Tuning of High-Tc Superconducting Bi2Sr2CaCu2O8+δ Terahertz Metamaterial. IEEE Photonics J. 2017, 9, 1–8. [Google Scholar] [CrossRef] [Green Version]
- Barnes, W.L. Surface plasmon-polariton length scales: A route to sub-wavelength optics. J. Opt. A Pure Appl. Opt. 2006, 8, S87–S93. [Google Scholar] [CrossRef]
- Tian, Z.; Singh, R.; Han, J.; Gu, J.; Xing, Q.; Zhang, W. Terahertz superconducting plasmonic hole array. Opt. Lett. 2010, 35, 3586–3588. [Google Scholar] [CrossRef] [PubMed] [Green Version]
- Maier, S.A. Plasmonics Fundamentals and Applications; Springer Science & Business Media: Berlin, Germany, 2007; ISBN 9780387331508. [Google Scholar]
- Ono, M.; Hata, M.; Tsunekawa, M.; Nozaki, K.; Sumikura, H.; Chiba, H.; Notomi, M. Ultrafast and energy-efficient all-optical switching with graphene-loaded deep-subwavelength plasmonic waveguides. Nat. Photonics 2020, 14, 37–43. [Google Scholar] [CrossRef] [Green Version]




Publisher’s Note: MDPI stays neutral with regard to jurisdictional claims in published maps and institutional affiliations. |
© 2021 by the authors. Licensee MDPI, Basel, Switzerland. This article is an open access article distributed under the terms and conditions of the Creative Commons Attribution (CC BY) license (https://creativecommons.org/licenses/by/4.0/).
Share and Cite
Kalhor, S.; Ghanaatshoar, M.; Joyce, H.J.; Ritchie, D.A.; Kadowaki, K.; Delfanazari, K. Millimeter-Wave-to-Terahertz Superconducting Plasmonic Waveguides for Integrated Nanophotonics at Cryogenic Temperatures. Materials 2021, 14, 4291. https://doi.org/10.3390/ma14154291
Kalhor S, Ghanaatshoar M, Joyce HJ, Ritchie DA, Kadowaki K, Delfanazari K. Millimeter-Wave-to-Terahertz Superconducting Plasmonic Waveguides for Integrated Nanophotonics at Cryogenic Temperatures. Materials. 2021; 14(15):4291. https://doi.org/10.3390/ma14154291
Chicago/Turabian StyleKalhor, Samane, Majid Ghanaatshoar, Hannah J. Joyce, David A. Ritchie, Kazuo Kadowaki, and Kaveh Delfanazari. 2021. "Millimeter-Wave-to-Terahertz Superconducting Plasmonic Waveguides for Integrated Nanophotonics at Cryogenic Temperatures" Materials 14, no. 15: 4291. https://doi.org/10.3390/ma14154291
APA StyleKalhor, S., Ghanaatshoar, M., Joyce, H. J., Ritchie, D. A., Kadowaki, K., & Delfanazari, K. (2021). Millimeter-Wave-to-Terahertz Superconducting Plasmonic Waveguides for Integrated Nanophotonics at Cryogenic Temperatures. Materials, 14(15), 4291. https://doi.org/10.3390/ma14154291

